羧基修饰UiO-67纳米材料的制备及其高效去除阴离子染料的机制

孙萌萌 蒋蕊 赵天毅 杨吉民

引用本文: 孙萌萌, 蒋蕊, 赵天毅, 杨吉民. 羧基修饰UiO-67纳米材料的制备及其高效去除阴离子染料的机制[J]. 无机化学学报, 2026, 42(3): 499-506. doi: 10.11862/CJIC.20250281 shu
Citation:  Mengmeng SUN, Rui JIANG, Tianyi ZHAO, Jimin YANG. Fabrication of carboxyl-modified UiO-67 nanomaterials and their highly efficient removal mechanism of anionic dye[J]. Chinese Journal of Inorganic Chemistry, 2026, 42(3): 499-506. doi: 10.11862/CJIC.20250281 shu

羧基修饰UiO-67纳米材料的制备及其高效去除阴离子染料的机制

    通讯作者: 杨吉民, E-mail:yangjimin@lyu.edu.cn
  • 基金项目:

    山东省自然科学基金 ZR2025MS246

    临沂大学大学生创新创业训练计划 X2025104520567

摘要: 以4,4′-联苯二甲酸和[1,1′-联苯]-3,4,4′-三羧酸为配体,四氯化锆为金属盐,利用溶剂法合成了羧基(—COOH)修饰的UiO-67纳米材料(UiO-67-COOH)。该材料对有机染料具有出色的吸附性能,对刚果红(CR)、甲基橙(MO)和酸性橙7(AO7)的最大吸附容量分别为698.7、295.9和200.8 mg·g-1。随着合成体系中含—COOH功能基团有机配体比例的增加,UiO-67-COOH吸附剂对3种阴离子染料的吸附效率均逐渐降低,这是由于静电作用、π-π相互作用和氢键作用、吸附空间和空间位阻协同作用的结果。

English

  • 各种环境污染物,如染料、抗生素和重金属离子等,如未经处理直接排放到环境中,将会对人类健康构成严重威胁,并严重破坏生态系统的平衡和稳定[1-3]。印染工业染料废水的治理被广泛关注,研究人员利用各种技术从印染工业废水中去除有害染料。其中常见的治理技术包括生物降解[4]、光催化[5]和吸附[6-8]。在这些去除染料的方法中,吸附法因具备高效、操作简单和制备廉价等优势,成为被广泛应用的技术手段之一[9-10]。尽管研究人员己制备了多种多孔材料[如活性炭[11]、聚合物[12]、磁性吸附剂[13]、金属氧化物[14]和金属有机框架(MOFs)[15]],用于去除水溶液中的有害染料,但制备能高效、高容量吸附有机染料的吸附剂仍是亟待解决的难题。

    MOFs材料也称多孔配位聚合物(PCPs),是一类典型的多孔材料,是由有机配体和金属离子或金属簇桥联而成的具有网状周期结构的晶态材料[16-18]。这类材料具有大尺寸孔道、结构可调控性、易功能化修饰的特性和丰富的吸附位点,是理想的染料去除材料[19-20]。各种功能基团修饰的PCPs吸附材料,在去除染料的废水处理过程中得到了广泛应用。例如,氨基修饰的NH2-AOBTC-Zn对亚甲蓝(MB)的吸附容量比未修饰的AOBTC-Zn提高了700%,这是因为染料分子与PCPs之间存在的氢键作用提高了其吸附性能[21];功能基团修饰的UiO-66-SO3H和UiO-66-NH2吸附剂能增强其对MB和甲基橙(MO)的吸附效率[22];与MIL-125(Ti)相比,NH2-MIL-125(Ti)对MB的吸附效率显著提升,这归因于MB与NH2-MIL-125(Ti)中的氨基发生了氢键作用[23];Ce(Ⅲ)掺杂的UiO-67吸附剂能提高其对阳离子染料MB的吸附容量,是因为该吸附剂和MB之间存在更强的静电作用[24]。尽管己有部分研究团队报道了一些经功能修饰的PCPs材料在净化染料废水方面的应用[21-26],然而,制备具有高效、快速吸附性能的吸附材料仍面临巨大挑战。此外,评估功能基团对PCPs吸附染料的作用机制极为关键。

    在本工作中,我们可控合成了羧基(—COOH)修饰的UiO-67吸附剂(UiO-67-COOH),并将其用于去除有机染料的吸附研究。在UiO-67骨架中引入—COOH可能影响其结晶性和孔体积,但是同时可以带来新的吸附驱动力(氢键)。用于研究的有机染料包括刚果红(CR)、甲基橙(MO)和酸性橙7(AO7),选择这几种染料是因为它们具有不同的化学结构、分子结构和染料阴离子价态。研究结果表明,随着合成过程中[1,1′-联苯]-3,4,4′-三羧酸(H2BPDC-COOH)用量的增加,UIO-67-COOH对3种染料的吸附效率降低。静电作用、π-π相互作用和氢键作用、吸附空间和空间位阻协同吸附作用的结果导致了上述实验结果,UiO-67-COOH对调查染料的吸附行为可通过协同吸附作用机理来进行解释。

    4,4′-联苯二甲酸(H2BPDC,99.5%)、H2BPDC-COOH(99.5%)、ZrCl4(99.5%)、CR(98%)、MO(96%)和AO7(98%)均购自上海阿拉丁生化试剂有限公司;NN-二甲基甲酰胺(DMF,99.5%)购自南京国药试剂有限公司。

    UiO-67-COOH是在本课题组之前报道的UiO-67基础上,通过混合配体策略利用溶剂热法合成[24]。具体的合成过程:将39.3 mg H2BPDC、4.7 mg H2BPDC-COOH、45 mg ZrCl4、1.0 mL醋酸(HAc)和15 mL DMF加入到25 mL含聚四氟乙烯内衬的反应釜中,密封后放入电烘箱中加热到393.15 K,保持16 h,然后自然冷却至室温。接着,离心分离反应釜中的产物,得到白色粉末。将白色粉末用DMF洗涤5次,然后浸泡到甲醇中36 h,每隔12 h更换溶剂。取出干燥,获得的样品命名为UiO-67-COOH-1。其余样品的合成方法与UiO-67-COOH-1的类似,仅更改有机配体的用量。使用34.5 mg H2BPDC和9.2 mg H2BPDC-COOH时合成的产物命名为UiO-67-COOH-2;使用29.8 mg H2BPDC和13.8 mg H2BPDC-COOH时合成的产物命名为UiO-67-COOH-3。在合成UiO-67-COOH-1、UiO-67-COOH-2和UiO-67-COOH-3的过程中,使用的有机配体H2BPDC和H2BPDC-COOH的物质的量之比分别为9∶1、8∶2和7∶3。

    UiO-67-COOH的结构和形貌分别采用Bruker D8 Advance X-ray衍射仪(XRD,铜靶λ=0.154 06 nm,工作电流为40 mA,工作电压为40 kV,扫描范围2θ=5°~45°)。通过场发射扫描电子显微镜(SEM,Gemini SEM 500)观察产物的形貌,工作电压为10 kV。利用Nicolet FT-IR-170SX红外光谱仪测定产物傅里叶变换红外光谱(FTIR)。采用全自动物理及化学吸附仪(ASAP-2020)进行N2吸附-脱附测试,计算样品的BET(Brunauer-Emmett-Teller)比表面积和孔径分布。样品的ζ电位用Malvern Zetasizer Nano Z ζ电位分析仪测得。利用岛津UV-1800紫外可见光谱仪分析染料溶液质量浓度的变化。

    通过分批对比实验对有机染料吸附性能进行研究。在100 mL的烧杯中加入50 mL一定浓度的染料溶液,然后加入5 mg的吸附剂,搅拌一定时间后,取出5 mL的上述溶液离心分离,去除吸附剂后再用紫外可见吸收光谱仪分析其质量浓度。利用紫外可见吸收光谱仪分析CR、MO和AO7的质量浓度,最大吸收波长分别为497、463和475 nm。吸附剂的吸附容量(qe,mg·g-1)根据方程1计算得到:

    $ {q}_{{\rm{e}}}=\frac{\left({\rho }_{0}-{\rho }_{{\rm{e}}}\right)V}{m} $

    (1)

    式中,V(L)为染料溶液的体积;m(mg)为吸附剂的质量;ρ0ρe(mg·L-1)分别代表染料溶液的初始质量浓度和吸附一定时间后的质量浓度。

    我们研究了pH值对染料吸附容量的影响,考察的pH范围为4~12。实验中,利用0.001、0.1 mol·L-1 HCl和0.001、0.1 mol·L-1 NaOH来调节染料溶液的pH。

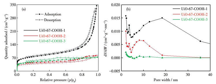
    图 1a为UiO-67-COOH的XRD图。3个样品在2θ为5.76°、9.42°和10.85°处的3个UiO-67的主要衍射峰均能被检测到,而一些弱的衍射峰消失,这意味着合成过程中加入有机连接体H2BPDC-COOH后,UiO-67的结晶性变差,可能生成缺陷结构,并且随着H2BPDC-COOH和H2BPDC物质的量之比的增大,制备的UiO-67-COOH的结晶性逐渐变差。图 1b为UiO-67-COOH的FTIR谱图,在1 424和1 596 cm-1处的吸收峰分别为—COOH的不对称和对称伸缩特征峰。3个样品的红外特征峰相同。图 2a为3个制备样品在-196 ℃时的N2吸附-脱附等温线。所有样品的吸附曲线为Ⅰ型,是典型的微孔吸附曲线,UiO-67-COOH-1、UiO-67-COOH-2和UiO-67-COOH-3的BET比表面积分别为265、172和135 m2·g-1。随着—COOH基团的增加,BET比表面积逐渐减少。从Barrett-Joyner-Halenda(BJH)孔径分布图可以看出3个样品均含有介孔结构(图 2b),从Horvath-Kawazoe(HK)孔径分布图中可以看出3个吸附剂都含有微孔结构(图S1,Supporting information)。热分析表明UiO-67-COOH具有很高的热稳定性,在大约500 ℃时,骨架开始分解(图S2)。

    图 1

    图 1.  UiO-67-COOH的XRD图(a)和FTIR谱图(b)
    Figure 1.  (a) XRD patterns and (b) FTIR spectra of UiO-67-COOH

    图 2

    图 2.  UiO-67-COOH的(a) N2吸附-脱附等温线和(b) BJH孔径分布图
    Figure 2.  (a) N2 adsorption-desorption isotherms and (b) BJH pore size distributions of UiO-67-COOH

    采用SEM对制备的3个UiO-67-COOH的形貌和尺寸进行了分析。如图 3所示,所制备的吸附剂呈现纳米颗粒的形貌特征,其尺寸为100~200 nm,而且这些纳米颗粒由尺寸为十几纳米的纳米晶构建而成。随着合成过程中H2BPDC-COOH和H2BPDC物质的量之比的增大,粒子尺寸逐渐增大,并有不规则的纳米颗粒向纳米片转变,这可能是H2BPDC-COOH的加入影响了粒子的成核和生长速率造成的[27]

    图 3

    图 3.  (a) UiO-67-COOH-1、(b) UiO-67-COOH-2和(c) UiO-67-COOH-3的SEM图
    Figure 3.  SEM images of (a) UiO-67-COOH-1, (b) UiO-67-COOH-2, and (c) UiO-67-COOH-3

    —COOH修饰的UiO-67作为一种潜在的吸附材料,可高效去除水体中的有害染料。其吸附效率会受到溶液pH的影响,这主要归因于以下2个方面:(1) 染料分子的电性与pH有关;(2) 吸附剂的表面电荷受pH的制约[21]。因此,我们研究了pH对UiO-67-COOH吸附性能的影响。以吸附剂UiO-67-COOH-1的吸附性能为例,图S3显示,当CR的初始质量浓度设定为50 mg·L-1,吸附剂的质量为5 mg时,该吸附剂在中性条件下具有最大的吸附容量,其值为455.5 mg·g-1。因此,所有吸附实验都在pH=7的中性条件下进行。

    多孔配位聚合物由于具备大的吸附空间和位点[28-33],是一类在去除有害染料领域被广泛应用的吸附材料。为了研究UiO-67骨架中的—COOH对吸附性能的影响,3种阴离子偶氮染料CR、MO和AO7被用于吸附动力学和热力学研究。吸附实验中,吸附剂的质量为5 mg,染料溶液的体积为50 mL。图 4是制备的吸附剂对3种染料的吸附容量随其质量浓度的变化图。从图 4可以看出,UiO-67-COOH-1、UiO-67-COOH-2和UiO-67-COOH-3对CR的最大吸附容量分别为698.7、614.8和569.7 mg·g-1;对MO的最大吸附容量分别为295.9、272.8和253.9 mg·g-1;对AO7的最大吸附容量分别为200.8、181.9和121.5 mg·g-1。吸附结果表明,随着—COOH在UiO-67骨架中的增加,3种染料的吸附容量均呈现出逐渐降低的趋势。其中,—COOH含量的变化对AO7吸附容量的影响更为显著。这些结果表明,吸附剂的吸附性能与染料分子的结构密切相关。3种染料结构差异明显:CR比MO和AO7携带更多的负电荷,并含有更为丰富的芳香环结构;CR和MO具有线性分子构型,而AO7则属于非线性分子。如图 5所示,3种染料分子的尺寸大小顺序为CR > MO > AO7。染料分子的结构特征和尺寸大小对吸附剂的吸附性能有着不可忽视的影响,这主要是因为这些差异可能会影响染料分子在孔道内的排布,并且对吸附染料和吸附剂之间的吸附作用(如静电作用、π-π相互作用和氢键作用)产生调控。结果表明,吸附剂对CR的吸附效率明显高于MO和AO7,这是因为CR和吸附剂之间的静电、π-π和氢键作用强度大于其他2种染料分子。然而,由于AO7为非线性分子,在吸附过程中会受到空间位阻效应的制约,从而导致吸附剂对AO7的吸附容量最小。然而,UiO-67-COOH-1吸附剂对CR、MO和AO7的吸附容量比用类似方法合成的UiO-67(合成时,有机配体为43.2 mg H2BPDC,其他条件相同)对这3种染料的吸附容量(CR:673.9 mg·g-1,MO:244.2 mg·g-1,AO7:181.8 mg·g-1,图S4)分别提高了3.7%、21.2%和10.5%。这可能由于在较大的吸附空间下,氢键作用对于染料吸附的影响大于空间位阻作用的影响。相反,UiO-67-COOH-2和UiO-67-COOH-3吸附剂对3种染料的吸附容量小于UiO-67对3种染料的吸附容量,这可能是由于在较小的吸附空间下,氢键对于吸附性能的影响小于空间位阻的影响。

    图 4

    图 4.  UiO-67-COOH对(a) CR、(b) MO和(c) AO7的吸附容量
    Figure 4.  Adsorption capacities of UiO-67-COOH for (a) CR, (b) MO, and (c) AO7

    图 5

    图 5.  染料分子的结构图
    Figure 5.  Structural diagrams of dye molecules

    为探究吸附剂对染料分子的吸附驱动力,测定了其ζ电位。如图S5~S7所示,3种UiO-67-COOH吸附剂表面均带少量正电荷,表明其与阴离子染料分子之间存在静电吸引作用。吸附空间与位点的大小与吸附剂的比表面积相关。随着骨架中—COOH基团数量的增加,吸附空间逐渐减小。尽管引入更多—COOH基团可增强吸附剂与染料分子间的氢键作用,但综合多种吸附作用力的协同效应,3种吸附剂对CR、MO和AO7的吸附容量顺序为UiO-67-COOH-1 > UiO-67-COOH-2 > UiO-67-COOH-3。这表明在吸附过程中,静电作用、π-π相互作用、吸附空间及位点起主导作用,而氢键作用相对次要。可能的吸附机理如图 6所示。

    图 6

    图 6.  UiO‑67‑COOH吸附剂对CR可能的吸附机理示意图
    Figure 6.  Schematic of the possible adsorption mechanism of CR onto UiO-67-COOH

    我们针对UiO-67-COOH对阴离子染料的吸附动力学展开了研究。在实验过程中,CR、MO和AO7的质量浓度分别设定为100、20和20 mg·L-1。如图S8所示,在约80 min时,3个染料分子的吸附达到平衡。我们采用准一级和准二级动力学模型来描述吸附动力学行为。如图S5所示,准一级动力学模型的线性回归系数明显小于准二级动力学模型,这表明吸附动力学符合准二级模型。所有相关参数列于表S1~S3。在吸附热力学行为研究方面,Freundlich、Langmuir和Temkin这3个模型被广泛应用于分析吸附过程。基于吸附平衡实验数据,绘制了这3个热力学模型的线性关系图(图 7)。综合图 7和表S1~S3的结果可以发现,Langmuir模型的R2值大于其他2个模型,这表明Langmuir模型能更好地描述实验数据,同时也表明3种染料在UiO-67-COOH上的吸附是单层的。根据Langmuir热力学模型计算出UiO-67-COOH-1对CR的最大吸附容量为709.2 mg·g-1。此外,我们对吸附剂的稳定性和可循环使用性进行了研究。UiO-67-COOH-1对CR的吸附循环使用5次后(图S9),吸附容量仍大于85%,这表明该吸附剂具有较好的稳定性和可循环使用性。

    图 7

    图 7.  热力学模型图: (a、d、g) Langmuir、(b、e、h) Temkin和(c、f、i) Freundlich
    Figure 7.  Curves of thermal model: (a, d, g) Langmuir, (b, e, h) Temkin, and (c, f, i) Freundlich

    我们可控合成了部分—COOH修饰的UiO-67纳米粒子。这些纳米粒子对阴离子染料具有出色的吸附性能,针对CR、MO和AO7的最大吸附容量分别为698.7、295.9和200.8 mg·g-1。UiO-67-COOH对线性分子CR和MO的吸附效率明显大于非线性分子AO7,这是由于吸附空间和位点、氢键、静电和π-π作用,以及空间位阻效应协同作用的结果。随着UiO-67骨架中修饰的—COOH的增加,吸附剂对3种阴离子染料的吸附容量逐渐降低,这主要是吸附空间的减少导致的。综上所述,我们提供了一种通过部分基团修饰合成高效去除染料的功能MOF吸附材料的制备方法,此方法对于发展高效MOF吸附材料具有重要理论意义。


    Supporting information is available at http://www.wjhxxb.cn
    1. [1]

      JIN C, HAN B, LUO C H, QIN J W, LIU Y T, DAI Z C, SUN Y Q, GAN Z B, WANG C C, ZHENG X W, HU Z F. Precise synthesis of Fe single-atom catalysts on montmorillonite/g-C3N4 heterostructures for highly efficient fenton-like degradation of organic pollutants[J]. Water Res., 2025, 287: 124420 doi: 10.1016/j.watres.2025.124420

    2. [2]

      CHAI Y T, WANG F, GAO Y, WANG P, JIA Z Y, LI X J, DONG Y L, WANG C C. Ozone activation over core-shell nanoreactors for enhanced organic pollutants degradation: Surface-bound superoxide radicals induced by confinement effect[J]. Environ. Res., 2025, 282: 122099 doi: 10.1016/j.envres.2025.122099

    3. [3]

      ZHANG W, ZHANG R Z, HUANG Y Q, YANG J M. Effect of the synergetic interplay between the electrostatic interactions, size of the dye molecules, and adsorption sites of MIL-101(Cr) on the adsorption of organic dyes from aqueous solutions[J]. Cryst. Growth Des., 2018, 18: 7533-7540 doi: 10.1021/acs.cgd.8b01340

    4. [4]

      BHARTI V, VIKRANT K, GOSWAMI M, TIWARI H, SONWANI R K, LEE J, TSANG D C W, KIM K H, SAEED M, KUMAR S, RAI B N, GIRI B S, SINGH R S. Biodegradation of methylene blue dye in a batch and continuous mode using biochar as packing media[J]. Environ. Res., 2019, 171: 356-364 doi: 10.1016/j.envres.2019.01.051

    5. [5]

      IQBAL K, IQBAL A, KIRILLOV A M, LIU W S, TANG Y. Hybrid metal-organic-framework/inorganic nanocatalyst toward highly efficient discoloration of organic dyes in aqueous medium[J]. Inorg. Chem., 2018, 57: 13270-13278 doi: 10.1021/acs.inorgchem.8b01826

    6. [6]

      JIANG D N, CHEN M, WANG H, ZENG G M, HUANG D L, CHENG M, LIU Y, XUE W J, WANG Z W. The application of different typological and structural MOFs-based materials for the dyes adsorption[J]. Coord. Chem. Rev., 2019, 380: 471-483 doi: 10.1016/j.ccr.2018.11.002

    7. [7]

      BURTCH N C, JASUJA H, WALTON K S. Water stability and adsorption in metal-organic frameworks[J]. Chem. Rev., 2014, 114: 10575-10612 doi: 10.1021/cr5002589

    8. [8]

      ALUIGI A, ROMBALDONI F, TONETTI C, JANNOKE L. Study of methylene blue adsorption on keratin nanofibrous membranes[J]. J. Hazard. Mater., 2014, 268: 156-165 doi: 10.1016/j.jhazmat.2014.01.012

    9. [9]

      RAJENDRAN H K, DEEN M A, RAY J P, SINGH A, NARAYANASAMY S. Harnessing the chemical functionality of metal-organic frameworks toward removal of aqueous pollutants[J]. Langmuir, 2024, 40: 3963-3983 doi: 10.1021/acs.langmuir.3c02668

    10. [10]

      GAO Q, XU J, BU X H. Recent advances about metal-organic frameworks in the removal of pollutants from wastewater[J]. Coord. Chem. Rev., 2019, 378: 17-31 doi: 10.1016/j.ccr.2018.03.015

    11. [11]

      PURKAIT M K, MAITI A, GUPTA S D, DE S. Removal of Congo red using activated carbon and its regeneration[J]. J. Hazard. Mater., 2007, 145: 287-295 doi: 10.1016/j.jhazmat.2006.11.021

    12. [12]

      CHEN Z H, ZHANG J N, FU J W, WANG M H, WANG X Z, HAN R P, XU Q. Adsorption of methylene blue onto poly(cyclotriphosphazene-co-4, 4-sulfonyldiphenol) nanotubes: Kinetics, isotherm and thermodynamics analysis[J]. J. Hazard. Mater., 2014, 273: 263-271 doi: 10.1016/j.jhazmat.2014.03.053

    13. [13]

      WANG J Z, ZHAO G H, LI Y F, ZHU H, PENG X M, GAO X. One-step fabrication of functionalized magnetic adsorbents with large surface area and their adsorption for dye and heavy metal ions[J]. Dalton Trans., 2014, 43: 11637-11645 doi: 10.1039/C4DT00694A

    14. [14]

      WANG B, WU H, YU L, XU R, LIM T T, LOU X W. Template-free formation of uniform urchin-like α-FeOOH hollow spheres with superior capability for water treatment[J]. Adv. Mater., 2012, 24: 1111-1116 doi: 10.1002/adma.201104599

    15. [15]

      YANG J M. A facile approach to fabricate an immobilized-phosphate zirconium based metal-organic framework composite (UiO-66-P) and its activity in the adsorption and separation of organic dyes[J]. J. Colloid Interface Sci., 2017, 505: 178-185 doi: 10.1016/j.jcis.2017.05.040

    16. [16]

      QIU J H, FENG Y, ZHANG X F, JIA M M, YAO J F. Acid-promoted synthesis of UiO-66 for highly selective adsorption of anionic dyes: Adsorption performance and mechanisms[J]. J. Colloid and Interface Sci., 2017, 499: 151-158 doi: 10.1016/j.jcis.2017.03.101

    17. [17]

      LI T T, LIU Y M, WANG T, WU Y L. HE Y L, YANG R, ZHENG S R. Regulation of the surface area and surface charge property of MOFs by multivariate strategy: Synthesis, characterization, selective dye adsorption and separation[J]. Microporous Mesoporous Mat., 2018, 272: 101-108 doi: 10.1016/j.micromeso.2018.06.023

    18. [18]

      CHU H Y, HUANG Z M, SHEN G, DONG Y L, WANG C C. Microcystin-LR detection and removal using MOF based functional materials [J]. Environ. Sci.‒Nano, 2025, 12: 2901-2910 doi: 10.1039/D5EN00183H

    19. [19]

      HU P, ZHAO Z X, SUN X D, MUHAMMAD Y, LI J, CHEN S B, PANG C J, LIAO T T, ZHAO Z X. Construction of crystal defect sites in N-coordinated UiO-66 via mechanochemical in-situ N-doping strategy for highly selective adsorption of cationic dyes[J]. Chem. Eng. J., 2019, 356: 329-340 doi: 10.1016/j.cej.2018.09.060

    20. [20]

      JASMINA H C, SOREN J, UNNI O, NATHALIE G, CARLO L, SILVIA B, KARL P L. A new zirconium organic building brick forming metal organic frameworks with exceptional stability[J]. J. Am. Chem. Soc., 2008, 130: 13850-13851 doi: 10.1021/ja8057953

    21. [21]

      REN Z L, FANG Y L, WU Q, MA X. Magnetic β‑cyclodextrin/UiO-66 hybrid composites as high-performance adsorbents for organic dye removal [J]. Langmuir, 2025, 41: 22978-22990 doi: 10.1021/acs.langmuir.5c02591

    22. [22]

      KONNO H, TSUKADA A. Size- and ion-selective adsorption of organic dyes from aqueous solutions using functionalized UiO-66 frameworks[J]. Colloid Surface A, 2022, 651: 129749 doi: 10.1016/j.colsurfa.2022.129749

    23. [23]

      FAN Y H, ZHANG S W, QIN S B, LI X S, QI S H. An enhanced adsorption of organic dyes onto NH2 functionalization titanium-based metal‑organic frameworks and the mechanism investigation[J]. Microporous Mesoporous Mat., 2018, 263: 120-127 doi: 10.1016/j.micromeso.2017.12.016

    24. [24]

      YANG J M, YANG B C, ZHANG Y, YANG R N, JI S S, WANG Q, QUAN S, ZHANG R Z. Rapid adsorptive removal of cationic and anionic dyes from aqueous solution by a Ce(Ⅲ)-doped Zr-based metal-organic framework[J]. Microporous Mesoporous Mat., 2020, 292: 109764 doi: 10.1016/j.micromeso.2019.109764

    25. [25]

      RAJAK R, SARAF M, MOHAMMAD A, MOBIN S M. Design and construction of a ferrocene based inclined polycatenated Co-MOF for supercapacitor and dye adsorption applications[J]. J. Mater. Chem. A, 2017, 5: 17998-18011 doi: 10.1039/C7TA03773B

    26. [26]

      TONG M M, LIU D H, YANG Q Y, DEVAUTOUR-VINOT S, MAURIN G, ZHONG C L. Influence of framework metal ions on the dye capture behavior of MIL-100 (Fe, Cr) MOF type solids[J]. J. Mater. Chem. A, 2013, 1: 8534-8537 doi: 10.1039/c3ta11807j

    27. [27]

      TSURUOKA T, FURUKAWA S, TAKASHIMA Y, YOSHIDA K, ISODA S, KITAGAWA S. Nanoporous nanorods fabricated by coordination modulation and oriented attachment growth[J]. Angew. Chem.‒Int. Edit., 2009, 48: 4739-4743 doi: 10.1002/anie.200901177

    28. [28]

      LIL, LIU X L, GAO M, HONG W, LIU G Z, FAN L, HU B, XIA Q H, LIU L, SONG G W, XU Z S. The adsorption on magnetic hybrid Fe3O4/HKUST-1/GO of methylene blue from water solution[J]. J. Mater. Chem. A, 2014, 2: 1795-1801 doi: 10.1039/C3TA14225F

    29. [29]

      DECOSTE J B, PETERSON G W. Metal-organic frameworks for air purification of toxic chemicals[J]. Chem. Rev., 2014, 114: 5695-5727 doi: 10.1021/cr4006473

    30. [30]

      HASAN Z, JEON J, JHUNG S H. Adsorptive removal of naproxen and clofibric acid from water using metal-organic frameworks[J]. J. Hazard. Mater., 2012, 209: 151-157

    31. [31]

      ZHANG W, YANG J M, YANG R N, YANG B C, QUAN S, JIANG X. Effect of free carboxylic acid groups in UiO-66 analogues on the adsorption of dyes from water: Plausible mechanisms for adsorption and gate-opening behavior[J]. J. Mol. Liq., 2019, 283: 160-166 doi: 10.1016/j.molliq.2019.03.100

    32. [32]

      ABNEY C W, TAYLOR-PASHOW K M L, RUSSELL S R, CHEN Y, SAMANTARAY R, LOCKARD J V, LIN W B. Topotactic transformations of metal-organic frameworks to highly porous and stable inorganic sorbents for efficient radionuclide sequestration[J]. Chem. Mater., 2014, 26: 5231-5243 doi: 10.1021/cm501894h

    33. [33]

      QI Z P, YANG J M, LIU Q, KANG Y S, SUN W Y. Facile water-stability evaluation of metal-organic frameworks and the property of selective removal of dyes from aqueous solution[J]. Dalton Trans., 2016, 45: 8753-8759 doi: 10.1039/C6DT00886K

  • 图 1  UiO-67-COOH的XRD图(a)和FTIR谱图(b)

    Figure 1  (a) XRD patterns and (b) FTIR spectra of UiO-67-COOH

    图 2  UiO-67-COOH的(a) N2吸附-脱附等温线和(b) BJH孔径分布图

    Figure 2  (a) N2 adsorption-desorption isotherms and (b) BJH pore size distributions of UiO-67-COOH

    图 3  (a) UiO-67-COOH-1、(b) UiO-67-COOH-2和(c) UiO-67-COOH-3的SEM图

    Figure 3  SEM images of (a) UiO-67-COOH-1, (b) UiO-67-COOH-2, and (c) UiO-67-COOH-3

    图 4  UiO-67-COOH对(a) CR、(b) MO和(c) AO7的吸附容量

    Figure 4  Adsorption capacities of UiO-67-COOH for (a) CR, (b) MO, and (c) AO7

    图 5  染料分子的结构图

    Figure 5  Structural diagrams of dye molecules

    图 6  UiO‑67‑COOH吸附剂对CR可能的吸附机理示意图

    Figure 6  Schematic of the possible adsorption mechanism of CR onto UiO-67-COOH

    图 7  热力学模型图: (a、d、g) Langmuir、(b、e、h) Temkin和(c、f、i) Freundlich

    Figure 7  Curves of thermal model: (a, d, g) Langmuir, (b, e, h) Temkin, and (c, f, i) Freundlich

  • 加载中
计量
  • PDF下载量:  0
  • 文章访问数:  199
  • HTML全文浏览量:  24
文章相关
  • 发布日期:  2026-03-10
  • 收稿日期:  2025-09-08
  • 修回日期:  2026-01-16
通讯作者: 陈斌, bchen63@163.com
  • 1. 

    沈阳化工大学材料科学与工程学院 沈阳 110142

  1. 本站搜索
  2. 百度学术搜索
  3. 万方数据库搜索
  4. CNKI搜索

/

返回文章