Citation: Weifeng HUANG, Jingteng FENG, Xin WANG, Zhilong XU, Jiaxin LI, Guanghui SUN, Yan SUN, Yao SUN, Xi LIU, Yinfeng CHENG, Guangri XU, Li YANG. In-situ self-assembly of hydrated vanadium pentoxide on Zn foil for stable Zn anodes[J]. Chinese Journal of Inorganic Chemistry, 2026, 42(3): 562-570. doi: 10.11862/CJIC.20250267
锌箔原位自组装水合五氧化二钒在锌负极保护中的应用
English
In-situ self-assembly of hydrated vanadium pentoxide on Zn foil for stable Zn anodes
-
Key words:
- aqueous zinc-ion battery
- / zinc anode
- / self-assembling
- / hydrated vanadium pentoxide
-
近年来,水系锌离子电池因安全性高、成本低、环境友好、理论比容量高(820 mAh·g-1和5 855 mAh·cm-3)等优点,成为研究热点[1-2]。然而,金属锌负极的电化学和热力学不稳定性限制了其商业化进程。在锌沉积/剥离过程中,不均匀的锌沉积会导致锌枝晶生长并形成“死锌”,最终可能刺穿隔膜,引发安全问题;同时,金属锌在弱酸性或中性电解液中易发生不可逆的副反应(如腐蚀和析氢等),其副产物覆盖在锌负极表面会导致电极活性降低。锌枝晶与副反应相互交织,共同导致电池库仑效率下降和循环寿命缩短。
为解决金属锌负极的上述问题,研究者们提出了多种改性策略[3-4],包括界面修饰[5-7]、电解液优化[8-11]、电极结构改性[12]等。其中,在锌金属表面构建保护层进行界面修饰的方法被认为是稳定锌负极最有效的方法之一[13]。已报道的锌负极保护层主要包括碳基材料[14]、金属材料[15-16]、无机非金属材料[17-19]、聚合物[20]等,展现出良好的应用前景。其中,金属氧化物(如Al2O3[21]、ZrO2[22]等)具有较强的亲锌性和低成核过电势,能够提供大量成核位点,有利于锌的快速均匀沉积,因而吸引了广泛关注。
然而,传统的金属氧化物保护层通常存在制备工艺复杂、耗时较长或存在易导致保护层脱落的缺陷等问题[23]。因此,亟需开发一种简单高效且能促进保护层与锌负极紧密结合的制备工艺。原位自组装法能够直接在锌负极表面原位形成均匀、致密且结合牢固的保护层,从而有效抑制枝晶生长和副反应,同时显著简化制备流程[24]。这种“自下而上”的保护策略为解决锌负极的关键问题提供了极具前景的解决方案。
基于以上分析,为实现金属氧化物在锌负极表面的原位自组装,我们利用水合五氧化二钒(HVO)与锌负极之间的氧化还原反应,实现了HVO在锌负极表面的原位自生长,成功构建了具有HVO保护层的锌负极(VOZn)。该方法有利于在HVO与锌金属之间形成稳定界面,且HVO可提供丰富的亲锌位点,促进Zn2+的均匀沉积。因此,VOZn负极展现出较低的过电势和优异的循环稳定性。此外,基于VOZn组装的全电池也表现出更为优异的电化学性能。
1. 实验部分
1.1 HVO悬浮液和HVO的制备
将0.873 6 g V2O5(阿拉丁)、12 mL H2O2(质量分数为30%,国药试剂)和72 mL超纯水混合,置于磁力搅拌器上搅拌1 h,使其均匀分散,得到清澈的红棕色溶液。随后,将混合溶液转移至100 mL高压反应釜中,在190 ℃鼓风干燥箱内保持3 h,自然冷却至室温后,即得到均匀分散的HVO悬浮液(10.4 mg·mL-1)。对该悬浮液进行冷冻干燥,即可得到HVO固体。
1.2 VOZn负极的制备
将锌箔超声清洗10 min,再用无水乙醇擦拭表面以除去杂质。将清洗干净的锌箔(3.5 cm×3.5 cm)浸入12.5 mL HVO悬浮液(1 mg·mL-1)中,分别静置1、3、5、7 min,HVO随即发生还原反应并生长在锌箔表面。随后,用去离子水浸泡冲洗以去除未反应的溶液,再于60 ℃真空干燥8 h,即得VOZn负极。将生长时间分别为1、3、5、7 min的VOZn负极分别命名为VOZn-1、VOZn-3、VOZn-5、VOZn-7。
1.3 薄膜的制备
将1 g原始的多壁碳纳米管(MWCNTs,科路得)、40 mL浓HNO3(质量分数为68%,国药试剂)和120 mL浓H2SO4(质量分数为98.3%,国药试剂)在80 ℃下连续搅拌回流1 h,随后抽滤并用去离子水洗涤产物至中性,冷冻干燥即可得到酸化的MWCNTs(aMWCNTs)。
将60 mg aMWCNTs在30 mL去离子水中超声分散15 min,然后加入13.5 mL 10.4 mg·mL-1 HVO悬浮液,超声处理30 min,即可得到分散良好的HVO/aMWCNTs悬浮液。最后,对该悬浮液进行减压抽滤,即可获得自支撑的HVO/aMWCNTs复合薄膜。作为对照,在不加入aMWCNTs的情况下,采用相同方法制备了HVO薄膜。
1.4 材料表征
采用扫描电子显微镜(SEM,日立SU8010)对MWCNTs、aMWCNTs、HVO、HVO薄膜、HVO/aMWCNTs复合薄膜及VOZn等样品进行形貌表征。采用透射电子显微镜(TEM,日本Hitachi HT7700,200 kV)对HVO进行形貌表征。通过接触角测试仪测量锌箔及VOZn样品与电解液的接触角。采用X射线衍射仪(XRD,布鲁克D8 Advance A25,工作电压为40 kV,电流为40 mA,Cu Kα射线,波长为0.154 06 nm,扫描范围2θ=10°~80°)对MWCNTs、HVO、HVO薄膜和HVO/aMWCNTs复合薄膜进行了晶体结构分析。采用X射线光电子能谱仪(XPS,美国Thermo Fisher ESCALAB Xi+)对HVO、VOZn等样品进行元素价态分析。通过傅里叶变换红外光谱仪(FTIR,FTIR-7600)对样品的分子结构进行表征。
1.5 电池组装和电化学性能测试
CR2032型扣式对称电池的组装:以锌箔或VOZn为电极,2 mol·L-1 ZnSO4水溶液为电解液,玻璃纤维膜为隔膜,组装成Zn||Zn或VOZn||VOZn对称电池。
扣式全电池的组装:以自支撑的HVO/aMWCNTs复合薄膜为正极,锌箔或VOZn-5为负极,2 mol·L-1 Zn(CF3SO3)2水溶液为电解液,玻璃纤维膜为隔膜,组装成Zn||HVO/aMWCNTs或VOZn-5||HVO/aMWCNTs全电池。
软包全电池的组装:以不锈钢为极耳,自支撑HVO/aMWCNTs复合薄膜(3 cm×3 cm)为正极,锌箔或VOZn-5为负极(3.5 cm×3.5 cm),2 mol·L-1Zn(CF3SO3)2水溶液为电解液,玻璃纤维膜(5 cm×5 cm)为隔膜,按照极耳、正极、隔膜、电解液、负极、极耳的顺序叠加组装成电芯,并使用铝塑膜进行真空热封。
电化学性能测试:使用Neware电池测试系统对室温下组装的对称电池及全电池进行倍率、长循环和恒流充放电(GCD)等测试。测试电压区间设置为0.2~1.6 V,根据测试需求选择电流密度(0.5~10.0 A·g-1)。通过电化学工作站CHI-660F进行循环伏安法(CV)测试,电压区间为0.2~1.6 V,扫描速率为1 mV·s-1。通过电化学工作站CHI-660F进行电化学阻抗谱(EIS)测试,频率范围为10 mHz~100 kHz,振幅为5 mV。
2. 结果与讨论
2.1 材料表征
采用锌箔原位自组装法在锌负极表面构建HVO保护层。具体过程如图 1a所示:将锌箔置于均匀分散的HVO悬浮液(图 1b,图中可观察到明显的丁达尔效应)中,静置不同时间。由于HVO表面富含含氧基团,且其电极电势低于锌箔,HVO自发生长于锌箔表面[25]。经去离子水洗涤并干燥后,即得到HVO包覆锌负极(VOZn,图 1g)。通过改变静置时间,可调控保护层的厚度。通过SEM、TEM、XRD和FTIR对样品的形貌与晶体结构进行分析。HVO的SEM图显示其为轻薄的窄片状结构,片层间相互交联形成连续的三维网络(图 1c、1d),说明HVO能够均匀、稳定地分散在水中,这为其在锌箔表面成膜奠定了基础。此外,轻薄的片状结构提供了较大的比表面积,这有利于增加电化学活性位点。TEM表征结果也证实了HVO的轻薄片状结构(图 1e、1f)。
图 1
图 1. (a) VOZn负极原位自组装过程的示意图; (b) HVO悬浮液的光学照片; HVO的(c、d) SEM图和(e、f) TEM图; (g) VOZn-5的光学照片Figure 1. (a) Schematic illustration of the in-situ self-assembly process of VOZn anode; (b) Optical image of HVO suspension; (c, d) SEM and (e, f) TEM images of HVO; (g) Optical image of VOZn-5XRD分析表明,HVO的衍射图与V2O5·1.6H2O的标准卡片高度吻合,且未检测到杂相,证明了HVO的成功制备(图 2a)。此外,通过原位自组装策略,得到了一体化的VOZn负极。VOZn的XRD图中强的特征峰归属于金属锌,15°前出现的弱衍射峰则归属于HVO,表明VOZn复合结构的成功构建。图 2b为HVO和VOZn的FTIR谱图。位于526和766 cm-1处的吸收峰归属于V—O—V键;1 006和1 612 cm-1处的特征峰分别归属于V=O键和结晶水[26-27]。这些特征峰的出现证实了HVO在锌负极表面的成功构建,为观察HVO在锌表面的形貌,对VOZn-5进行了SEM表征(图 2e、2f)。结果显示,HVO均匀分布在金属锌表面,且形貌未发生明显变化。
图 2
为探究VOZn-5制备过程中的化学元素价态变化,对HVO和VOZn-5进行了XPS表征。结果表明,与HVO相比,VOZn-5中V4+信号显著增强,说明组装过程中部分V5+被还原为V4+(图 2c)。此外,VOZn-5的XPS谱图中出现了归属于Zn2p的特征峰(图 2d),表明保护层中存在Zn2+。XPS结果证实,在VOZn-5制备过程中锌金属与HVO之间发生了氧化还原反应。这是由于锌金属的还原电位低于V5+,因此锌能够还原HVO中的V5+。当锌与HVO悬浮液直接接触时,电子流向HVO,同时锌表面离子化生成Zn2+。锌/溶液界面处富集的带正电的Zn2+与溶液中带负电的HVO产生静电相互作用,削弱了HVO间的负电排斥作用,使其无法在溶液中稳定分散,从而在锌表面发生层层自组装,同时部分Zn2+掺杂到HVO中,这与文献报道一致[23]。
HVO具有良好的亲水性,可有效降低电极表面的锌成核能垒,促进锌的均匀沉积与剥离。因此,HVO的引入能显著改善VOZn的亲锌性。为探究复合电极对电解液的浸润性,以2 mol·L-1 ZnSO4为滴定溶液测试了锌箔及VOZn复合电极的接触角(图 3)。结果显示,原始锌箔的电解液接触角为97.5°;随着HVO自组装时间的增加,VOZn复合电极的接触角逐渐减小,表明HVO的引入显著改善了电极表面的电解液浸润性,有利于电解液离子的传输和锌的均匀沉积。
图 3
通过XRD和SEM对HVO/aMWCNTs复合薄膜的结构和形貌进行表征。MWCNTs的XRD图在25.6°处出现特征峰,而HVO/aMWCNTs复合薄膜的XRD图中同时出现了MWCNTs和HVO的特征峰,证明二者成功复合(图 4a)。原始MWCNTs呈连续、光滑的长线状结构且相互缠绕(图 4b),aMWCNTs的直径有所增加,可能是氧化作用所致(图 4c)。HVO薄膜中的HVO纳米片紧密堆叠,形成致密结构(图 4d),不利于电解液浸润,且导电性较差,难以作为理想的水系锌离子电池正极材料,因此,我们引入aMWCNTs作为导电剂。在HVO/aMWCNTs复合薄膜中,aMWCNTs与HVO相互交联形成多孔导电网络,有利于电子和离子的快速传输(图 4e、4f)。
图 4
2.2 对称电池性能
为探究HVO保护层对锌负极的保护作用,将锌箔和VOZn负极分别组装成对称电池(电解液为2 mol·L-1 ZnSO4),并进行电化学性能测试。图 5a为各对称电池在0.5、1.0、3.0、5.0、8.0、10.0 mA·cm-2的电流密度下的倍率性能曲线。Zn||Zn对称电池在97 h后电压骤降,可能是由于锌枝晶生长导致电池短路。相比之下,VOZn||VOZn对称电池在各电流密度下均表现出稳定的充放电曲线。然而,不同VOZn||VOZn对称电池的滞后电压和循环稳定性存在差异,这与HVO保护层的厚度有关。保护层过薄则难以有效抑制枝晶生长,也无法抵抗充放电过程中负极体积变化引起的破损;保护层过厚则会增加电池内阻,不利于电化学反应动力学性能的提升。因此,与基于锌箔、VOZn-3和VOZn-7电极的对称电池相比,VOZn-5||VOZn-5对称电池表现出更低的过电势(图 5b,0.5 mA·cm-2@37 mV,10.0 mA·cm-2@102 mV)和更优异的循环稳定性(图 5c,稳定循环700 h)。
图 5
2.3 全电池性能
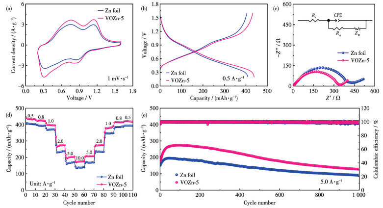
为进一步探究VOZn负极在锌离子电池中的应用潜力,分别以锌箔或VOZn-5为负极,以HVO/ aMWCNTs复合薄膜为正极,组装了Zn||HVO/ aMWCNTs和VOZn-5||HVO/aMWCNTs全电池,并进行CV曲线、倍率性能、长循环性能及EIS测试。如图 6a所示,Zn||HVO/aMWCNTs和VOZn-5||HVO/ aMWCNTs的CV曲线均显示出2对明显的氧化还原峰,分别对应于锌离子的嵌入/脱出以及钒氧化物的氧化还原反应,表明VOZn负极的选用未改变HVO/aMWCNTs的反应机制。此外,与Zn||HVO/ aMWCNTs相比,VOZn-5||HVO/aMWCNTs展现出更高的峰电流和比容量(图 6a、6b),表明其具有更快的电化学反应动力学速率。图 6c展示了2种全电池的Nyquist图及拟合的等效电路图,其中CPE代表双电层电容,ZW代表与Zn2+在电极中的扩散相关的Warburg阻抗。拟合结果表明,在高频区,VOZn-5||HVO/aMWCNTs的内阻(Rs,3.29 Ω)和电荷转移阻抗(Rct,333.8 Ω)均小于Zn||HVO/aMWCNTs(Rs:4.06 Ω,Rct:426.6 Ω),证明HVO保护层有利于离子的快速传输(图 6c)。因此,VOZn-5||HVO/ aMWCNTs表现出更优异的倍率性能:在0.5、0.8、1.0、2.0、5.0、8.0、10.0 A·g-1的电流密度下,放电比容量分别为438.57、424.86、409.31、324.57、215.74、177.48 mAh·g-1;当电流密度恢复至0.5 A·g-1时,放电比容量为420.94 mAh·g-1,显示出良好的可逆性(图 6d)。除了优异的倍率性能外,VOZn-5||HVO/ aMWCNTs还具备出色的长循环稳定性:在5.0 A·g-1的电流密度下循环1 000次后,容量保持率为71%,而Zn||HVO/aMWCNTs的容量保持率仅为60% (图 6e)。
图 6
图 6. Zn||HVO/aMWCNTs和VOZn-5||HVO/aMWCNTs全电池的电化学性能: (a) 扫描速率为1 mV·s-1时的CV曲线; (b) 0.5 A·g-1下的GCD曲线; (c) Nyquist图; (d) 倍率性能; (e) 5.0 A·g-1下的长循环性能Figure 6. Electrochemical performances of the Zn||HVO/aMWCNTs and VOZn-5||HVO/aMWCNTs full cells: (a) CV curves at 1 mV·s-1; (b) GCD plots under 0.5 A·g-1; (c) Nyquist plots; (d) rate performances; (e) long-term cycling performances at 5.0 A·g-1Inset: the corresponding equivalent circuit diagram.
为进一步验证VOZn负极的实际应用性能,制备了VOZn-5||HVO/aMWCNTs软包全电池。如图 7a所示,该软包电池在10.0 A·g-1的电流密度下最大放电比容量为161.99 mAh·g-1,远高于基于锌箔负极的电池(121.11 mAh·g-1),且在1 000次循环中表现出良好的稳定性。此外,演示实验表明,将2个VOZn-5||HVO/aMWCNTs软包电池串联可点亮一个LED(发光二极管)小灯泡(图 7b),证明其具备一定的实际应用潜力。
图 7
3. 结论
综上所述,我们采用锌箔原位自组装法,在锌金属表面原位生长了水合五氧化二钒保护层。保护层厚度可通过组装过程进行调控。原位自组装的方法促进了锌金属与保护层间的紧密接触,有效防止了充放电过程中因负极体积膨胀导致的保护层脱落。此外,水合五氧化二钒不仅可作为物理屏障,减少电解液中自由水与锌负极的直接接触,其良好的亲水性也有助于降低电极表面的锌成核能垒,促进锌的均匀沉积与剥离。得益于上述优势,该复合电极相较于未改性的锌箔电极,表现出更低的过电势和更优异的循环稳定性,这为设计高可逆性锌金属负极提供了一条有效途径。
-
-
[1]
ZHANG L, QIN X H, WANG L, ZHAO Z F, MI L W, LU Q Q. Vanadium oxide cathode with synergistic engineering of calcium-ion intercalation and polyaniline coating for high performance zinc-ion batteries[J]. Front. Chem. Sci. Eng., 2023, 17(9): 1244-1253 doi: 10.1007/s11705-022-2293-5
-
[2]
LIU Z, QIU Z P, LI Z Y, WEI T, FAN Z J, PANG H. MnO-pillared graphene blocks enabling the ultrastable and ultrafast aqueous zinc ion batteries[J]. Sci. China Chem., 2024, 67(9): 2930-2940 doi: 10.1007/s11426-024-1974-1
-
[3]
WEI C L, TAO Y, AN Y L, TIAN Y, ZHANG Y C, FENG J K, QIAN Y T. Recent advances of emerging 2D MXene for stable and dendrite-free metal anodes[J]. Adv. Funct. Mater., 2020, 30(45): 2004613 doi: 10.1002/adfm.202004613
-
[4]
WANG R, ZHU J C, YANG M, NIU Z Q. Simultaneous manipulation of anions and water molecules by lewis acid-base for highly stable Zn anodes[J]. Angew. Chem. ‒Int. Edit., 2025, 64(21): e202501327 doi: 10.1002/anie.202501327
-
[5]
CHEN P, YUAN X H, XIA Y B, ZHANG Y, FU L J, LIU L L, YU N F, HUANG Q H, WANG B, HU X W, WU Y P, VAN REE T. An artificial polyacrylonitrile coating layer confining zinc dendrite growth for highly reversible aqueous zinc-based batteries[J]. Adv. Sci., 2021, 8(11): 2100309 doi: 10.1002/advs.202100309
-
[6]
ZHOU J H, XIE M, WU F, MEI Y, HAO Y T, HUANG R L, WEI G L, LIU A N, LI L, CHEN R J. Ultrathin surface coating of nitrogen-doped graphene enables stable zinc anodes for aqueous zinc-ion batteries[J]. Adv. Mater., 2021, 33(33): 2101649 doi: 10.1002/adma.202101649
-
[7]
HAN D L, WANG Z X, LU H T, LI H, CUI C J, ZHANG Z C, SUN R, GENG C N, LIANG Q H, GUO X X, MO Y B, ZHI X, KANG F Y, WENG Z, YANG Q H. A self-regulated interface toward highly reversible aqueous zinc batteries[J]. Adv. Energy Mater., 2022, 12(9): 2102982 doi: 10.1002/aenm.202102982
-
[8]
NAVEED A, YANG H J, YANG J, NULI Y N, WANG J L. Highly reversible and rechargeable safe Zn batteries based on a triethyl phosphate electrolyte[J]. Angew. Chem. ‒Int. Edit., 2019, 58(9): 2760-2764 doi: 10.1002/anie.201813223
-
[9]
LIU X Y, SUN L Y, ZHAO Z F, LU Q Q. Solvation structure tuning for advanced aqueous zinc-ion batteries[J]. J. Energy Storage, 2024, 89: 111822 doi: 10.1016/j.est.2024.111822
-
[10]
HAN D L, CUI C J, ZHANG K Y, WANG Z X, GAO J C, GUO Y, ZHANG Z C, WU S C, YIN L C, WENG Z, KANG F Y, YANG Q H. A non-flammable hydrous organic electrolyte for sustainable zinc batteries[J]. Nat. Sustain., 2022, 5(3): 205-213
-
[11]
LIU Z, FENG F, FENG W C, WANG G W, QI B, GONG M, ZHANG F, PANG H. Eutectic electrolytes: A new platform for high-safety batteries[J]. Energy Environ. Sci., 2025, 18(8): 3568-3613 doi: 10.1039/D4EE05298F
-
[12]
TIAN H J, FENG G X, WANG Q, LI Z, ZHANG W, LUCERO M, FENG Z X, WANG Z L, ZHANG Y N, ZHEN C, GU M, SHAN X N, YANG Y. Three-dimensional Zn-based alloys for dendrite-free aqueous Zn battery in dual-cation electrolytes[J]. Nat. Commun., 2022, 13(1): 7922 doi: 10.1038/s41467-022-35618-2
-
[13]
ZHENG J X, WU Y C, XIE H X, ZENG Y, LIU W Q, GANDI A N, QI Z B, WANG Z C, LIANG H F. In situ alloying sites anchored on an amorphous aluminum nitride matrix for crystallographic reorientation of zinc deposits[J]. ACS Nano, 2023, 17(1): 337-345 doi: 10.1021/acsnano.2c08196
-
[14]
LI M, HE Q, LI Z, LI Q, ZHANG Y X, MENG J S, LIU X, LI S D, WU B K, CHEN L N, LIU Z A, LUO W, HAN C H, MAI L Q. A novel dendrite-free Mn2+/Zn2+ hybrid battery with 2.3 V voltage window and 11 000-cycle lifespan[J]. Adv. Energy Mater., 2019, 9(29): 1901469 doi: 10.1002/aenm.201901469
-
[15]
ZHANG Y J, WANG G Y, YU F F, XU G, LI Z, ZHU M, YUE Z J, WU M H, LIU H K, DOU S X, WU C. Highly reversible and dendrite-free Zn electrodeposition enabled by a thin metallic interfacial layer in aqueous batteries[J]. Chem. Eng. J., 2021, 416: 128062 doi: 10.1016/j.cej.2020.128062
-
[16]
罗秋洋, 唐晓宁, 夏澍, 刘珺楠, 杨兴富, 雷杰. 基于有机溶剂原位制备的致密疏水铜金属层在保护锌负极中的应用[J]. 无机化学学报, 2024, 40(7): 1243-1253. doi: 10.11862/CJIC.20240110LUO Q Y, TANG X N, XIA S, LIU J N, YANG X F, LEI J. Application of a densely hydrophobic copper metal layer in-situ prepared with organic solvents for protecting zinc anodes[J]. Chinese J. Inorg. Chem., 2024, 40(7): 1243-1253 doi: 10.11862/CJIC.20240110
-
[17]
WU K, YI J, LIU X Y, SUN Y, CUI J, XIE Y H, LIU Y Y, XIA Y Y, ZHANG J J. Regulating Zn deposition via an artificial solid-electrolyte interface with aligned dipoles for long life Zn anode[J]. Nano‒Macro Lett., 2021, 13(1): 79
-
[18]
唐晓宁, 刘珺楠, 杨兴富, 雷杰, 罗秋洋, 夏澍, 薛安. 海藻酸钠-羧甲基纤维素钠凝胶涂层对锌负极稳定性的影响[J]. 无机化学学报, 2024, 40(8): 1452-1460. doi: 10.11862/CJIC.20240191TANG X N, LIU J N, YANG X F, LEI J, LUO Q Y, XIA S, XUE A. Effect of sodium alginate-sodium carboxymethylcellulose gel layer on the stability of Zn anodes[J]. Chinese J. Inorg. Chem., 2024, 40(8): 1452-1460 doi: 10.11862/CJIC.20240191
-
[19]
FENG W C, LI B M, YUAN G Q, LI Y W, ZHANG Y F, DU M, SU Y C, TANG Y J, YUE H T, LI Y X, SHAKOURI M, CHEN H C, LI W T, LIU Z, PANG H. High performance aluminum ion batteries enabled by the coordination between vanadium-based PBAs cathode and aqueous eutectic electrolyte[J]. Adv. Sci., 2025, 12(42): e11274 doi: 10.1002/advs.202511274
-
[20]
ZHAO Z M, ZHAO J W, HU Z L, LI J D, LI J J, ZHANG Y J, WANG C, CUI G L. Long-life and deeply rechargeable aqueous Zn anodes enabled by a multifunctional brightener-inspired interphase[J]. Energy Environ. Sci., 2019, 12(6): 1938-1949 doi: 10.1039/C9EE00596J
-
[21]
WANG R, WU Q F, WU M J, ZHENG J X, CUI J, KANG Q, QI Z B, MA J D, WANG Z C, LIANG H F. Interface engineering of Zn meal anodes using electrochemically inert Al2O3 protective nanocoatings[J]. Nano Res., 2022, 15(8): 7227-7233 doi: 10.1007/s12274-022-4477-1
-
[22]
LIANG P C, YI J, LIU X Y, WU K, WANG Z, CUI J, LIU Y Y, WANG Y G, XIA Y Y, ZHANG J J. Highly reversible Zn anode enabled by controllable formation of nucleation sites for Zn-based batteries[J]. Adv. Funct. Mater., 2020, 30(13): 1908528 doi: 10.1002/adfm.201908528
-
[23]
YANG J Z, WANG S, DU L Y, BI S S, ZHU J C, LIU L L, NIU Z Q. Thermal-cyclized polyacrylonitrile artificial protective layers toward stable zinc anodes for aqueous zinc-based batteries[J]. Adv. Funct. Mater., 2024, 34(21): 2314426 doi: 10.1002/adfm.202314426
-
[24]
LIU M Y, YUAN W T, MA G Q, QIU K Y, NIE X Y, LIU Y C, SHEN S G, ZHANG N. In-situ integration of a hydrophobic and fast-Zn2+-conductive inorganic interphase to stabilize Zn metal anodes[J]. Angew. Chem. ‒Int. Edit., 2023, 62(27): e202304444 doi: 10.1002/anie.202304444
-
[25]
CAO H M, DENG S Z, TIE Z W, TIAN J J, LIU L L, NIU Z Q. Large-area hydrated vanadium oxide/carbon nanotube composite films for high-performance aqueous zinc-ion batteries[J]. Sci. China Chem., 2022, 65(9): 1725-1732 doi: 10.1007/s11426-022-1292-0
-
[26]
ZENG J, ZHANG Z H, GUO X S, LI G C. A conjugated polyaniline and water co-intercalation strategy boosting zinc-ion storage performances for rose-like vanadium oxide architectures[J]. J. Mater. Chem. A, 2019, 7(37): 21079-21084 doi: 10.1039/C9TA08086D
-
[27]
PENG Z, WEI Q L, TAN S S, HE P, LUO W, AN Q Y, MAI L Q. Novel layered iron vanadate cathode for high-capacity aqueous rechargeable zinc batteries[J]. Chem. Commun., 2018, 54(32): 4041-4044 doi: 10.1039/C8CC00987B
-
[1]
-
图 6 Zn||HVO/aMWCNTs和VOZn-5||HVO/aMWCNTs全电池的电化学性能: (a) 扫描速率为1 mV·s-1时的CV曲线; (b) 0.5 A·g-1下的GCD曲线; (c) Nyquist图; (d) 倍率性能; (e) 5.0 A·g-1下的长循环性能
Figure 6 Electrochemical performances of the Zn||HVO/aMWCNTs and VOZn-5||HVO/aMWCNTs full cells: (a) CV curves at 1 mV·s-1; (b) GCD plots under 0.5 A·g-1; (c) Nyquist plots; (d) rate performances; (e) long-term cycling performances at 5.0 A·g-1
Inset: the corresponding equivalent circuit diagram.
-
扫一扫看文章
计量
- PDF下载量: 0
- 文章访问数: 264
- HTML全文浏览量: 24

下载:
下载:
下载: