Citation: Ling WANG, Weipeng YAN, Zhuoyi ZHENG, Sihan ZHU, Mingxian GONG, Xiangyu MA. Fabrication of biochar-supported nano zero-valent iron and its high-efficiency performance for Cr(Ⅵ) removal from wastewater[J]. Chinese Journal of Inorganic Chemistry, 2025, 41(12): 2441-2454. doi: 10.11862/CJIC.20250264
生物炭负载纳米零价铁的制备及其高效去除废水中Cr(Ⅵ)的性能
English
Fabrication of biochar-supported nano zero-valent iron and its high-efficiency performance for Cr(Ⅵ) removal from wastewater
-
Key words:
- biochar
- / nano zero-valent iron
- / Cr(Ⅵ)
- / adsorption mechanism
-
0. 引言
铬(Cr)及其化合物广泛应用于金属电镀、印刷、皮革鞣制、采矿冶金和纺织染料等多个行业,作为重金属元素,Cr在环境中主要以六价铬[Cr(Ⅵ)]和三价铬[Cr(Ⅲ)]两种形态存在。相较于Cr(Ⅲ),Cr(Ⅵ)具有更高的迁移性和更高的生物毒性,对生态环境和公共健康构成严重危害[1]。而且,由于Cr(Ⅵ)具有良好的水溶性,Cr(Ⅵ)化合物可通过工业废水等水体在环境中迁移,并因难以自然降解而在食物链中逐级富集,最终进入人体、动物及植物体内,引发严重健康风险[2-3]。因此,迫切需要寻找一种简单有效的方法来解决Cr(Ⅵ)的污染问题。
目前,针对Cr(Ⅵ)的去除已开发出多种技术,包括吸附、膜过滤、化学还原、光催化和离子交换等[4-8]。其中,吸附技术因其成本低、操作简便、去除效率高且具有良好环境相容性而备受关注。常用的吸附剂包括金属有机框架(MOFs)[9]、黏土矿物[10]和活性炭[11]。然而,这些吸附剂在实际应用中仍面临诸多挑战,如合成工艺复杂、成本较高及再生效率低等,从而限制了其在大规模水处理中的推广应用[12]。
纳米零价铁(nano zero-valent iron,nZVI)因其优异的还原活性、高比表面积及便于磁分离回收等特性,在Cr(Ⅵ)去除领域得到了广泛应用[1, 13-14]。然而,nZVI在使用过程中易发生表面氧化,生成钝化层,从而阻碍铁原子向污染物转移电子;同时,由于其高表面能及磁性特征,颗粒间易发生团聚,导致比表面积显著降低、可利用的活性位点减少,最终削弱吸附与还原效率[15]。为此,将nZVI负载于具有优良导电性和大比表面积的载体材料上,被认为是提升其抗氧化性与分散性,进而增强反应活性及Cr(Ⅵ)还原效率的有效策略[16-17]。近年来,为改善nZVI易团聚、易氧化等局限性,国内外学者提出了多种改性方法,包括载体负载、贵金属掺杂及表面化学修饰等[18-20]。在众多载体材料中,碳基材料具有环境友好性、结构可调性及优异的电子传导性能,在环境修复领域展现出显著优势[21]。其中,生物炭(biochar,BC)以其原料来源广泛、成本低廉、表面官能团丰富以及发达的孔隙结构和较大比表面积,成为负载nZVI的理想载体材料,受到研究者的广泛关注[22-25]。
我们以天然多孔的废弃丝瓜络为前驱体,经高温热解制备丝瓜络生物炭(LBC),通过KOH活化和原位还原法构建了活性LBC(ALBC)@nZVI复合材料。通过系统实验,探究了pH、吸附剂用量以及时间对ALBC@nZVI复合材料去除Cr(Ⅵ)效率的影响,并结合多种表征与分析方法,揭示了其基于Cr(Ⅵ)的吸附-还原协同去除机制。与已有研究相比,该材料在以下方面具有显著优势:(1) 吸附容量高;(2) ALBC的多孔结构有效抑制了nZVI团聚和氧化,提升了材料的稳定性;(3) 兼具吸附与还原协同作用,且可通过磁性分离实现快速回收。本研究为开发高效、稳定的Cr(Ⅵ)吸附材料提供了全新思路和技术参考。
1. 实验部分
1.1 试剂及仪器
实验中主要使用的试剂有重铬酸钾(K2Cr2O7)、四水合氯化亚铁(FeCl2·4H2O)、硼氢化钠(NaBH4)、氢氧化钾(KOH)、二苯碳酰二肼(C13H14N4O)、丙酮(CH3COCH3)和无水乙醇(C2H5OH)。所有试剂均为分析纯,均购自国药集团化学试剂有限公司。
1.2 ALBC@nZVI的制备
采用废弃丝瓜络为生物炭前驱体,首先用去离子水清洗丝瓜络并干燥。随后将干燥后的样品粉碎成细粉,过100目筛。将预处理后的丝瓜络粉置于管式炉中,在Ar气氛下600 ℃热解2 h,得到LBC。将LBC与KOH按质量比1∶1均匀混合,然后放入管式炉中,在Ar氛围下加热至800 ℃并保温2 h。产物用0.1 mol·L-1盐酸清洗以去除残留的KOH,用去离子水洗涤至中性后真空干燥,得到ALBC。
采用原位液相还原法制备ALBC@nZVI:将3.2 g FeCl2·4H2O溶于100 mL去离子水中,溶液采用Ar气预吹扫1 h以去除水中的溶解氧。然后将1 g ALBC浸入铁盐溶液(100 mL)中,在持续Ar气吹扫下磁力搅拌2 h,使Fe(Ⅱ)充分吸附、扩散到生物炭孔隙及表面。配制0.32 mol·L-1的NaBH4水溶液,此溶液也需脱氧并在冰水浴中配制以减缓NaBH4水解。将NaBH4溶液以1 mL·min-1的滴速缓慢滴入负载了Fe(Ⅱ)的生物炭悬浮液中,使得Fe(Ⅱ)还原为Fe0,从而原位制备得到ALBC@nZVI。整个反应过程在持续通入Ar的条件下进行,反应结束后,继续搅拌1 h,确保反应完全。将制备得到的ALBC@nZVI使用磁分离,并依次用脱氧去离子水和无水乙醇分别洗涤2次后置于真空干燥器中干燥,随后保存在真空密封袋中备用。
1.3 Cr(Ⅵ)吸附实验
称取2.829 g重铬酸钾,将其溶解于1 000 mL去离子水中,配制成质量浓度为1 000 mg·L-1的标准溶液。通过稀释Cr(Ⅵ)标准溶液,配制不同质量浓度的Cr(Ⅵ)溶液,并绘制校准曲线(R2 > 0.999)。采用紫外可见分光光度法在540 nm波长下测定Cr(Ⅵ)的质量浓度,使用二苯碳酰二肼作为显色剂。除非另有说明,吸附实验在150 mL锥形瓶中进行,内含40 mL的Cr(Ⅵ)溶液(初始质量浓度为100 mg·L-1)和吸附剂(投加量为1.00 g·L-1)。将锥形瓶置于恒温摇床中以160 r·min-1的速度振荡至预设时间(通常为300 min,以确保达到吸附平衡)。在考察某一特定因素对吸附性能的影响时,除非该因素为变量,其余实验条件均保持上述基准条件不变。在吸附过程中,每隔一段时间,取适量悬浮液,离心后取上清液进行检测,以评估Cr(Ⅵ)的吸附能力和去除效率。所有实验均进行3次平行实验,以确保结果的可靠性。
平衡状态下的吸附容量(qe,mg·g-1)和去除效率(R,%)分别通过式1和2进行计算。
$ q_{\mathrm{e}}=\frac{\left(\rho_0-\rho_t\right) V}{m} $ (1) $ R=\frac{\rho_0-\rho_{\mathrm{e}}}{\rho_0} $ (2) 其中,ρ0为初始质量浓度(mg·L-1);ρe为吸附平衡时的质量浓度(mg·L-1);V为溶液总体积(L);m为吸附剂用量(g)。
我们系统研究了多种参数对Cr(Ⅵ)去除效率的影响,包括溶液初始pH(2~8),吸附剂用量(0.25~2.00 g·L-1)和吸附时间(0~360 min)。
1.4 吸附等温线
吸附等温线采用Langmuir(式3)和Freundlich(式4)等温线模型进行拟合。
$ q_{\mathrm{e}}=\frac{K_{\mathrm{L}} q_{\max } \rho_{\mathrm{e}}}{1+K_{\mathrm{L}} \rho_{\mathrm{e}}} $ (3) $ q_{\mathrm{e}}=K_{\mathrm{F}} \rho_{\mathrm{e}}^{\frac{1}{n}} $ (4) 其中,qmax表示Cr(Ⅵ)的理论最大吸附量(mg·g-1);KL和KF分别对应Langmuir常数(L·mg-1)和Freundlich常数(mg1-1/n·L1/n·g-1);n为无量纲参数,反映吸附强度。
1.5 吸附动力学
分别利用准一级(式5)和准二级动力学模型(式6)进行拟合分析。
$ q_t=q_{\mathrm{e}}\left(1-\mathrm{e}^{-k_1 t}\right) $ (5) $ q_t=\frac{q_{\mathrm{e}}^2 k_2 t}{1+q_{\mathrm{e}} k_2 t} $ (6) 其中,qt为t时刻的吸附量(mg·g-1);t为吸附时间(min);k1为准一级动力学模型速率常数(min-1);k2为准二级动力学模型速率常数(g·mg-1·min-1)。
采用颗粒内扩散模型(式7)分析Cr(Ⅵ)在生物炭上的扩散特性。
$ q_t=k_{\mathrm{id}} t^{0.5}+C $ (7) 其中,kid为颗粒内扩散速率常数(mg·g-1·min-0.5),C为模型常数。
1.6 吸附剂再生性能
选用0.1 mol·L-1的NaOH溶液作为脱附剂,针对吸附Cr(Ⅵ)达到饱和状态的吸附剂开展再生与循环实验。将该吸附剂放置于25 ℃的恒温摇床中振荡1 h以实现脱附,随后用去离子水反复冲洗,经真空干燥处理后进行循环利用。
1.7 ALBC@nZVI的表征
采用聚焦离子束扫描电子显微镜(FIBSEM,LYRA3 XMH)对样品的表面形貌进行观察,并利用其自带的能谱仪(EDS)确定元素的分布情况。借助X射线衍射仪(XRD,Bruker D8 Advance),使用单色Cu Kα辐射(λ=0.154 1 nm,36 kV,20 mA)在2θ=20°~80°对晶体结构进行分析。通过Brunauer-Emmett-Teller(BET,Quantachrome Nova 4000e)方法测量样品的比表面积和孔径分布。利用傅里叶变换红外光谱仪(FTIR,Bruker TENSORII)分析表面官能团。采用拉曼光谱(Raman,HORIBA HR800)表征样品的石墨化程度与缺陷含量。通过振动样品磁强计(VSM,Quantum Design Verslab)检测材料的饱和磁化强度。运用X射线光电子能谱仪(XPS,Thermo Scientific K-Alpha)研究材料表面的元素价态。使用紫外可见分光光度计(UV-Vis,Techcomp UV-2500)测定溶液中的Cr(Ⅵ)的质量浓度。
2. 结果与讨论
2.1 形貌结构表征
图 1展示了LBC、ALBC和ALBC@nZVI的SEM图。由图 1a和1b可见,LBC表面较为平滑;而通过KOH活化后,ALBC表面形成了发达的多孔结构且粗糙度显著增加,使其成为理想的载体材料。图 1c显示,在ALBC表面负载nZVI后,材料表面呈现出片状的Fe纳米晶粒。EDS元素分布情况(图 1d)表明,ALBC@nZVI主要由C、Fe和O组成,进一步证实了nZVI的成功负载。其中Fe元素在材料表面呈均匀分散状态,未出现明显团聚现象。由于nZVI颗粒间存在较强的磁偶极相互作用,其在无载体条件下极易发生团聚,而ALBC的粗糙表面及多孔结构可提供丰富的锚定位点,有效抑制了nZVI颗粒的聚集。此外,ALBC的强还原性和限域作用有助于减缓nZVI的表面氧化,从而提升其反应活性与稳定性。
图 1
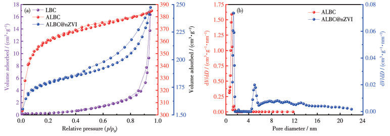
图 1. (a) LBC、(b) ALBC和(c) ALBC@nZVI的SEM图; (d) ALBC@nZVI的元素分布图Figure 1. SEM images of (a) LBC, (b) ALBC, and (c) ALBC@nZVI; (d) Elemental mapping images of ALBC@nZVI通过N2吸附-脱附实验进一步研究了LBC、ALBC和ALBC@nZVI的孔隙特征(图 2)。从图 2a中可以看出,LBC的曲线表现为Ⅲ型等温线,表明其几乎不具备孔隙结构;经KOH活化后,ALBC呈现明显的I型等温线,在低相对压力(p/p0 < 0.1)时吸附量迅速上升,随后趋于平缓,说明其具有发达的微孔结构。经过负载nZVI后,ALBC@nZVI的等温线转变为Ⅳ型等温线,且伴随H4型回滞环,这表明ALBC@nZVI由微孔和介孔组成。图 2b为ALBC和ALBC@nZVI的孔径分布曲线,二者的主要孔径均集中在2 nm以下,其中ALBC以微孔为主;而ALBC@nZVI在4~6 nm范围内出现新的孔径分布,进一步证实了其微孔-介孔共存的结构特征。如表 1所示,经KOH活化后,ALBC的比表面积显著增加,达到1 421 m2·g-1,是LBC(1 m2·g-1)的1 400倍,表明KOH活化作用不仅有效增加了比表面积,还促进了微孔的形成,从而增加活性吸附位点并提供丰富的扩散通道,有利于Cr(Ⅵ)的去除。该活化效应通常归因于KOH与碳骨架的化学反应,在高温下生成的K2CO3、K、CO和CO2会促使新孔生成及原有孔道扩展[26]。经nZVI负载后,比表面积下降为702 m2·g-1,这是由于nZVI颗粒占据了部分ALBC的孔隙结构,致使比表面积和密度泛函理论(DFT)孔体积均降低。然而,ALBC@nZVI中介孔比例的增加,不仅保留了微孔对Cr(Ⅵ)的强吸附能力,还显著提升了传质效率与nZVI的反应活性;同时,nZVI的化学还原作用在去除过程中发挥关键作用,从而进一步增强了ALBC@nZVI对Cr(Ⅵ)的去除性能。
图 2
表 1
Sample SBET /(m2·g-1) Average pore diameter /nm DFT pore volume /(cm3·g-1) ALBC 1 421 1.675 0.595 3 ALBC@nZVI 702 2.180 0.382 6 图 3a是ALBC和ALBC@nZVI的XRD图。ALBC在2θ为20°~30°和42.8°处出现的衍射峰分别对应无定形炭的(002)和(100)晶面。其中,(002)晶面衍射峰的明显宽化反映了ALBC多孔碳结构的无序性。相比之下,在ALBC@nZVI复合材料中未观察到明显的Fe特征衍射峰(2θ=44.6°),这可能是nZVI的粒径较小,其衍射峰因晶粒尺寸效应而显著宽化,同时与无定形炭的(100)晶面衍射峰发生部分重叠所致。
图 3
图 3b展示了ALBC和ALBC@nZVI的FTIR谱图。结果显示,3 735 cm-1处的尖锐吸收峰对应游离羟基(O—H)的伸缩振动,3 427 cm-1处的宽吸收带和881 cm-1处的特征峰则分别归属于氢键合羟基(O—H)的伸缩振动和弯曲振动[27]。2 850和2 927 cm-1处的吸收峰分别源于脂肪族C—H键的对称和不对称伸缩振动[28]。1 620 cm-1处的显著峰与羰基(C=O)伸缩振动相关[29],1 393 cm-1处的特征峰可指认为羧酸根(COO-)的对称伸缩振动[30],1 059 cm-1处的特征吸收则归因于C—O键的伸缩振动[31]。值得注意的是,ALBC@nZVI在593 cm-1处出现的新特征峰证实了Fe—O键的形成[32],这为nZVI的成功负载提供了直接证据。
对比分析表明,与原始ALBC相比,ALBC@nZVI在3 427 cm-1(O—H)和1 620 cm-1(C=O)处的吸收峰强度显著增强,表明在nZVI负载过程中产生了更多的含氧官能团。尽管2种材料具有相似的光谱特征,但ALBC@nZVI表现出更显著的活性官能团特征。材料表面丰富的官能团(如—OH、C—H、C=O和—COOH)在Cr(Ⅵ)去除过程中可发挥双重作用:(1) 通过静电作用和表面配合提供活性吸附位点;(2) 作为电子供体促进Cr(Ⅵ)向低毒性Cr(Ⅲ)的还原转化[33]。
Raman光谱揭示了ALBC和ALBC@nZVI在石墨化程度和缺陷含量方面的显著差异(图 3c)。在1 343 cm-1处出现的D峰源于碳材料中的sp3杂化缺陷和无序结构,而1 588 cm-1处的G峰则对应于sp2杂化石墨晶格的有序振动模式,D峰与G峰的强度比值(ID/IG)能够表征碳质材料中的缺陷程度[34]。ALBC和ALBC@nZVI的ID/IG值分别为1.085 8和0.981 0。这表明经KOH活化后生物炭晶格存在较高缺陷密度,呈现无序特征。而经过nZVI负载后,ID/IG显著降低,这可能源于nZVI催化无定形炭向石墨微晶转化,从而提升了材料的有序度。
采用VSM在室温条件下对ALBC@nZVI的磁性能进行了表征(图 3d)。结果表明,在外加磁场强度为30 kOe时,材料的比饱和磁化强度(σs′)达到23.4 emu·g-1,显著低于块体铁材料(约218.0 emu·g-1)[35]。这种差异主要归因于纳米材料特有的表面效应,随着粒径减小,材料比表面积急剧增大,表面自旋无序化程度增强,从而导致σs′降低。值得注意的是,ALBC@nZVI的剩余磁化强度和矫顽力均趋近于零,表明其在室温下呈现典型的超顺磁性行为。这一特性使ALBC@nZVI在外加磁场作用下可实现快速磁分离,显著提升实际水处理过程中固液分离的效率与便捷性。
2.2 初始pH与吸附剂投加量对Cr(Ⅵ)吸附性能的影响
Cr(Ⅵ)的吸附行为通常受多种因素影响,为探究初始pH的影响规律,在固定其他基准条件(吸附剂投加量:1.00 g·L-1;反应时间:360 min)下,系统考察了溶液初始pH(2~8)对ALBC@nZVI吸附Cr(Ⅵ)性能的影响。如图 4a所示,在pH=2~8时,随着Cr(Ⅵ)溶液酸性逐渐减弱,ALBC@nZVI复合材料对Cr(Ⅵ)的吸附容量从95.27 mg·g-1降至71.92 mg·g-1,去除效率从95%降至72%。这种变化与Cr(Ⅵ)在不同pH条件下的存在形态密切相关。当pH=1~6时,Cr(Ⅵ)主要以HCrO4-形式存在;当pH升至8时,HCrO4-逐渐转换为CrO42-[36]。当pH较低时,由于高浓度H+对ALBC@nZVI表面进行质子化作用,使其表面带正电荷,从而通过静电吸引作用有效结合HCrO4-。此外,较高的H+浓度可促进nZVI或Fe(Ⅱ)离子对Cr(Ⅵ)的还原反应,还可以有效消除吸附剂表面形成的Fe(Ⅱ)/Fe(Ⅲ)氧化物[37]。相反,在碱性条件下,Fe(Ⅱ)/Fe(Ⅲ)离子易在ALBC@nZVI表面形成氢氧化物钝化膜,阻碍ALBC@nZVI与Cr(Ⅵ)的进一步反应。基于上述结果,后续实验选定pH=2作为最佳反应条件。
图 4
在确定了最佳pH并固定其他基准条件(反应时间:360 min;初始Cr(Ⅵ)质量浓度:100 mg·L-1)的前提下,进一步考察了吸附剂投加量(0.25~2.00 g·L-1)对Cr(Ⅵ)去除效果的影响。如图 4b所示,随着吸附剂投加量增加,其吸附容量呈阶梯式下降,而吸附效率则逐步提高。这是因为当吸附剂添加量较低时,每个活性位点都能有效地结合Cr(Ⅵ)离子,利用率较高,因此吸附容量很高。随着投加量的增加,ALBC@nZVI颗粒间易发生团聚,导致部分活性位点被屏蔽或重叠,降低了活性位点的利用率,导致吸附容量降低。投加量增加也意味着提供了更多总活性位点(尽管单个位点效率降低),可以结合更多的Cr(Ⅵ)离子,显著降低溶液中残余Cr(Ⅵ)质量浓度(ρe),使去除效率持续上升。综合考虑去除效率与成本因素,后续实验选定1.00 g·L-1为最优投加量,此条件下Cr(Ⅵ)去除效率可达95%。
2.3 吸附动力学的影响
图 5a显示吸附时间对ALBC和ALBC@nZVI吸附Cr(Ⅵ)的影响。如图所示,随着时间的增加,ALBC对Cr(Ⅵ)的吸附过程分为3个阶段:在0~10 min内,由于生物炭表面活性位点完全暴露,Cr(Ⅵ)的吸附效率显著提升;在10~20 min内,随着活性位点被占据,吸附效率缓慢上升;随后,吸附过程逐渐趋于稳定,并与未覆盖位点达到平衡。相比之下,ALBC@nZVI在前2 min内即表现出快速的吸附行为,在30 min时吸附量为94.89 mg·g-1,达到平衡吸附容量(95.27 mg·g-1)的99.6%,这主要归因于nZVI的高还原性与ALBC所提供的丰富吸附位点之间的协同效应。随着反应继续进行,吸附在360 min时达到平衡,此时吸附容量为95.27 mg·g-1。值得注意的是,本研究并未出现文献[38]所报道的情况,即nZVI表面因长时间暴露于水中而逐渐氧化,形成钝化层,进而导致吸附容量降低的现象。这表明ALBC@nZVI复合材料具有优异的稳定性。ALBC为nZVI颗粒提供了良好的保护作用,能够有效阻隔nZVI与水、氧气的直接接触,进而抑制其表面钝化层的形成。
图 5
图 5. (a) 时间对Cr(Ⅵ)吸附的影响; Cr(Ⅵ)在(b) ALBC和(c) ALBC@nZVI上的吸附动力学; (d) ALBC和ALBC@nZVI的颗粒内扩散动力学模型图Initial Cr(Ⅵ) solution: 40 mL, 100 mg·L-1; pH=2; adsorbent dosage: 0.04 g; T=298 K.
Figure 5. Effect of (a) time on the adsorption of Cr(Ⅵ); Adsorption kinetics of Cr(Ⅵ) on (b) ALBC and (c) ALBC@nZVI; (d) Intraparticle diffusion kinetics model diagrams of ALBC and ALBC@nZVI为进一步探讨ALBC和ALBC@nZVI对Cr(Ⅵ)的去除机理,我们进行了动力学吸附实验。图 5b、5c及表 2给出了准一级与准二级动力学模型的拟合结果。与准一级模型相比,准二级模型的拟合曲线与实验数据吻合度更高,且由该模型计算得到的吸附平衡时的理论吸附容量qcal(ALBC:93.35 mg·g-1,ALBC@nZVI:96.15 mg·g-1)与实际实验得到的吸附容量qe(ALBC:94.05 mg·g-1,ALBC@nZVI:95.27 mg·g-1)更接近,这表明2种材料的吸附过程主要通过化学吸附实现,吸附过程涉及化学键形成与电子转移。
表 2
表 2 ALBC和ALBC@nZVI吸附Cr(Ⅵ)的准一级和准二级动力学参数Table 2. Pseudo-first-order and pseudo-second-order kinetic parameters on the adsorption of Cr(Ⅵ) on ALBC and ALBC@nZVIAdsorbent Pseudo-first-order Pseudo-second-order qcal /(mg·g-1) k1 /min-1 R2 qcal /(mg·g-1) k2 /(g·mg-1·min-1) R2 ALBC 87.79 0.106 7 0.869 2 93.35 0.006 1 0.999 6 ALBC@nZVI 93.15 0.108 5 0.985 4 96.15 0.017 6 0.999 9 基于颗粒内扩散模型分析(图 5d、表 3),ALBC@nZVI对Cr(Ⅵ)的吸附动力学过程可明确划分为3个特征阶段:表面扩散阶段、颗粒内扩散阶段和吸附平衡阶段。在初始表面扩散阶段,qt随t0.5的变化呈现显著线性关系,其较高的扩散速率常数表明该过程主要受溶液与吸附剂外表面间的传质控制[35-36]。当进入颗粒内扩散阶段后,由于表面活性位点趋于饱和且溶液浓度梯度减小,扩散阻力显著增加,导致扩散速率常数显著下降,此时吸附过程转变为由外扩散与颗粒内扩散协同控制的混合机制[39-40]。值得注意的是,颗粒内扩散阶段拟合线未通过原点(截距C≠0),这一特征参数证实颗粒内扩散是该阶段的速率控制步骤(RDS)[41]。在平衡阶段,曲线斜率接近零(ALBC的kid=0.23 mg·g-1·min-0.5,ALBC@nZVI的kid=0.04 mg·g-1·min-0.5),表明吸附-脱附达到动态平衡。边界层分析显示,颗粒内扩散阶段的C值较表面扩散阶段明显提升,这一结果进一步验证了颗粒内扩散在整体吸附动力学中的主导作用。
表 3
表 3 ALBC和ALBC@nZVI吸附Cr(Ⅵ)的颗粒内扩散模型拟合结果Table 3. Fitting results of intraparticle diffusion model of Cr(Ⅵ) on ALBC and ALBC@nZVIAdsorbent First stage Second stage Third stage kid /(mg·g-1·min-0.5) C R2 kid /(mg·g-1·min-0.5) C R2 kid /(mg·g-1·min-0.5) C R2 ALBC 18.05 26.98 0.999 4 6.68 54.22 0.935 2 0.23 89.14 0.838 9 ALBC@nZVI 23.78 34.91 0.941 9 2.12 83.91 0.867 0 0.04 94.56 0.834 2 2.4 吸附等温线
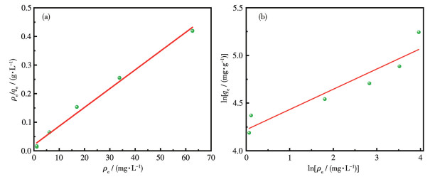
Langmuir和Freundlich吸附等温线模型广泛用于研究吸附行为和界面相互作用。如图 6所示,我们采用吸附等温线模型对实验数据进行拟合,拟合结果见表 4。
图 6
表 4
表 4 ALBC@nZVI吸附Cr(Ⅵ)的Langmuir和Freundlich模型Table 4. Langmuir and Freundlich models on the adsorption of Cr(Ⅵ) on ALBC@nZVIAdsorbent Langmuir Freundlich qmax /(mg·g-1) KL /(L·mg-1) R2 n KF /(mg1-1/n·L1/n·g-1) R2 ALBC@nZVI 151.51 0.318 8 0.991 3 6.297 2 74.31 0.895 4 对比R2值可知,Langmuir模型对ALBC@nZVI吸附Cr(Ⅵ)的拟合效果优于Freundlich模型,表明该吸附过程属于单分子层吸附。根据Langmuir模型的数据拟合结果,ALBC@nZVI的理论最大吸附容量qmax(151.51 mg·g-1)与实测值(149.40 mg·g-1)吻合良好。与文献中提及[32, 37-38, 42-45]的其他nZVI复合碳材料的吸附性能相比(表 5),ALBC@nZVI对Cr(Ⅵ)展现出优异的吸附能力。这表明以丝瓜络为碳源,通过KOH活化法和原位制备nZVI所得的复合材料在去除Cr(Ⅵ)污染物方面具有良好的应用前景。
表 5
表 5 不同吸附剂对Cr(Ⅵ)吸附能力的比较Table 5. Comparison of the adsorption capacities of various adsorbents for Cr(Ⅵ)Adsorbent T /K Dosage /(g·L-1) ρ0 /(mg·L-1) qe /(mg·g-1) Ref. S-nZVI@PBC 298 0.5 20 44.3 [32] N-BC@nZVI 298 0.5 40 94.3 [37] CSM-nZVI@FBC 298 0.5 100 131.7 [38] BC@nZVI 303 2 100 18.9 [42] nZVI/graphene 298 1 75 46.3 [43] rGO/nZVI 298 0.5 10 94.4 [44] nZVI/GNS 298 1 25 24.6 [45] ALBC@nZVI 298 0.50 100 132.4 This work ALBC@nZVI 298 1.00 100 95.27 This work 2.5 吸附剂再生性能
图 7显示了吸附饱和的ALBC@nZVI在NaOH溶液中的再生效果。经1次再生循环后,该材料对Cr(Ⅵ)的吸附容量为91.03 mg·g-1,表明NaOH溶液可有效脱附ALBC@nZVI所吸附的Cr(Ⅵ)。随着再生次数增加,吸附效果逐渐下降,经历3次循环后吸附容量降至72.90 mg·g-1。吸附性能的衰减可能与Cr(Ⅵ)脱附不彻底、nZVI逐渐消耗以及其部分氧化有关,这些因素共同导致了Cr(Ⅵ)吸附容量的降低。
图 7
2.6 吸附机制
为了探究ALBC@nZVI对Cr(Ⅵ)的吸附机制,采用XPS对ALBC@nZVI吸附前后的表面元素价态进行了表征,结果如图 8所示。从图 8a可以看出,吸附前的XPS全谱图显示出了C、O、Fe的存在,证实nZVI已成功负载于ALBC表面。而吸附后的XPS全谱图出现了Cr元素,证实了Cr被有效吸附在了ALBC@nZVI表面。同时,C元素峰强度的明显减弱说明材料表面含碳官能团在Cr(Ⅵ)去除过程中参与了还原反应[46]。
图 8
图 8b是Cr2p的高分辨XPS谱图,由图可知,吸附后在576.8和586.7 eV处出现2个强峰,均对应Cr(Ⅲ),而在579.0 eV处出现1个弱峰,对应Cr(Ⅵ)[47]。Cr(Ⅵ)峰面积占比为15.10%,说明材料表面大部分的Cr(Ⅵ)已被还原为毒性较低的Cr(Ⅲ)(占比84.90%),仅残留微量的Cr(Ⅵ)。Fe2p的高分辨XPS谱图如图 8c所示。结果表明,吸附后Fe(Ⅱ)(709.5 eV)和Fe0(719.6 eV)的峰面积均减小,而Fe(Ⅲ)(713.5和724.7 eV)的峰面积增大,说明Fe(Ⅱ)和Fe0均参与了Cr(Ⅵ)的氧化还原反应,并生成了Fe(Ⅲ)和Cr(Ⅲ)。
ALBC@nZVI吸附Cr(Ⅵ)前后的C1s XPS谱图如图 8d所示,位于284.3、286.0和288.6 eV处出现的峰分别对应C—C/H、C—O和O—C=O。结果表明,吸附后C—O和O—C=O的含量均有所增加,由此可以推断,ALBC@nZVI中的C—C/H官能团参与了Cr(Ⅵ)还原为Cr(Ⅲ)的过程,并被氧化生成含氧官能团(C—O和O—C=O)。含氧官能团的增加可提升材料表面电子传导能力,促进nZVI(Fe0)或Fe(Ⅱ)向Cr(Ⅵ)的电子转移。而生成的O—C=O基通过去质子化形成—COO-,可与还原产物Cr(Ⅲ)形成稳定配合物,实现Cr(Ⅲ)的固定化,抑制其二次释放。
吸附Cr(Ⅵ)前后的O1s谱图如8e所示,吸附前在529.8和531.2 eV处分别出现了Fe—O和—OH基团,吸附后Fe—O含量增加,—OH含量减少。这再一次证实了在Cr(Ⅵ)还原过程中nZVI和Fe(Ⅱ)被氧化并形成了铁氧化物。—OH峰的衰减表明表面羟基作为电子供体能够还原Cr(Ⅵ)而被消耗[48]。另外,吸附Cr(Ⅵ)后,在532.0 eV处出现了1个新峰对应C=O,这表明—OH将Cr(Ⅵ)还原之后被氧化成羰基C=O。
综上所述,ALBC@nZVI对Cr(Ⅵ)的去除过程是由多维机制(如静电吸引、氧化还原反应和表面配合-共沉淀)协同驱动的。首先,ALBC@nZVI中存在大量活性基团(如C—C/H、—COOH和—OH等),这些基团通过静电作用与带负电荷的HCrO4-(在酸性条件下)相结合,使其在ALBC@nZVI表面富集,并参与一定程度Cr(Ⅵ)还原为Cr(Ⅲ)的氧化还原反应。其次,nZVI、Fe(Ⅱ)与HCrO4-发生氧化还原反应(为主要机制),生成Fe(Ⅲ)和Cr(Ⅲ)。最后,还原过程产生的Cr(Ⅲ)与材料表面存在的官能团形成稳定的配合物,并沉淀于材料表面,实现了Cr的固定化,可能的吸附机理如图 9所示。
图 9
3. 结论
以丝瓜络为碳源,通过KOH活化和原位还原法成功制备了ALBC@nZVI复合材料。结果表明,ALBC具有高比表面积(1 421 m2·g-1)和丰富的微/介孔结构,nZVI以纳米颗粒形式均匀分散于ALBC表面,且其氧化稳定性显著提升。ALBC@nZVI在酸性条件(pH=2)下对Cr(Ⅵ)的吸附容量达95.27 mg·g-1,优于多数文献报道的碳基材料。吸附行为符合Langmuir模型和准二级动力学模型(R2 > 0.99),表明其为单层化学吸附主导的过程。吸附饱和的ALBC@nZVI在NaOH溶液中的再生效果较为理想,经过3次再生后,其对Cr(Ⅵ)依然具备良好的吸附效果。Cr(Ⅵ)的去除通过“吸附-还原-固定”三步实现:(1) ALBC的孔隙和官能团(如—COOH、—OH)静电吸附HCrO4-;(2) nZVI和Fe(Ⅱ)以及多孔炭表面官能团(如C—C/H和—OH)将Cr(Ⅵ)还原为低毒性的Cr(Ⅲ);(3) Cr(Ⅲ)与生物炭表面的含氧基团形成稳定配合物沉淀。ALBC@nZVI兼具高吸附容量、快速初始吸附速率(30 min内可达平衡容量的99.6%)和良好的磁性分离性能。该研究为“以废治废”策略提供了理论支撑,有助于推动生物炭在重金属污染废水处理中的实际应用。
-
-
[1]
FANG Y, WU X G, DAI M, LOPEZ-VALDIVIESO A, RAZA S, ALI I, PENG C S, LI J Y, NAZ I. The sequestration of aqueous Cr(Ⅵ) by zero valent iron-based materials: From synthesis to practical application[J]. J. Clean Prod., 2021, 312: 127678. doi: 10.1016/j.jclepro.2021.127678
-
[2]
BASU A, JOHNSON T M. Determination of hexavalent chromium reduction using Cr stable isotopes: Isotopic fractionation factors for permeable reactive barrier materials[J]. Environ. Sci. Technol., 2012, 46(10): 5353-5360. doi: 10.1021/es204086y
-
[3]
PRADHAN D, SUKLA L B, SAWYER M, RAHMAN P K S M. Recent bioreduction of hexavalent chromium in wastewater treatment: A review[J]. J. Ind. Eng. Chem., 2017, 55: 1-20. doi: 10.1016/j.jiec.2017.06.040
-
[4]
XIE Y Q, LIN J, LIANG J, LI M H, FU Y W, WANG H T, TU S, LI J. Hypercrosslinked mesoporous poly (ionic liquid)s with high density of ion pairs: Efficient adsorbents for Cr(Ⅵ) removal via ion-exchange[J]. Chem. Eng. J., 2019, 378: 122107. doi: 10.1016/j.cej.2019.122107
-
[5]
YIN H S, GUO Q, LEI C, CHEN W Q, HUANG B B. Electrochemical-driven carbocatalysis as highly efficient advanced oxidation processes for simultaneous removal of humic acid and Cr(Ⅵ)[J]. Chem. Eng. J., 2020, 396: 125156. doi: 10.1016/j.cej.2020.125156
-
[6]
YUAN G Q, LI F L, LI K Z, LIU J, LI J Y, ZHANG S W, JIA Q L, ZHANG H J. Research progress on photocatalytic reduction of Cr(Ⅵ) in polluted water[J]. Bull. Chem. Soc. Jpn., 2021, 94(4): 1142-1155. doi: 10.1246/bcsj.20200317
-
[7]
LIU K Y, ZHAO D Y, HU Z F, XIAO Y, HE C, JIANG F, ZHAO N, ZHAO C F, ZHANG W X, QIU R L. The adsorption and reduction of anionic Cr(Ⅵ) in groundwater by novel iron carbide loaded on N-doped carbon nanotubes: Effects of Fe-confinement[J]. Chem. Eng. J., 2023, 452: 139357. doi: 10.1016/j.cej.2022.139357
-
[8]
ZHANG Y, LI M, LI J C, YANG Y Y, LIU X. Surface modified leaves with high efficiency for the removal of aqueous Cr(Ⅵ)[J]. Appl. Surf. Sci., 2019, 484: 189-196. doi: 10.1016/j.apsusc.2019.04.088
-
[9]
BRITO-PEREIRA R, QUEIROS J M, CELAYA-AZCOAGA L, LUIZ R F, MARTINS P, LANCEROS-MENDEZ S. Hexavalent chromium dual water remediation and sensing based on hybrid polymer/metal- organic framework composites[J]. J. Environ. Chem. Eng., 2024, : 12.
-
[10]
ARIF M, LIU G, YOUSAF B, AHMED R, IRSHAD S, ASHRAF A, ZIA-UR-REHMAN M, RASHID M S. Synthesis, characteristics and mechanistic insight into the clays and clay minerals-biochar surface interactions for contaminants removal—A review[J]. J. Clean Prod., 2021, 310: 127548. doi: 10.1016/j.jclepro.2021.127548
-
[11]
GUO Z B, CHENG M, REN W Q, WANG Z Q, ZHANG M H. Treated activated carbon as a metalfree catalyst for effectively catalytic reduction of toxic hexavalent chromium[J]. J. Hazard. Mater., 2022, 430: 128416. doi: 10.1016/j.jhazmat.2022.128416
-
[12]
ABIDIN M Z U, IKRAM M, MOEEN S, NAZIR G, KANOUN M B, GOUMRI-SAID S. A comprehensive review on the synthesis of ferrite nanomaterials via bottom-up and top-down approaches advantages, disadvantages, characterizations and computational insights[J]. Coord. Chem. Rev., 2024, 520: 216158. doi: 10.1016/j.ccr.2024.216158
-
[13]
张元培, 王家宏, 黄金明, 胡智. 磁性介孔碳负载纳米零价铁的制备及其去除高盐废水中Cr(Ⅲ)有机配合物[J]. 无机化学学报, 2024,40,(9): 1731-1742. doi: 10.11862/CJIC.20240077ZHANG Y P, WANG J H, HUANG J M, HU Z. Preparation of magnetic mesoporous carbon loaded nano zero-valent ironfor removal of Cr(Ⅲ) organic complexes from high-salt wastewater[J]. Chinese. J. Inorg. Chem., 2024, 40(9): 1731-1742. doi: 10.11862/CJIC.20240077
-
[14]
SHI Y, WANG X, ZHONG S T, CHEN W W, FENG C P, YANG S P. Nano zero-valent iron/montmorillonite composite for the removal of Cr(Ⅵ) from aqueous solutions: Characterization, performance, and mechanistic insights[J]. Appl. Clay Sci., 2024, 253: 107345. doi: 10.1016/j.clay.2024.107345
-
[15]
SUAZO-HERNÁNDEZ J, MANQUIAN-CERDA K, LUZ MORA M, MOLINA-ROCO M, ANGxELICA RUBIO M, SARKAR B, BOLAN N, ARANCIBIA-MIRANDA N. Efficient and selective removal of SeⅥ and AsⅤ mixed contaminants from aqueous media by montmorillonite-nanoscale zero valent iron nanocomposite[J]. J. Hazard. Mater., 2021, 403: 123639. doi: 10.1016/j.jhazmat.2020.123639
-
[16]
WANG H, ZHONG D J, XU Y L, CHANG H X, SHEN H Y, XU C Z, MOU J X, ZHONG N B. Enhanced removal of Cr(Ⅵ) from aqueous solution by nano-zero-valent iron supported by KOH activated sludge-based biochar[J]. Colloids Surf. A-Physicochem. Eng. Asp., 2022, 651: 129697. doi: 10.1016/j.colsurfa.2022.129697
-
[17]
ZHAO M A, ZHANG C A, YANG X N, LIU L, WANG X Z, YIN W Q, LI Y C C, WANG S S, FU W Z. Preparation of highly-conductive pyrogenic carbon-supported zero-valent iron for enhanced Cr(Ⅵ) reduction[J]. J. Hazard. Mater., 2020, 396: 122712. doi: 10.1016/j.jhazmat.2020.122712
-
[18]
GOPAL G, SANKAR H, NATARAJAN C, MUKHERJEE A. Tetracycline removal using green synthesized bimetallic nZVI-Cu and bentonite supported green nZVI-Cu nanocomposite: A comparative study[J]. J. Environ. Manage., 2020, 254: 109812. doi: 10.1016/j.jenvman.2019.109812
-
[19]
WANG T, SU J, JIN X Y, CHEN Z L, MEGHARAJ M, NAIDU R. Functional clay supported bimetallic nZVI/Pd nanoparticles used for removal of methyl orange from aqueous solution[J]. J. Hazard. Mater., 2013, 262: 819-825. doi: 10.1016/j.jhazmat.2013.09.028
-
[20]
LIANG L P, XI F F, ZHAO J H, IMANOVA G, KOMARNENI S, MA J F. Synergistic effect of MIL-101(Cr) and nanoscale zero-valent iron (nZVI) for efficient removal of U(Ⅵ) and assessment of this composite to inactivate Escherichia coli[J]. Sep. Purif. Technol., 2025, 360: 131053. doi: 10.1016/j.seppur.2024.131053
-
[21]
YU J F, FENG H P, TANG L, PANG Y, ZENG G M, LU Y, DONG H R, WANG J J, LIU Y, FENG C Y, WANG J J, PENG B, YE S J. Metal-free carbon materials for persulfate-based advanced oxidation process: Microstructure, property and tailoring[J]. Prog. Mater. Sci., 2020, 111: 100654. doi: 10.1016/j.pmatsci.2020.100654
-
[22]
GAO F L, LYU H, AHMAD S, XU S Y, TANG J C. Enhanced reductive degradation of tetrabromobisphenol A by biochar supported sulfidated nanoscale zero-valent iron: Selectivity and core reactivity[J]. Appl. Catal. B-Environ., 2023, 324: 122246. doi: 10.1016/j.apcatb.2022.122246
-
[23]
LI X J, LI W M, WANG S F, ZENG X F, JIA Y F. Synergistic enhancement of lindane removal by biochar-supported sulfidated nano zero-valent iron: Elucidating core-shell reactivity mechanism[J]. J. Environ. Chem. Eng., 2025, 13: 117919. doi: 10.1016/j.jece.2025.117919
-
[24]
ZHAO X, HU J L, YANG Y, LIU M, WANG H N. Enhanced Cr(Ⅵ) removal from water by Fe-modified sewage sludge biochar: Influencing factors and mechanisms[J]. J. Environ. Chem. Eng., 2025, 15: 117501.
-
[25]
XUE W J, WEN S Q, ZHU Y L, AL-DHABI N A, DAI J, XIONG H X, TANG W W, WANG R Z, LI J, XU Y Q. Optimized preparation of biochar-loaded sulfidized nanoscale zero-valent iron for the remediation performance and ecological effect assessment in Cd, Cu and Zn co-contaminated sediments[J]. J. Environ. Chem. Eng., 2025, 15: 117852.
-
[26]
UN U T, ATES F, ERGINEL N, OZCAN O, ODUNCU E. Adsorption of disperse orange 30 dye onto activated carbon derived from Holm Oak (Quercus Ilex) acorns: A 3k factorial design and analysis[J]. J. Environ. Manage., 2015, 155: 89-96. doi: 10.1016/j.jenvman.2015.03.004
-
[27]
WANG L, ZHANG M G. Study on synthesis and magnetic properties of Nd2Fe14B nanoparticles prepared by hydrothermal method[J]. J. Magn. Magn. Mater., 2020, 507: 166841. doi: 10.1016/j.jmmm.2020.166841
-
[28]
QU X L, FU H Y, MAO J D, RAN Y, ZHANG D N, ZHU D Q. Chemical and structural properties of dissolved black carbon released from biochars[J]. Carbon, 2016, 96: 759-767. doi: 10.1016/j.carbon.2015.09.106
-
[29]
MANDAL S, PU S, SHANGGUAN L X, LIU S B, MA H, ADHIKARI S, HOU D Y. Synergistic construction of green tea biochar supported nZVI for immobilization of lead in soil: A mechanistic investigation[J]. Environ. Int., 2020, 135: 105374. doi: 10.1016/j.envint.2019.105374
-
[30]
KOKAB T, ASHRAF H S, SHAKOOR M B, JILANI A, AHMAD S R, MAJID M, ALI S, FARID N, ALGHAMDI R A, AL-QUWAIE D A. Effective removal of Cr(Ⅵ) from wastewater using biochar derived from walnut shell[J]. Int. J. Environ. Res. Public Health, 2021, 18(18): 9670. doi: 10.3390/ijerph18189670
-
[31]
HAO M G, WANG Q Y, YU F X, GUAN Z L, ZHANG X C, SUN Y C. Efficient degradation of 2, 4-dichlorophphenol in groundwater using persulfate activated by nitrogen-doped biochar-supported nano zero-valent iron[J]. J. Clean Prod., 2024, 458: 142415. doi: 10.1016/j.jclepro.2024.142415
-
[32]
TIAN H R, HUANG C, WANG P, WEI J, LI X Y, ZHANG R M, LING D X, FENG C L, LIU H, WANG M X, LIU Z M. Enhanced elimination of Cr(Ⅵ) from aqueous media by polyethyleneimine modified corn straw biochar supported sulfide nanoscale zero valent iron: Performance and mechanism[J]. Bioresour. Technol., 2023, 369: 128452. doi: 10.1016/j.biortech.2022.128452
-
[33]
LIU N, ZHANG Y T, XU C, LIU P, LV J, LIU Y Y, WANG Q Y. Removal mechanisms of aqueous Cr(Ⅵ) using apple wood biochar: A spectroscopic study[J]. J. Hazard. Mater., 2020, 384: 121371. doi: 10.1016/j.jhazmat.2019.121371
-
[34]
SMITH M W, DALLMEYER I, JOHNSON T J, BRAUER C S, MCEWEN J S, ESPINAL J F, GARCIA-PEREZ M. Structural analysis of char by Raman spectroscopy: Improving band assignments through computational calculations from first principles[J]. Carbon, 2016, 100: 678-692. doi: 10.1016/j.carbon.2016.01.031
-
[35]
AMIN R, KHORSHIDI A, BENSCHW , SENKALE S, FARAMARZI M A. Degradation of sesame oil phenolics using magnetic immobilized laccase[J]. Catal. Lett., 2020, 150: 3086-3095. doi: 10.1007/s10562-020-03226-8
-
[36]
CHEN Y Y, WANG B Y, XIN J, SUN P, WU D. Adsorption behavior and mechanism of Cr(Ⅵ) by modified biochar derived from enteromorpha prolifera[J]. Ecotox. Environ. Safe., 2018, 164: 440-447. doi: 10.1016/j.ecoenv.2018.08.024
-
[37]
DAI J, ZHANG H L, CHEN N, WANG Y J, WANG J, YANG Z Y, FANG G D. Nitrogen configurations driving efficient elimination of Cr(Ⅵ) by nitrogen-doped biochar/zero-valent iron composites[J]. Chem. Eng. J., 2025, 515: 163655. doi: 10.1016/j.cej.2025.163655
-
[38]
ZHAO C, ZHANG M, ZHANG Y X, JIANG L D, TAO J L, WEN J H. Fabrication of iron incorporated engineering architectures with exceptional antioxidant capacity and remarkable stability aerogels for synergistic chemical reduction and adsorptive removal of Cr(Ⅵ) from wastewater[J]. Sep. Purif. Technol., 2025, 373: 133584. doi: 10.1016/j.seppur.2025.133584
-
[39]
LI T, HE Y H, WANG J W, XIANG H C, XU X L, LI C, WU Z S. Bioreduction of hexavalent chromium via Bacillus subtilis SL-44 enhanced by humic acid: An effective strategy for detoxification and immobilization of chromium[J]. Sci. Total Environ., 2023, 888: 164246. doi: 10.1016/j.scitotenv.2023.164246
-
[40]
ZHANG Y, LI X J, CHEN J F, WANG Y Y, CHENG Z Y, CHEN X Q, GAO X, GUO M H. Porous spherical Cu2O supported by wood-based biochar skeleton for the adsorption-photocatalytic degradation of methyl orange[J]. Appl. Surf. Sci., 2023, 611: 155744.
-
[41]
SHI Y Y, SHAN R, LU L L, YUAN H R, JIANG H, ZHANG Y Y, CHEN Y. High-efficiency removal of Cr(Ⅵ) by modified biochar derived from glue residue[J]. J. Clean Prod., 2020, 254: 119935. doi: 10.1016/j.jclepro.2019.119935
-
[42]
HE R, YUAN X Z, HUANG Z L, WANG H, JIANG LB, HUANG J, TAN M J, LI H. Activated biochar with iron-loading and its application in removing Cr(Ⅵ) from aqueous solution[J]. Colloid. Surf. A-Physicochem. Eng. Asp., 2019, 579: 123642.
-
[43]
MON P P, CHO P P, CHANADANA L, ASHOK KUMAR K V, DOBHAL S, SHASHIDHAR T, MADRAS G. Bio-waste assisted phase transformation of Fe3O4/carbon to nZVI/graphene composites and its application in reductive elimination of Cr(Ⅵ) removal from aquifer[J]. Sep. Purif. Technol., 2023, 306: 122632.
-
[44]
LIU X Y, LIU W T, CHI Z F. Reduced graphene oxide supported nanoscale zero-valent iron (nZVI/rGO) for in-situ remediation of Cr(Ⅵ)/nitrate-polluted aquifer[J]. J. Water Process Eng., 2022, 49: 103188. doi: 10.1016/j.jwpe.2022.103188
-
[45]
LI X Y, AI L H, JIANG J. Nanoscale zerovalent iron decorated on graphene nanosheets for Cr(Ⅵ) removal from aqueous solution: Surface corrosion retard induced the enhanced performance[J]. Chem. Eng. J., 2016, 288: 789-797.
-
[46]
IFTHIKAR J, IBRAN SHAHIB I, JAWAD A, GENDY E A, WANG S Q, WU B B, CHEN Z Q, CHEN Z L. The excursion covered for the elimination of chromate by exploring the coordination mechanisms between chromium species and various functional groups[J]. Coord. Chem. Rev., 2021, 437: 213868.
-
[47]
ZHANG M Y, YI K X, ZHANG X W, HAN P, LIU W, TONG M P. Modification of zero valent iron nanoparticles by sodium alginate and bentonite: Enhanced transport, effective hexavalent chromium removal and reduced bacterial toxicity[J]. J. Hazard. Mater., 2020, 388: 121822.
-
[48]
XU Z B, XU X Y, ZHANG Y, YU Y L, CAO X D. Pyrolysis-temperature depended electron donating and mediating mechanisms of biochar for Cr(Ⅵ) reduction[J]. J. Hazard. Mater., 2020, 388: 121794.
-
[1]
-
图 5 (a) 时间对Cr(Ⅵ)吸附的影响; Cr(Ⅵ)在(b) ALBC和(c) ALBC@nZVI上的吸附动力学; (d) ALBC和ALBC@nZVI的颗粒内扩散动力学模型图
Figure 5 Effect of (a) time on the adsorption of Cr(Ⅵ); Adsorption kinetics of Cr(Ⅵ) on (b) ALBC and (c) ALBC@nZVI; (d) Intraparticle diffusion kinetics model diagrams of ALBC and ALBC@nZVI
Initial Cr(Ⅵ) solution: 40 mL, 100 mg·L-1; pH=2; adsorbent dosage: 0.04 g; T=298 K.
表 1 ALBC和ALBC@nZVI的孔隙特征
Table 1. Porosity characteristics of ALBC and ALBC@nZVI
Sample SBET /(m2·g-1) Average pore diameter /nm DFT pore volume /(cm3·g-1) ALBC 1 421 1.675 0.595 3 ALBC@nZVI 702 2.180 0.382 6 表 2 ALBC和ALBC@nZVI吸附Cr(Ⅵ)的准一级和准二级动力学参数
Table 2. Pseudo-first-order and pseudo-second-order kinetic parameters on the adsorption of Cr(Ⅵ) on ALBC and ALBC@nZVI
Adsorbent Pseudo-first-order Pseudo-second-order qcal /(mg·g-1) k1 /min-1 R2 qcal /(mg·g-1) k2 /(g·mg-1·min-1) R2 ALBC 87.79 0.106 7 0.869 2 93.35 0.006 1 0.999 6 ALBC@nZVI 93.15 0.108 5 0.985 4 96.15 0.017 6 0.999 9 表 3 ALBC和ALBC@nZVI吸附Cr(Ⅵ)的颗粒内扩散模型拟合结果
Table 3. Fitting results of intraparticle diffusion model of Cr(Ⅵ) on ALBC and ALBC@nZVI
Adsorbent First stage Second stage Third stage kid /(mg·g-1·min-0.5) C R2 kid /(mg·g-1·min-0.5) C R2 kid /(mg·g-1·min-0.5) C R2 ALBC 18.05 26.98 0.999 4 6.68 54.22 0.935 2 0.23 89.14 0.838 9 ALBC@nZVI 23.78 34.91 0.941 9 2.12 83.91 0.867 0 0.04 94.56 0.834 2 表 4 ALBC@nZVI吸附Cr(Ⅵ)的Langmuir和Freundlich模型
Table 4. Langmuir and Freundlich models on the adsorption of Cr(Ⅵ) on ALBC@nZVI
Adsorbent Langmuir Freundlich qmax /(mg·g-1) KL /(L·mg-1) R2 n KF /(mg1-1/n·L1/n·g-1) R2 ALBC@nZVI 151.51 0.318 8 0.991 3 6.297 2 74.31 0.895 4 表 5 不同吸附剂对Cr(Ⅵ)吸附能力的比较
Table 5. Comparison of the adsorption capacities of various adsorbents for Cr(Ⅵ)
Adsorbent T /K Dosage /(g·L-1) ρ0 /(mg·L-1) qe /(mg·g-1) Ref. S-nZVI@PBC 298 0.5 20 44.3 [32] N-BC@nZVI 298 0.5 40 94.3 [37] CSM-nZVI@FBC 298 0.5 100 131.7 [38] BC@nZVI 303 2 100 18.9 [42] nZVI/graphene 298 1 75 46.3 [43] rGO/nZVI 298 0.5 10 94.4 [44] nZVI/GNS 298 1 25 24.6 [45] ALBC@nZVI 298 0.50 100 132.4 This work ALBC@nZVI 298 1.00 100 95.27 This work -
扫一扫看文章
计量
- PDF下载量: 0
- 文章访问数: 111
- HTML全文浏览量: 12

下载:
下载:
下载: