Citation: Guangnan SHAN, Yuhui WANG, Yueru WU. Preparation and electrochemical performance of α-MnO2 electrode material for aqueous zinc ion battery[J]. Chinese Journal of Inorganic Chemistry, 2026, 42(3): 479-487. doi: 10.11862/CJIC.20250292
水系锌离子电池正极材料α-MnO2的合成与电化学性能
English
Preparation and electrochemical performance of α-MnO2 electrode material for aqueous zinc ion battery
-
当前,全球能源危机与环境污染问题持续加剧,驱动了新能源技术的快速发展。二次电池,如锂离子电池、钠离子电池、镁离子电池、铝离子电池和锌离子电池等,因其清洁高效的能源储存特性,成为科研领域研究的热点[1-7]。然而,这些电池在资源、安全、成本等方面仍面临不同挑战:锂离子电池虽技术成熟、能量密度高,但受限于锂资源稀缺,有机电解液易燃易爆,存在安全隐患与环境污染问题;钠离子电池虽然钠资源丰富、成本低廉,但能量密度较低,部分电解液体系仍具毒性,整体安全性不佳[8];镁离子电池虽具备较高的能量密度,但其负极在反应中易钝化,且适配的正极材料较少,限制了其实际应用[9-12];铝离子电池的负极上易形成阻碍离子传输的致密氧化膜[13]。相比之下,水系锌离子电池(aqueous zinc-ion batteries,AZIBs)展现出显著的综合优势(资源与环境友好、理论容量高、使用安全、界面特性优良),被视为极具潜力的下一代储能体系。锌在地壳中储量丰富、成本低、无毒且易于回收,具备可持续发展的资源基础。锌负极具有较低的氧化还原电位[-0.763 V(vs NHE)]且具有双电子转移机制,理论比容量高达820 mAh·g-1,体积容量可达5 855 mAh·cm-3。AZIBs采用水溶液作为电解液,从根本上避免了有机体系的可燃性与毒性,兼具环境友好性与使用安全性。锌负极在水系环境中不易形成致密钝化膜,有利于实现高效可逆的沉积/溶解过程[14]。
AZIBs的正极材料种类众多,其中二氧化锰因具有多种晶型且工作电压高、容量大和成本低等,被广泛研究。其中,α-MnO2具有2×2隧道结构,β-MnO2具有最小的1×1隧道结构,γ-MnO2具有1×1和1×2两种隧道结构,δ-MnO2具有层状结构。α-MnO2和δ-MnO2在作为正极材料时,其结构更有利于Zn2+和H+的嵌入/析出,同时还有利于电解液与MnO2之间的浸润,进而提升电化学性能[15-20]。
我们通过简单的一步水热法制备了高纯度的α-MnO2,并研究了不同水热温度下制备的α-MnO2的形貌和电化学性能。实验结果表明,不同水热温度合成的α-MnO2均呈纳米线结构,其中180 ℃合成的α-MnO2表现出最优的AZIBs性能。
1. 实验部分
1.1 试剂与仪器
KMnO4(AR)购自国药集团化学试剂有限公司。MnSO4·H2O(AR)、ZnSO4·H2O(AR)、ZnSO4·7H2O(AR)、乙炔黑(≥99%)均购自上海麦克林生化科技股份有限公司。N-甲基吡咯烷酮(NMP,AR)、聚偏二氟乙烯(PVDF,AR)、锌箔(≥99%)均购自阿拉丁化学试剂有限公司。玻璃纤维隔膜(电池级)购自宁波新芝生物科技股份有限公司。
实验仪器主要有磁力搅拌器、高温鼓风干燥箱、恒温磁力搅拌器、X射线衍射仪(Cu Kα辐射,工作电压为40 kV,工作电流为170 mA,λ=0.154 18 nm,2θ=10°~70°)、场发射扫描电子显微镜(S-4300,日本HITACHI公司,加速电压为30 kV)、透射电子显微镜(JEM-2100,日本HITACHI公司,加速电压为100 kV)、比表面积及孔径分析仪(美国Micromeritics公司)、CT2001A型充放电测试仪(蓝电)和电化学工作站(CHI660E,上海辰华)。
1.2 实验过程
1.2.1 α-MnO2的制备
通过一步水热法制备α-MnO2,制备流程如图 1所示。取926.3 mg的KMnO4和449.1 mg的MnSO4·H2O加入到装有75 mL纯净水的烧杯中,搅拌均匀后将混合液转移到装有聚四氟乙烯内衬的反应釜里,在不同温度(140、160、180和190 ℃)的恒温干燥箱中反应12 h,待反应釜冷却至室温后,将下层沉淀物用蒸馏水清洗至接近中性,再用无水乙醇清洗,随后转移到真空干燥箱中80 ℃干燥24 h,得到不同温度(140、160、180和190 ℃)下制备的α-MnO2,分别记作MO-140、MO-160、MO-180和MO-190。
图 1
1.2.2 电化学性能测试
将α-MnO2、导电炭黑(乙炔黑)和PVDF按照7∶ 2∶1的质量比加入到适量NMP中混合均匀,制备得到正极浆料。将浆料涂在钛箔上,在真空干燥箱内75 ℃烘12 h,得到正极。电解液为2 mol·L-1 ZnSO4溶液和0.2 mol·L-1 MnSO4溶液混合而成的中性盐溶液。在ZnSO4溶液中加入MnSO4是为了抑制Mn2+在电解质中的溶解[15]。按照顺序将正极、锌箔(负极)、隔膜和GR2032电池壳组装成扣式电池[21]。通过蓝电充放电测试仪测试了电池在0.8~1.8 V电压窗口内,不同电流密度下的恒流充放电(GCD)、倍率和循环性能。在CHI660E电化学工作站上进行循环伏安法(CV)及电化学阻抗谱(EIS)测试。CV测试电压为0.8~1.8 V,扫描速率为0.1~0.5 mV·s-1。EIS测试频率范围为0.01 Hz~100 kHz,振幅为5 mV。
2. 结果与讨论
2.1 结构及形貌表征
图 2为MO-140、MO-160、MO-180和MO-190的XRD图。所有衍射峰都可以与四方相α-MnO2(PDF No.44-0141)的特征峰对应,其中12.76°、18.13°、28.73°、37.58°、49.85°和60.14°附近的峰分别对应(110)、(200)、(310)、(211)、(411)和(512)晶面,无其他杂质峰出现。不同温度合成样品的特征峰位置和强度没有发生明显的变化,说明所有样品的层间距与结晶度较为接近,且纯度高[13]。
图 2
从图 3a~3d的SEM图中可以观察到所有α-MnO2均呈纳米线结构且交错分布,纳米线的长度为3~5 μm,宽度约为50 nm。这表明合成温度不影响α-MnO2的基本形貌[14]。从图 3e~3h的TEM图中可以看到不同α-MnO2纳米线在尺寸上相近且交错分布,这种类似隧道结构的形貌有利于充放电过程中电解液的渗透和离子的迁移[22]。
图 3
2.2 元素价态及孔径分析
进一步采用XPS和N2吸附-脱附测试分析样品的元素价态及孔径分布。图 4a是MO-180的XPS全谱图,从中可以观察到Mn和O元素的存在。图 4b是MO-180的Mn2p XPS谱图,Mn2p1/2和Mn2p3/2结合能分别位于653.8和642.1 eV,结合能差为11.7 eV[23]。进一步分峰拟合可以发现,Mn元素是以Mn3+和Mn4+的形式存在,Mn价态的不同有利于电化学性能的提高。MO-180的O1s谱图如图 4c所示,529.5、531.3和532.9 eV处的3个特征峰分别对应Mn4+—O—Mn4+(金属氧化物)、氧空位和MnOOH的Mn3+—O[24]。
图 4
由图 4d、4e可知,MO-160和MO-180的N2吸附-脱附等温线均为典型的Ⅳ型等温线,滞回线分别出现在p/p0=0.4~1.0和0.2~0.9处,这表明二者均存在明显的介孔结构,这种结构是由大量MnO2纳米线相互交错形成的[25]。MO-160和MO-180的比表面积分别为22和24 m2·g-1。比表面积的大小与正极材料和电解液的接触面积呈正相关,大的比表面积更有利于增加接触面积,从而在充放电过程中降低导电离子迁移受到的阻碍。由插图可知,MO-160和MO-180均存在微孔(< 2 nm)、介孔(2~50 nm)和大孔(> 50 nm),其中MO-180的介孔含量要高于M-160。丰富的孔隙在提供更大的比表面积的同时,还可以降低材料内阻,提供大量活性位点,以及提高材料在充放电过程中的稳定性[26]。
2.3 电化学性能分析
为探究合成温度对α-MnO2电化学性能的影响,对其扣式电池进行CV测试,扫描速率为0.2 mV·s-1,结果如图 5a所示。M-140、M-160、M-180、M-190的2个还原峰分别出现在1.247 V/1.358 V、1.238 V/1.358 V、1.248 V/1.354 V、1.232 V/1.352 V,前者代表放电过程中Zn2+的嵌入而后者代表H+的嵌入,Zn2+和H+的嵌入过程还伴随着Mn4+被还原成Mn3+和Mn2+的过程。另外,M-140、M-160、M-180、M-190分别位于1.607、1.607、1.600、1.621 V的氧化峰代表在充电过程中Zn2+和H+的析出,二者析出的同时伴随着Mn3+和Mn2+氧化成Mn4+的过程[27]。其中,MO-180的氧化还原峰差值最小,说明MO-180在充放电过程中的极化最小,这意味着Zn2+和H+可以更容易地从α-MnO2中脱嵌[28]。MO-180的CV曲线面积略大于其他α-MnO2,故而推测MO-180可能具有更大的充放电容量[29]。
图 5
GCD测试结果如图 5b所示。由图可知,在0.1 A·g-1的电流密度下4个样品的充放电曲线相似。以MO-180放电曲线为例,其在1.30~1.45 V附近出现第1个放电平台,这与H+的嵌入有关,而在1.34 V附近出现第2个放电平台,这与Zn2+的嵌入有关[30]。M-140、M-160、M-180、M-190的放电比容量依次是195.8、208.8、229.2和218.7 mAh·g-1,其中MO-180的放电比容量最高。
不同温度合成样品的倍率性能测试如图 5c所示。随着温度的升高,在0.1 A·g-1下M-140、M-160、M-180、M-190的最大放电比容量依次是200、193、206和202 mAh·g-1,而在4 A·g-1下的放电比容量依次是17、24、43和29 mAh·g-1,其中MO-180的比容量及循环稳定性均高于其他样品,这可能是由其独特的介孔结构导致的。介孔结构更利于电解液的渗透以及活性位点的增加,从而使材料结构即使在大电流下依然保持相对稳定。当电流密度由4 A·g-1转变为0.1 A·g-1时,MO-140、M-160、M-180、MO-190的放电比容量依次是103、128、183和173 mAh·g-1。除此之外,在0.1 A·g-1下对MO-140、MO-160、MO-180、MO-190进行循环性能测试,如图 5d所示,四者的初始放电比容量分别为210、209、211和214 mAh·g-1。在循环过程中,MO-180的最大放电比容量达到了229.2 mAh·g-1,大于其他样品。经过110次循环后,MO-180的容量衰减至90 mAh·g-1,而其他样品衰减得更为明显,这足以说明MO-180具有更优异的电化学性能。
为深入地探究MnO2的容量衰减问题,我们选取了110次循环后的M-160和M-180进行SEM测试,结果如图 5e、5f所示。由图可知,循环后MnO2纳米线发生了不同程度的断裂,这可能是充放电过程中结构发生坍塌导致的[31],这会影响电池的放电比容量。
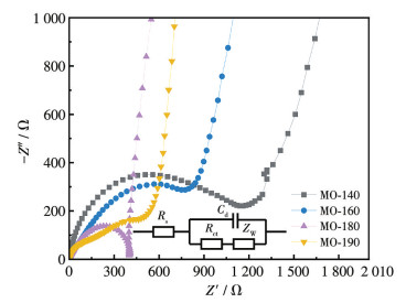
MO-140、MO-160、MO-180和MO-190的EIS如图 6所示,插图为拟合的等效电路,其中,Rct为电荷转移电阻,Rs代表电池内阻,Cd代表电容,ZW是扩散电阻。图中高频区的半圆代表的是电荷转移电阻,半圆的直径越小则电荷转移电阻越小[32];低频区的直线代表的是扩散电阻,斜率越大说明电阻越小。由图可知,MO-180的EIS拥有更小的半圆直径及更陡峭的直线。经等效电路图拟合得出MO-140、MO-160、MO-180和MO-190的电荷转移电阻分别为1 238、1 022、403和778 Ω。比较发现,MO-180的电荷转移电阻和扩散电阻均小于其他样品,这说明MO-180在充放电过程中,Zn2+和H+的嵌入和析出所受到的阻碍更小,电化学性能更优异[33]。值得注意的是,在温度继续升高时MO-190的电化学性能反而有所下降。从图 6可以观察到,MO-190的电荷转移电阻及扩散电阻均大于MO-180。这可能是因为M-190的纳米线比M-180的细小,比表面积进一步增大,导致与电解液的浸润面积变大,从而加剧不必要的副反应[34],最终导致电荷转移电阻以及扩散电阻增大(图 3g、3h)。
图 6
2.4 循环寿命及动力学性能
图 7是MO-180在不同电流密度下的首次GCD曲线及在1 A·g-1的大电流密度下的循环寿命曲线。随着电流密度的增大,MO-180的2个放电平台均在缩短,特别是代表Zn2+嵌入的第2个放电平台在0.7 A·g-1时已经消失,在电流密度大于0.7 A·g-1时,MO-180的放电比容量均由H+的嵌入所贡献[35]。随着电流密度的增大,Zn2+和H+的嵌入都受到了不同程度的阻碍,但由于H+的扩散能力强于Zn2+,所以第1个放电平台在4 A·g-1的高电流密度下依然存在[36]。
图 7
由图 7b可知,在1 A·g-1的大电流密度下,可以观察到MO-180的初始放电比容量为80 mAh·g-1,1 000次循环后的放电比容量为38 mAh·g-1。这是由于在充放电过程中,Zn2+和H+的不断嵌入和析出破坏了α-MnO2的结构稳定性,更重要的是在氧化还原反应进行的同时还伴随着不可逆产物的产生,导致其发生严重的结构坍塌,Zn2+和H+的扩散途径和电荷转移受到了更大的阻碍,最终导致放电比容量的快速降低[37]。
图 8是MO-180在不同扫描速率下的CV曲线。由图 8a可知,随着扫描速率的增大,CV曲线的峰值电流和面积也逐渐增大。需要注意的是,扫描速率的增大对CV曲线的形状有一定的影响,且氧化还原峰的电位差也在逐渐增大,说明大的扫描速率会影响MO-180的稳定性[38]。
图 8
正极材料对容量的贡献分为扩散控制和电容控制贡献2种,为探求MO-180的容量贡献形式,利用公式ip=avb来判断[39],其中ip为峰值电流,v为扫描速率,a和b是常数。当b更接近0.5时,容量主要由扩散控制贡献;当b更接近1时,容量取决于电容控制。由图 8b可知,MO-180的峰1、峰2、峰3、峰4的b分别为0.59、0.87、0.59和0.88,这说明其容量是由扩散控制和电容控制共同贡献的。根据容量贡献率的计算公式(iV=k1v+k2v1/2)计算容量贡献率,其中,iV为响应电流,V为对应电压,k1v为电容控制贡献电流,k2v1/2为扩散控制贡献电流,k1、k2分别为电容和扩散控制的系数。如图 8c所示,MO-180在0.1、0.2、0.3、0.4、0.5 mV·s-1时的电容贡献率分别为13%、15%、19%、21%和23%。随着扫描速率的增大,扩散贡献的比例逐渐减小,电容贡献的比例逐渐增大,表明MO-180主要受到电极表面反应的主导,这反映出其具有更快的电荷储存能力,以及优异的倍率性能。
3. 结论
我们用一步水热法在不同温度下合成了α-MnO2,并对其进行了表征与电化学性能测试。结果表明,所有样品都呈现纳米线交错分布的结构,其中MO-180具有丰富的孔隙结构。MO-180具有最大的CV面积以及最小的氧化还原电位差。在0.1 A·g-1下,MO-180的最大放电比容量为223 mAh·g-1,110次循环后仍有90 mAh·g-1,均高于其他样品。MO-180具有更好的倍率性能,在4 A·g-1下仍具有43 mAh·g-1的放电比容量,其在1 A·g-1下的初始放电比容量为80 mAh·g-1,1 000次循环后仍有38 mAh·g-1。MO-180具有最小的扩散电阻和电荷转移电阻。
-
-
[1]
JIANG C L, FANG Y, ZHANG W Y, SONG X H, LANG J H, SHI L, TANG Y B. A multi-ion strategy towards rechargeable sodium-ion full batteries with high working voltage and rate capability[J]. Angew. Chem. ‒Int. Edit., 2018, 130(50): 16608-16612. doi: 10.1002/ange.201810575
-
[2]
LI H F, MA L T, HAN C P, WANG Z F, LIU Z X, TANG Z J, ZHI C Y. Advanced rechargeable zinc-based batteries: Recent progress and future perspectives[J]. Nano Energy, 2019, 62: 550-587. doi: 10.1016/j.nanoen.2019.05.059
-
[3]
HE P, QUAN Y L, XU X, YAN M Y, YANG W, AN Q Y, HE L, MAI L Q. High-performance aqueous zinc-ion battery based on layered H2V3O8 nanowire cathode[J]. Small, 2017, 13(47): 1702551. doi: 10.1002/smll.201702551
-
[4]
ZHANG N, CHENG F, LIU Y C, ZHAO Q, LEI K X, CHEN C C, LIU X S, CHEN J. Cation-deficient spinel ZnMn2O4 cathode in Zn(CF3SO3)2 electrolyte for rechargeable aqueous Zn-ion battery[J]. J. Am. Chem. Soc., 2016, 138(39): 12894-12901. doi: 10.1021/jacs.6b05958
-
[5]
QUILTY C D, WU D, LI W, BOCK D C, WANG L, HOUSEL L M, ABRAHAM A, TAKEUCHI K J, MARSCHILOK A C, TAKEUCHI E S. Electron and ion transport in lithium and lithium-ion battery negative and positive composite electrodes[J]. Chem. Rev., 2023, 123(4): 1327-1363. doi: 10.1021/acs.chemrev.2c00214
-
[6]
LIU S D, KANG L, KIM J M, CHUN Y T, ZHANG J, JUN S J. Recent advances in vanadium-based aqueous rechargeable zinc-ion batteries[J]. Adv. Energy Mater., 2020, 10(25): 2000477. doi: 10.1002/aenm.202000477
-
[7]
ZHAO C L, WANG Q D, YAO Z P, ANG J L, LENGELING B S, DING F, QI X G, LU Y X, BAI X D, LI B H, LI H, GUZIK A A, HUANG X J, DELMAS C, WAGEMARKER M, CHEN L Q, HU Y S. Rational design of layered oxide materials for sodium-ion batteries[J]. Science, 2020, 370(6517): 708-711. doi: 10.1126/science.aay9972
-
[8]
INNOCENTI A, ERESSER D, GARCHE J, PASSERINI S. A critical discussion of the current availability of lithium and zinc for use in batteries[J]. Nat. Commun., 2024, 15(1): 4068. doi: 10.1038/s41467-024-48368-0
-
[9]
ZHU J H, TIE H W, BI S S, NIU Z Q. Towards more sustainable aqueous zinc-ion batteries[J]. Angew. Chem. ‒Int. Edit., 2024, 136(22): e202403712. doi: 10.1002/ange.202403712
-
[10]
LI Z H, TAN J, WANG Y, GAO C Y, WANG Y G, YE M X, SHEN J F. Building better aqueous Zn-organic batteries[J]. Energy Environ. Sci., 2023, 16(6): 2398-2431. doi: 10.1039/D3EE00211J
-
[11]
GOURLEY S W D, BROWN R, ADAMS B D. Zinc-ion batteries for stationary energy storage[J]. Joule, 2023, 7(7): 1415-1436. doi: 10.1016/j.joule.2023.06.007
-
[12]
LIU S L, ZHANG R Z, WANG C, MAO J F, CHAO D L, ZHANG H F, ZHANG S L, GUO Z P. Zinc ion batteries: Bridging the gap from academia to industry for grid-scale energy storage[J]. Angew. Chem. ‒Int. Edit., 2024, 136(17): e202400045. doi: 10.1002/ange.202400045
-
[13]
CHEN H, MA W B, GUO J D, XIONG J Y, HOU F, SI W P, SANG Z Y, YANG D Y. PEDOT-intercalated MnO2 layers as a high-performance cathode material for aqueous Zn-ion batteries[J]. J. Alloy. Compd., 2023, 932: 167688. doi: 10.1016/j.jallcom.2022.167688
-
[14]
ZHANG N, CHENG F Y, LIU J X, WANG L B, LONG X H, LIU X S, LI F J, CHEN J. Rechargeable aqueous zinc-manganese dioxide batteries with high energy and power densities[J]. Nat. Commun., 2017, 8(1): 1-9. doi: 10.1038/s41467-016-0009-6
-
[15]
PAN H L, SHAO Y Y, YAN P F, CHENG Y W, HAN K S, NIE Z M, WANG C M, YANG J H, LI X L, BHATTACHARYA P, MUELLER K T, LIU J. Reversible aqueous zinc/manganese oxide energy storage from conversion reactions[J]. Nat. Energy, 2016, 1: 16039. doi: 10.1038/nenergy.2016.39
-
[16]
HAO J W, MOU J, ZHANG J W, DONG L B, LIU W B, XU C J, KANG F Y. Electrochemically induced spinel-layered phase transition of Mn3O4 in high performance neutral aqueous rechargeable zinc battery[J]. Electrochim. Acta, 2018, 259: 170-178. doi: 10.1016/j.electacta.2017.10.166
-
[17]
BISCHOFF C F, FITZ O S, BURNS J, BAUER M, GENTISCHER H, BIRKE K P, HENNING H M, BIRO D. Revealing the local pH value changes of acidic aqueous zinc ion batteries with a manganese dioxide electrode during cycling[J]. J. Electrochem. Soc., 2020, 167(2): 020545. doi: 10.1149/1945-7111/ab6c57
-
[18]
GEMEINER P, KULICEK J, MIKULA M, HATALA M, ŠYORC L, HLAVATA L, MIC UŠIK M, OMASTOVA M. Polypyrrole-coated multi-walled carbon nanotubes for the simple preparation of counter electrodes in dye-sensitized solar cells[J]. Synth. Met., 2015, 210: 323-331. doi: 10.1016/j.synthmet.2015.10.020
-
[19]
DING Y, PENG Y, CHEN S, ZHANG X, LI Z, ZHU L, MO L E, HU L. Hierarchical porous metallic V2O3@C for advanced aqueous zinc-ion batteries[J]. ACS Appl Mater. Interfaces, 2019, 11(47): 44109-44117. doi: 10.1021/acsami.9b13729
-
[20]
LEE J, JU J B, CHO W I. Todorokite-type MnO2 as a zinc-ion intercalating material[J]. Electrochim. Acta, 2013, 112: 138-143. doi: 10.1016/j.electacta.2013.08.136
-
[21]
AZMI Z, SENAOATI K C, GOSWAMI K A, MOHAPATRA S R. A comprehensive review of strategies to augment the performance of MnO2 cathode by structural modifications for aqueous zinc ion battery[J]. J. Power Sources, 2024, 613: 234816. doi: 10.1016/j.jpowsour.2024.234816
-
[22]
WANG L, ZHENG L, AN Q Y, MAI L Q. Recent advances and prospects of cathode materials for rechargeable aqueous zinc-ion batteries[J]. Adv. Mater. Interfaces, 2019, 6(17): 1900387. doi: 10.1002/admi.201900387
-
[23]
CHEN Y W, LI J B, ZHANG S M, CUI J Y, SHAO M F. Highly reversible zinc anode enhanced by ultrathin MnO2 cathode material film for high-performance zinc-ion batteries[J]. Adv. Mater. Interfaces, 2020, 7(15): 2000510. doi: 10.1002/admi.202000510
-
[24]
HUANG C M, LIU S H, FENG J J, WANG Y, FAN Q H, KUANG Q, DONG Y Z, ZHAO Y M. Optimizing engineering of rechargeable aqueous zinc ion batteries to enhance the zinc ions storage properties of cathode material[J]. J. Power Sources, 2021, 490: 229528. doi: 10.1016/j.jpowsour.2021.229528
-
[25]
KIM S J, WU D, SADIQUE N, QUILTY C D, WU L J, MARSCHILOK A C, TAKEUCHI K J, TAKEUCHI E S, ZHU Y M. Unraveling the dissolution-mediated reaction mechanism of α-MnO2 cathodes for aqueous Zn-ion batteries[J]. Small, 2020, 16(48): 2005406. doi: 10.1002/smll.202005406
-
[26]
SUN W, WANG F, HOU S Y, YANG C Y, FAN X L, MA Z H, GAO T, HAN F D, HU R Z, ZHU M, WANG C S. Zn/MnO2 battery chemistry with H+ and Zn2+ coinsertion[J]. J. Am. Chem. Soc., 2017, (139): 9775-9778.
-
[27]
Q H, CAO Z X, WU A H, ZHANG X Y, ZHANG J Q, GU J J, SONG Z C, MAO W T, BAO K Y. Construction of MnO2 with oxygen defects as cathode material for aqueous zinc ion batteries[J]. J. Solid State Electrochem., 2024, 28(8): 2927-2935. doi: 10.1007/s10008-024-05856-z
-
[28]
ZHAO X R, ZHANG F, LI H, LI H Z, DONG H T, YAN C C, MENG C, SANG Y H, LIU H, YU G G, WANG S H. Dynamic heterostructure design of MnO2 for high-performance aqueous zinc-ion batteries[J]. Energy Environ. Sci., 2024, 17(10): 3629-3640. doi: 10.1039/D4EE00341A
-
[29]
YU J, ZHU X J, PENG J X, LI M, ZHU F, ZHANG H, WANG T. The synergistic effect of PVA-based gel electrolyte and Cu2+ on the optimization of zinc anode[J]. Vacuum, 2024, 227: 113365. doi: 10.1016/j.vacuum.2024.113365
-
[30]
CUI S H, ZHANG D, ZHANG G X, GAN Y. Reaction mechanism for the α-MnO2 cathode in aqueous Zn ion batteries revisited: Elucidating the irreversible transformation of α-MnO2 into Zn-vernadite[J]. J. Mater. Chem. A, 2022, 10(48): 25620-25632. doi: 10.1039/D2TA07608J
-
[31]
WANG L L, CAO X, XU L H, CHEN J T, ZHENG J R. Transformed akhtenskite MnO2 from Mn3O4 as cathode for a rechargeable aqueous zinc ion battery[J]. ACS Sustain. Chem. Eng., 2018, 6(12): 16055-16063. doi: 10.1021/acssuschemeng.8b02502
-
[32]
WU J, CHI X W, LIU Y Z, YANG J H, LIU Y. Electrochemical characterization of hollow urchin-like MnO2 as high-performance cathode for aqueous zinc ion batteries[J]. J. Electroanal. Chem., 2020, 871: 114242. doi: 10.1016/j.jelechem.2020.114242
-
[33]
王玉慧. 高比容量富锂层状正极材料的制备与性质研究[D]. 长春: 吉林大学, 2014: 32-54.WANG Y H. Synthesis and characterizations of Li-excess layered cathode materials for Li-ion battereis[D]. Changchun: Jilin University, 2014: 32-54
-
[34]
LV X X, WANG Y, ZHANG W J, WANG T F. High valence MnO2 as an aqueous zinc ion battery cathode prepared using a secondary hydrothermal method[J]. Dalton. Trans., 2025, 54(3): 1182-1190. doi: 10.1039/D4DT02724H
-
[35]
MOSTAFA M M, YUDA P H, ARSHAD H, SAHEED A G, GONDAL M A, ABDUL A. Laser modified MnO2 cathode for augmented performance aqueous zinc ion batteries[J]. Appl. Surf. Sci., 2024, 669: 160472. doi: 10.1016/j.apsusc.2024.160472
-
[36]
PAM M E, YAN D, YU J Z, FAN D L, GUO L, LI C T, LU X Y, ANG L K, AMAL R, HAN Z J, YANG H Y. Microstructural engineering of cathode materials for advanced zinc-ion aqueous batteries[J]. Adv. Sci., 2021, 8(1): 2002722. doi: 10.1002/advs.202002722
-
[37]
XU P, YI H M, SHI G Y, XIONG Z N, HU Y Y, WANG R L, ZHANG H H, WANG B. Mg ion pre-intercalated MnO2 nanospheres as high-performance cathode materials for aqueous Zn-ion batteries[J]. Dalton Trans., 2022, 51(12): 4695-4703. doi: 10.1039/D2DT00047D
-
[38]
ZHAO Y J, ZHANG P J, LIANG J R, XIA X Y, REN L T, SONG L, LIU W, SUN X M. Uncovering sulfur doping effect in MnO2 nanosheets as an efficient cathode for aqueous zinc ion battery[J]. Energy Storage Mater., 2022, 48: 456-464.
-
[1]
-
-
扫一扫看文章
计量
- PDF下载量: 2
- 文章访问数: 472
- HTML全文浏览量: 73

下载:
下载:
下载: