Bi2SeO5纳米片的拉曼光谱层数依赖性及对二维材料的封装性能

朱永朝 梁文杰 徐海

引用本文: 朱永朝, 梁文杰, 徐海. Bi2SeO5纳米片的拉曼光谱层数依赖性及对二维材料的封装性能[J]. 无机化学学报, 2026, 42(3): 584-592. doi: 10.11862/CJIC.20250217 shu
Citation:  Yongchao ZHU, Wenjie LIANG, Hai XU. Raman spectroscopic layer-dependent of Bi2SeO5 nanosheets and their encapsulation performance for two-dimensional materials[J]. Chinese Journal of Inorganic Chemistry, 2026, 42(3): 584-592. doi: 10.11862/CJIC.20250217 shu

Bi2SeO5纳米片的拉曼光谱层数依赖性及对二维材料的封装性能

    通讯作者: 徐海,E-mail:xhisaac@csu.edu.cn
  • 基金项目:

    国家自然科学基金 21975288

    湖南省科技创新计划 2024WZ9002

摘要: 系统研究了Bi2SeO5的拉曼光谱特性,发现其拉曼特征峰强度随纳米片厚度增加而增强,显示出明显的厚度依赖性。进一步将Bi2SeO5与典型二维半导体进行集成:以MoS2为沟道构建的背栅场效应晶体管(FET)中,Bi2SeO5凭借其优异的介电特性实现高效栅极调控,器件表现出高达106的开关比和144 mV·dec-1的低亚阈值摆幅(SS),彰显出卓越的介电调控能力。同时,Bi2SeO5作为封装层,能够有效保护对气氛敏感的黑磷(BP)和硒化铟(InSe),显著提升二者在空气中的稳定性。这些结果证实了Bi2SeO5与二维材料能够形成平整、紧密的界面。同时,Bi2SeO5兼具优异的介电性能以及良好的保护功能,具有双重优势。

English

  • 硅(Si)是现代半导体行业的基础材料,广泛用于手机、计算机等核心芯片的硅基晶体管制造[1-4]。半导体技术遵循摩尔定律,要求晶体管数量每18~24个月翻倍,因此必须持续微缩器件尺寸以提高集成度与电学性能[5-7]。栅介质层作为晶体管开关控制的关键组成部分,由介电材料构成。这类材料具有绝缘隔离、电荷存储以及通过电场调控载流子传输的核心功能,其介电常数(k)决定了单位厚度下的储电能力,直接影响晶体管的开关速度、功耗和稳定性。传统硅基器件采用二氧化硅(SiO2)作为栅介质,其与硅衬底可形成优质界面,并表现出优异的电学特性。然而,进入纳米尺度后,SiO2的局限性及硅基材料自身的固有问题共同形成了相关技术瓶颈,主要体现为以下两点:一方面,器件尺寸微缩引发短沟道效应,导致栅极调控能力下降、开关特性退化以及功耗显著上升。另一方面,为维持栅极电容,SiO2厚度需同步减薄至极限尺度。由于其介电常数较低(k≈3.9),当厚度小于或等于1.2 nm时,量子隧穿效应将导致栅极漏电流急剧增加,不仅造成严重的能量损耗,还会使器件无法有效关断。上述问题相互交织,仅依靠工艺优化难以实现突破。因此,开发具有高介电常数、良好硅基界面兼容性以及稳定化学与热学性能的新型介电材料,以替代SiO2并适配纳米尺度硅基晶体管,已成为突破当前瓶颈、延续摩尔定律的关键,对半导体行业的持续发展至关重要[8-10]

    硅基晶体管中Si与SiO2的界面质量非常高,具有极低的界面态密度,使用其他高介电常数的栅介质(HfO2、Al2O3等)取代SiO2作为电介质时,仍需要利用SiO2作为缓冲层来改善沟道和电介质之间的界面质量,这也从结构上限制了器件的进一步微缩[11-14]。2004年石墨烯的出现打开了二维材料的大门,很多二维材料被开发出来[15]。二维材料因其原子层厚度、无悬挂键界面、载流子限域效应等优势,被视为后摩尔时代集成电路中理想的沟道材料,有望突破传统半导体材料的物理极限[16-22]

    然而,当采用传统的高介电常数介电材料(如CaF2、HfO2、Al2O3[23-26])与二维半导体材料构筑场效应晶体管(FET)时,在沟道与电解质的界面处会存在大量的悬挂键,从而使得沟道材料的迁移率降低,同时界面散射的存在也会严重影响器件的性能[27-28],为此,研究者提出了多种界面工程策略以改善界面质量。例如,Di等[29]在室温下通过插层氧化技术,在单晶铝表面合成了1.25 nm厚的单晶氧化铝c-Al2O3,该单晶氧化铝具有很高的击穿场强(16 MV·cm-1),远高于非晶态的氧化铝(约8 MV·cm-1)。随后,通过转移的方式得到了c-Al2O3/MoS2异质结,该异质结的界面清晰,界面态密度为8.4×109 cm2·eV-1,和Si/SiO2的界面态密度相近,且低于大部分的MoS2异质结器件。Liu等[30]通过化学气相沉积(CVD)的方法在云母片表面实现了单取向Mn3O4薄膜(k=135)的合成,然后通过转移的方式得到了MoS2场FET,其亚阈值摆幅(SS)为84 mV·dec-1。Yang等[31]通过氯化物辅助CVD法合成了三元高介电常数电介质GdOCl,其击穿场强大于9.9 MV·cm-1,与MoS2构成的FET具有优良的电学性能,栅极漏电流约为10-6 A·cm-2,SS为67.9 mV·dec-1。Zhou等[32]以MoS2作为沟道材料,六方氮化硼(h-BN)作为电介质,石墨作为背栅电极的方式制备了超快非易失性存储器,通过双三角势垒改进的Fowler-Nordheim隧道效应,在保持传统闪存优势的前提下,实现了速度为20 ns的超快写入/擦除。这些研究大部分是针对高介电常数材料的界面工程展开,比如引入苝四甲酸二酐(PTCDA)缓冲层,降低界面态密度,同时改善介电材料的结晶性;或者直接开发新的二维高介电常数的介电材料,利用二维材料原子级平整的表面,避免悬挂键对界面的影响[33-35]。然而目前的二维高介电常数的电介质材料相对较少[36],最常见的二维介电层为h-BN,但是其介电常数较低(k≈5),击穿场强为7 MV·cm-1,并且合成条件苛刻,严重制约了其在集成电路中的应用[37-38]

    Bi2SeO5作为一种高介电常数的二维介电材料,直接带隙为3.9 eV,解离能为416.5 mJ·m-2,该数值与大部分的二维材料相当。此外,Bi2SeO5在面外方向的介电常数为13.3,击穿场强更是高达30 MV·cm-1,这种性能使其与多数二维材料相兼容,因而在FET中展现出良好的应用前景[39]。我们结合原子力显微镜(AFM)和高分辨拉曼光谱探究了二维高介电常数电介质Bi2SeO5纳米片的拉曼信号与厚度的演化规律,发现其拉曼峰强度随着Bi2SeO5纳米片厚度的增加而增加,并对Bi—O与Se—O键的振动模式进行了确认与分析。此外,针对Bi2SeO5在二维器件中的双功能特性进行了探索。当Bi2SeO5作为栅介质与MoS2构筑FET时,该晶体管的开关比(Ion/Ioff)为106,SS为141 mV·dec-1,表现出了优异的电学性能;当Bi2SeO5作为封装层分别与黑磷(BP)和硒化铟(InSe)构筑异质结时,能够与这2种材料实现紧密贴合,进而有效保护BP和InSe免受环境因素导致的性能退化。实验表明,Bi2SeO5纳米片能够与其他二维材料形成高质量的界面,这有助于探索半导体材料的电学性能,并说明其在FET领域具有潜在的应用前景。

    实验中所使用的试剂和仪器见Supporting information。

    采用CVD方法合成了Bi2SeO5单晶[39]。具体的操作流程:首先将所使用的石英管(长度为25 cm,外径为25 mm,内径为2 mm)进行清洗并在高温下煅烧以去除杂质。随后,在真空环境下,使用氢氧焰在距离石英管底部13 cm处灼烧形成约0.2 cm的凹陷结构,以便后续密封时固定石英棒(外径为20 mm)。然后按照物质的量之比1∶1称取氧化铋(Bi2O3)和氧化硒(SeO2),经由称量纸缓慢送入石英管底部,之后放入石英棒。将石英管固定于密封装置上,经氩气置换3次后对系统进行抽真空处理,再利用氢氧焰在石英棒位置进行局部加热,使其与石英管熔封。待自然冷却后,将密封石英管水平移入管式炉,使样品集中于管底,并确保样品处于炉体加热区中心,程序升温2 h,由室温升至860 ℃,保温12 h后,随炉冷却至室温,即得到Bi2SeO5粉末前驱体。

    将碘单质进行重结晶处理,并将Bi2SeO5粉体充分研磨。称取5 g Bi2SeO5粉体和41 mg碘单质,将其在称量纸上充分混合,然后送入石英管底部,并按照Bi2SeO5粉体的制备过程进行封管,封管结束后转移至管式炉中进行加热,2 h内由室温升至860 ℃,保温30 d后,随炉冷却至室温,得到Bi2SeO5单晶。

    选用蓝膜胶带作为机械解理工具,以氧化层厚度为285 nm的SiO2/硅片为基底。实验前,首先对硅片进行清洗处理:为避免硅片相互碰撞产生表面颗粒污染,将其垂直放置于聚四氟乙烯清洗架中,依次在丙酮、丙酮、异丙醇和超纯水中各超声清洗5 min。

    单晶Bi2SeO5的解理过程如下:首先选取表面清晰透亮的Bi2SeO5单晶,将其置于蓝膜胶带表面,另取另一片尺寸相近的胶带与之贴合后缓慢分离,以实现初步解理。随后,将2片胶带反复对贴6次,操作过程中注意避免样品区域重叠,以减轻机械应力对晶体结构的破坏,确保获得较大面积的纳米畴区。解理完成后,将带有样品的胶带贴合于预处理好的硅片表面,保持基底温度在25~30 ℃,静置10 min以确保样品稳定附着,最后缓慢揭除胶带。

    构筑Bi2SeO5/MoS2 FET的工艺流程如图S1所示。首先,在硅片衬底上蒸镀尺寸为15 μm×20 μm的背栅电极,以及用于电学测试的100 μm×100 μm Pd/Au方形金属电极,两类电极的间距均大于100 μm。随后,在超净环境中对块体MoS2进行机械解理,利用AFM测定样品厚度,并结合光学显微镜下MoS2的衬度对比,筛选出合适的MoS2纳米片。采用聚碳酸丙烯酯(PPC)辅助干法转移技术,将选定的MoS2纳米片精确转移至厚度约25 nm的Bi2SeO5纳米片的中心区域附近,确保MoS2纳米片完全位于Bi2SeO5纳米片之上,避免与硅衬底直接接触。接下来,将完整的MoS2/Bi2SeO5异质结再次转移至已制备背栅电极的硅片上。转移过程中需精确调控异质结位置,使MoS2沟道区域完全覆盖背栅电极,从而形成有效的背栅式栅极结构,在维持异质结完整性的同时,避免因纳米片破裂可能引发的短路风险。异质结制备完成后,通过电子束蒸镀工艺在器件表面图形化制备源电极和漏电极。最后,为保护器件免受环境干扰,在MoS2沟道及电极上方覆盖一层Bi2SeO5纳米片作为钝化封装层。最终器件的垂直结构自上而下依次为Bi2SeO5封装层、源漏电极、MoS2沟道层、Bi2SeO5介电层和背栅电极。

    构筑Bi2SeO5半封装BP异质结的工艺流程如图S2所示。首先,在手套箱中对块体BP进行机械解理(方法与单晶Bi2SeO5的解理过程相同),并根据需要选取尺寸和厚度合适的BP纳米片,将其所在的硅片标记为硅片1。随后,选择尺寸匹配的Bi2SeO5纳米片,转移至手套箱中,在其表面旋涂PPC的苯甲醚溶液,随后置于80 ℃热台上烘烤3 min以去除溶剂。接着,在光学显微镜下定位目标纳米片区域,使用透明胶带在PPC膜上方贴出1.5 mm×1.5 mm的胶框,确保目标纳米片位于胶框中心附近。缓慢揭除胶框,使附着Bi2SeO5纳米片的PPC膜从硅片表面剥离。将剥离的PPC膜悬置于100 ℃热台上方约2 cm处烘烤约15 s,以提高薄膜平整度。取一片聚二甲基硅氧烷(PDMS,型号PF-20/17-X4,厚度为425 μm),裁剪为1.5 mm×1.5 mm的方形,去除表面保护膜后置于载玻片中央。最后,将带有Bi2SeO5纳米片的PPC膜倒扣在PDMS表面,并用胶带固定在载玻片上,形成自上而下依次为Bi2SeO5纳米片、PPC、PDMS、载玻片的叠层结构(记为载玻片1)。

    接下来,将硅片1放置于定点转移台的下层样品台上,在光学显微镜下将目标BP纳米片定位至视野中心,开启真空泵吸附固定硅片1。将载玻片1固定在上层样品台上,此时载玻片1上的叠层结构自上而下依次为载玻片、PDMS、PPC、Bi2SeO5纳米片,使Bi2SeO5纳米片朝下正对下层样品台。调节目镜焦距并水平移动上层样品台,将目标Bi2SeO5纳米片移至视野中心。缓慢垂直下移上层样品台,同时通过目镜实时监控上下2层纳米片的相对位置,确保Bi2SeO5纳米片与BP纳米片按预设堆叠位置精确对准。待载玻片1与硅片1接触贴合后,启动下层样品台加热至120 ℃,待PPC层熔化后立即提升上层样品台,实现Bi2SeO5纳米片向BP纳米片表面的转移。自然冷却后,将硅片1置于热丙酮(70 ℃)中去除PPC,此时硅片上的叠层结构自上而下依次为Bi2SeO5纳米片、BP、硅片,将其密封于离心管中以防污染或降解。

    InSe-Bi2SeO5半封装异质结的制备参照上述BP/Bi2SeO5的堆垛方式进行,所有转移操作均在手套箱内完成。

    图 1a展示了不同层数的Bi2SeO5纳米片在氧化层厚度为285 nm硅片上的光学图像。根据Bi2SeO5的分子结构,其单层厚度约为1.14 nm。基于AFM测量结果,我们计算了不同厚度纳米片对应的层数(图S3)。图中展示了4~24层Bi2SeO5纳米片的部分结果,红色标记指示了各层数对应的纳米片区域。随着厚度增加,样品在硅片上的光学衬度由紫色逐渐过渡为深绿、浅绿,并在厚度低于50 nm时转为浅黄色。图 1b1c分别为6和18层Bi2SeO5纳米片的光学图像(左侧)和AFM图(右侧)。图中可观察到Bi2SeO5纳米片表面具有原子级平整的表面度,这有助于降低其与二维沟道材料堆垛叠形成异质结时的界面散射。

    图 1

    图 1.  (a) 硅片上不同层数Bi2SeO5纳米片的光学图像; (b) 6层和(c) 18层Bi2SeO5纳米片的光学图像(左)和相应的AFM图(右)
    Figure 1.  (a) Optical images of Bi2SeO5 nanosheets with different thicknesses on silicon wafers; Optical images (left) and the corresponding ATM images (right) of (b) 6 layers and (c) 18 layers Bi2SeO5 nanosheets

    首先,使用蓝膜胶带对单晶Bi2SeO5进行解理,以获得新鲜表面,随后将其转移至硅片上进行拉曼光谱测试,结果如图 2a所示。谱图中标出了各特征峰对应的拉曼位移,其中位于145和162 cm-1处的振动峰归属于Bi—O键的振动模式,与文献报道一致[40]。与硒氧化铋(Bi2O2Se)不同,Bi2SeO5材料层内存在Se—O键,其对应拉曼光谱中347、376、698和818 cm-1处的特征峰[41]。进一步对不同层数的Bi2SeO5纳米片进行了拉曼表征(图 2b)。与单晶结果相比,可以明显观察到121、144、171、231和818 cm-1等特征峰的强度随样品厚度增加而增强,表现出明显的厚度依赖性。对于少层纳米片,347、376和698 cm-1等特征峰的强度虽然较弱,但同样呈现随厚度增加的趋势,该现象在多种二维材料中均有报道[42-46]。为深入探究材料厚度与拉曼强度的依赖关系,对不同厚度纳米片的拉曼强度进行了对比。如图 2c所示,厚度为8层的不同纳米片之间,拉曼强度基本一致,10层厚度的不同纳米片的拉曼强度同样保持一致,且10层纳米片的拉曼强度整体高于8层的纳米片,进一步证实了Bi2SeO5纳米片的拉曼信号强度具有厚度依赖性,即随层数增加而增强。

    图 2

    图 2.  (a) 单晶Bi2SeO5的拉曼谱图; (b) Bi2SeO5纳米片的拉曼强度与层数的依赖关系; (c) 8和10层的Bi2SeO5纳米片的拉曼谱图; (d) 在约231 cm-1处,不同层数纳米片的拉曼位移和强度变化
    Figure 2.  (a) Raman spectrum of single crystal Bi2SeO5; (b) Layer-dependent Raman intensity of Bi2SeO5 nanosheets; (c) Raman spectra of different nanosheets of Bi2SeO5 with 8 and 10 layers; (d) Raman shift and intensity variations of nanosheets with different thicknesses at ca. 231 cm-1

    拉曼光谱是一种可用于分析二维材料内部分子振动与转动状态的无损表征技术。其光谱主要由高波数和超低波数(ULF)拉曼模式组成,其中高波数模式主要源于平面内振动,而超低波数模式则主要来源于平面间振动。通过对比单晶与纳米片的拉曼光谱可清晰观察到,从少层到单晶的转变过程中,除171 cm-1处发生约9 cm-1的红移外,其他波数位置的位移均相对较小。这主要归因于层状Bi2SeO5样品层内通过化学键(Se—O—Bi)相互连接,其中Se原子位于层两端,Bi原子填充于整个分子层,而单元层之间则依靠范德瓦耳斯力结合。随着样品厚度的增加,单元层之间的范德瓦耳斯力不断增强,抑制了平面内的原子振动,同时增强了平面间的分子相互作用,因此平面间的Bi—O键振动(波数162 cm-1处)发生了较大的红移[47-50]

    然而,从少层到多层的转变过程中,Bi—O键与Se—O键振动的位移变化则较为复杂(图S4)。如图 2d所示,波数约231 cm-1处的位移表现为随着纳米片厚度的增加,从4层的231 cm-1发生红移至227 cm-1处,这是由于层间的范德瓦耳斯相互作用增加了较厚层的恢复力;然后又从227 cm-1处发生蓝移到24层的231 cm-1处并在块体时达到233 cm-1处,这主要是由于材料本身的介电屏蔽作用减少了有效电荷之间的长程库仑作用,从而降低了材料的恢复力[51-53]

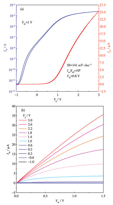
    Bi2SeO5是一种介电常数高达13.3的二维介电材料,具有原子级平整表面,可解理至不同厚度,适用于构建FET器件。我们选用二维过渡金属硫族化合物MoS2作为沟道材料,制备了以Bi2SeO5为介电层的背栅FET,以评估其电学性能。从FET的转移特性曲线(图 3a)中得到,该器件的Ion/Ioff约为106,SS约为144 mV·dec-1。器件回滞较小,低于0.03 V,阈值电压(Vth)为0.8 V,表现出优异的电学性能,表明异质结界面质量较高。如图 3b所示,不同栅极电压(VGS)下曲线间距均匀、跨导稳定,说明器件沟道与栅介质的界面态密度低、电荷输运均匀,界面质量优异;而宽栅压的跨度有利于开发低功耗器件。此外,该器件的界面态密度约为4.7×1012 cm-2·eV-1,与文献中采用Al2O3和Ta2O5封装的器件处于同一数量级,略低于h-BN和HfO2,但高于大多数通过CVD方法生长的MoS2 FET[28]。采用背栅构型的主要目的是避免源漏电极与背栅介电材料之间产生间隙,从而影响器件的最终电学性能。此外,该结构能够规避顶栅器件制备中因源漏电极过高而导致介电层在转移或电极蒸镀过程中断裂、进而引发短路的风险。同时,背栅结构有助于确保介电材料与沟道材料之间的接触界面更为洁净,避免了因转移过程中使用PPC等辅助胶材而引入的污染,从而提升了器件的性能与稳定性。

    图 3

    图 3.  Bi2SeO5/MoS2 FET的(a) 转移和(b) 输出特性曲线
    Figure 3.  (a) Transfer and (b) output characteristic curves of Bi2SeO5/MoS2 FET

    Ids: drain-source current; Vg: gate voltage; Vds: drain-source voltage.

    基于Bi2SeO5纳米片表面的原子级平整特性,我们进一步探究了其在封装不稳定二维材料方面的潜力。将Bi2SeO5封装的BP样品从离心管取出后立即进行AFM表征(图S5a),样品表面较为平整,AFM图像中的白色物质为未清除的PPC胶粒残留。将该样品置于大气环境中24 h后,再次对同一区域进行AFM观测,光学图像未见明显变化,但AFM结果显示未封装区域的表面粗糙度显著增加,出现大量颗粒状突起,此为BP与环境气氛反应所致;而Bi2SeO5封装区域的形貌与粗糙度均保持稳定,表明Bi2SeO5与BP界面结合紧密,有效阻隔了环境降解[54]

    类似地,Bi2SeO5对InSe也表现出良好的封装效果。将封装样品从离心管取出后立即进行AFM测试(图S5b),在大气环境中放置24 h后,封装区域的光学图像与AFM形貌基本未发生变化;而未封装区域的光学图像中出现肉眼可见的灰色斑点,AFM结果显示其粗糙度发生变化,并出现白色颗粒及与光学图像对应的起伏。这也表明Bi2SeO5与InSe界面能够紧密贴合,Bi2SeO5的封装对InSe同样具有保护作用,可有效防止其降解。

    我们结合AFM与高分辨拉曼光谱,系统探究了具有高介电常数的二维介电材料Bi2SeO5纳米片的拉曼特性及其层数依赖性。通过AFM与晶体结构分析,确定了硅衬底上不同衬度纳米片所对应的厚度(4~24层),并对其拉曼信号进行表征。结果表明,随着厚度增加,Bi2SeO5的拉曼峰强度显著增强,这主要源于层间范德瓦耳斯力作用随厚度增强,增强了振动耦合效应。此外,在从少层至块体的演变过程中,部分拉曼峰位出现不同程度的红移或蓝移,这可归因于层间范德瓦耳斯力对平面内原子振动的约束作用以及介电屏蔽效应对振动恢复力的影响,反映出层间耦合与介电环境共同作用下的复杂声子行为。我们进一步评估了Bi2SeO5作为介电层与封装材料在二维器件中的应用潜力。以MoS2为沟道材料构筑的FET表现出高达106Ion/Ioff和141 mV·dec-1的SS,显示出优异的栅控特性与界面质量;同时,Bi2SeO5作为封装层与易降解的二维材料(如BP和InSe)形成异质结后,有效提升了其在空气中的稳定性,进一步验证了其良好的界面兼容性与保护能力。本工作充分说明Bi2SeO5具备原子级平整表面和优异的界面形成能力,能够与多种二维材料实现高质量集成,在构筑高性能、高可靠性的二维电子器件方面展现出重要的应用前景。


    Supporting information is available at http://www.wjhxxb.cn
    1. [1]

      IANNACCONE G, BONACCORSO F, COLOMBO L, FIORI G. Quantum engineering of transistors based on 2D materials heterostructures[J]. Nat. Nanotechnol., 2018, 13: 183-191 doi: 10.1038/s41565-018-0082-6

    2. [2]

      SCARLET S P, AMBIKA R, SRINIVASAN R. Effect of eccentricity on junction and junctionless based silicon nanowire and silicon nanotube FETs[J]. Superlattices Microstruct., 2017, 107: 178-188 doi: 10.1016/j.spmi.2017.04.015

    3. [3]

      INGERLY D B, AMIN S, ARYASOMAYAJULA L, BALANKUTTY A, BORST D, CHANDRA A, CHEEMALAPATI K, COOK C S, CRISS R, ENAMUL K, GOMES W, JONES D, KOLLURU K C, KANDAS A, KIM G S, MA H, PANTUSO D, PETERSBURG C F, PHEN-GIVONI M, PILLAI A M, SAIRAM A, SHEKHAR P, SINHA P, STOVER P, TELANG A, ZELL Z. Foveros: 3D integration and the use of face-to-face chip stacking for logic devices[C]. 2019 IEEE International Electron Devices Meeting (IEDM). San Francisco, CA, USA: IEEE, 2019: 466-469

    4. [4]

      AGARWAL R, CHENG P, SHAH P, WILKERSON B, SWAMINATHAN R, WUU J, MANDALAPU C. 3D packaging for heterogeneous integration[C]. 2022 IEEE 72nd Electronic Components and Technology Conference (ECTC). San Diego, CA, USA: IEEE, 2022: 1103-1107

    5. [5]

      AKINWANDE D, HUYGHEBAERT C, WANG C H, SERNA M I, GOOSSENS S, LI L J, WONG H S P, KOPPENS F H L. Graphene and two-dimensional materials for silicon technology[J]. Nature, 2019, 573: 507-518 doi: 10.1038/s41586-019-1573-9

    6. [6]

      ZHANG Q Z, ZHANG Y K, LUO Y N, YIN H X. New structure transistors for advanced technology node CMOS ICs[J]. Natl. Sci. Rev., 2024, 11(3): 24-41

    7. [7]

      LIU A H, ZHANG X W, LIU Z Y, LI Y N, PENG X Y, LI X, QIN Y, HU C, QIU Y Q, JIANG H, WANG Y, LI Y F, TANG J, LIU J, GUO H, DENG T, PENG S A, TIAN H, REN T L. The roadmap of 2D materials and devices toward chips[J]. Nano-Micro Lett., 2024, 16(1): 119 doi: 10.1007/s40820-023-01273-5

    8. [8]

      LIU C, CHEN H, WANG S, LIU Q, JIANG Y G, ZHANG D W, LIU M, ZHOU P. Two-dimensional materials for next-generation computing technologies[J]. Nat. Nanotechnol., 2020, 15: 545-557 doi: 10.1038/s41565-020-0724-3

    9. [9]

      LIU Y, DUAN X D, SHIN H J, PARK S, HUANG Y, DUAN X F. Promises and prospects of two-dimensional transistors[J]. Nature, 2021, 591: 43-53 doi: 10.1038/s41586-021-03339-z

    10. [10]

      ZENG S F, LIU C S, ZHOU P. Transistor engineering based on 2D materials in the post-silicon era[J]. Nat. Rev. Electr. Eng., 2024, 1(5): 335-348 doi: 10.1038/s44287-024-00045-6

    11. [11]

      CHEEMA S S, SHANKER N, WANG L C, HSU C H, HSU S L, LIAO Y H, SAN JOSE M, GOMEZ J, CHAKRABORTY W, LI W, BAE J H, VOLKMAN S K, KWON D, RHO Y, PINELLI G, RASTOGI R, PIPITONE D, STULL C, COOK M, TYRRELL B, STOICA V A, ZHANG Z, FREELAND J W, TASSONE C J, MEHTA A, SAHELI G, THOMPSON D, SUH D I, KOO W T, NAM K J, JUNG D J, SONG W B, LIN C H, NAM S, HEO J, PARIHAR N, GRIGOROPOULOS C P, SHAFER P, FAY P, RAMESH R, MAHAPATRA S, CISTON J, DATTA S, MOHAMED M, HU C, SALAHUDDIN S. Ultrathin ferroic HfO2-ZrO2 superlattice gate stack for advanced transistors[J]. Nature, 2022, 604: 65-71 doi: 10.1038/s41586-022-04425-6

    12. [12]

      ALI T, POLAKOWSKI S, RIEDEL S, BÜTTNER T, KAMPFE M, RUDOLPH B, PATZOLD K, SEIDEL D, LOHR R, HOFFMANN M, CZEROHORSKY K, KÜHNEL K, STEINKE P, CALVO J, ZIMMERMANN J, MILLER J. High endurance ferroelectric hafnium oxide-based FeFET memory without retention penalty[J]. IEEE Trans. Electron Device, 2018, 65: 3769-3774 doi: 10.1109/TED.2018.2856818

    13. [13]

      ROBERTSON J, WALLACE R M. High-K materials and metal gates for CMOS applications[J]. Mater. Sci. Eng. R, 2015, 88: 1-41

    14. [14]

      ZHANG H, ZHANG Y, CHEN X, LI C Y, DING X W. Low-voltage-drive and high output current InGaZnO thin-film transistors with novel SiO2/HfO2/SiO2 structure[J]. Mol. Cryst. Liq. Cryst., 2017, 651: 228-234 doi: 10.1080/15421406.2017.1338406

    15. [15]

      NOVOSELOV K S, GEIM A K, MOROZOV S V, JIANG D, ZHANG Y, DUBONOS S V, GRIGORIEVA I V, FIRSOV A A. Electric field effect in atomically thin carbon films[J]. Science, 2004, 306: 666-669 doi: 10.1126/science.1102896

    16. [16]

      DESAI S B, MADHVAPATHY S R, SACHID A B, LLINAS J P, WANG Q X, AHN G H, PITNER G, KIM M J, BOKOR J, HU C M, WONG H S P, JAVEY A. MoS2 transistors with 1-nanometer gate lengths[J]. Science, 2016, 354: 99-102 doi: 10.1126/science.aah4698

    17. [17]

      WANG X R, YASUDA K, ZHANG Y, LIU S, WATANABE K, TANIGUCHI T, HONE J, FU L, JARILLO-HERRERO P. Interfacial ferroelectricity in rhombohedral-stacked bilayer transition metal dichalcogenides[J]. Nat. Nanotechnol., 2022, 17: 367-371 doi: 10.1038/s41565-021-01059-z

    18. [18]

      CEBALLOS F, JU M G, LANE S D, ZENG X C, ZHAO H. Highly efficient and anomalous charge transfer in van der Waals trilayer semiconductors[J]. Nano Lett., 2017, 17: 1623-1628 doi: 10.1021/acs.nanolett.6b04815

    19. [19]

      JIANG J F, XU L, QIU C G, PENG L M. Ballistic two-dimensional InSe transistors[J]. Nature, 2023, 616: 470-475 doi: 10.1038/s41586-023-05819-w

    20. [20]

      田金朋, 王硕培, 时东霞, 张广宇. 垂直短沟道二硫化钼场效应晶体管[J]. 物理学报, 2022, 71(21): 218502.TIAN J P, WANG S P, SHI D X, ZHANG G Y. Vertical short- channel MoS2 field-effect transistors[J]. Acta Phys. Sin., 2022, 71: 218502

    21. [21]

      屈贺如歌, 李秋卉, 杨星月, 吕劲. 二维鳍式场效应晶体管[J]. 科学通报, 2023, 68: 1213-1215.QU-HE R G, LI Q H, YANG X Y, LÜ J. 2D fin field-effect transistors[J]. Sci. Bull., 2023, 68: 1213-1215

    22. [22]

      WU F, TIAN H, SHEN Y, HOU Z, REN J, GOU G Y, SUN Y B, YANG Y, REN T L. Vertical MoS2 transistors with sub-1-nm gate lengths[J]. Nature, 2022, 603: 259-264 doi: 10.1038/s41586-021-04323-3

    23. [23]

      ILLARIONOV Y Y, BANSHCHIKOV A G, POLYUSHKIN D K, WACHTER S, KNOBLOCH T, THESBERG M, MENNEL L, PAUR M, STÖGER-POLLACH M, STEIGER-THIRSFELD A, VEXLER M I, WALTL M, SOKOLOV N S, MUELLER T, GRASSER T. Ultrathin calcium fluoride insulators for two-dimensional field-effect transistors[J]. Nat. Electron., 2019, 2: 230-235 doi: 10.1038/s41928-019-0256-8

    24. [24]

      LIU K L, FIN B, HAN W, CHEN X, GONG P L, HUANG L, ZHAO Y H, LI L, YANG S J, HU X Z, DUAN J Y, LIU L X, WANG F K, ZHUGE F W, ZHAI T Y. A wafer-scale van der Waals dielectric made from an inorganic molecular crystal film[J]. Nat. Electron., 2021, 4: 906-913 doi: 10.1038/s41928-021-00683-w

    25. [25]

      HUANG J K, WAN Y, SHI J J, ZHANG J, WANG Z H, WANG W X, YANG N, LIU Y, LIN C H, GUAN X W, HU L, YANG Z L, HUANG B C, CHIU Y P, YANG J, TUNG V, WANG D Y, KALANTAR-ZADEH K, WU T, ZU X T, QIAO L, LI L J, LI S. High-κ perovskite membranes as insulators for two-dimensional transistors[J]. Nature, 2022, 605: 262-267 doi: 10.1038/s41586-022-04588-2

    26. [26]

      NING H K, YU Z H, ZHANG Q T, WEN H D, GAO B, MAO Y, LI Y K, ZHOU Y, ZHOU Y, CHEN J W, LIU L, WANG W F, LI T T, LI Y T, MENG W Q, LI W S, LI Y, QIU H, SHI Y, CHAI Y, WU H Q, WANG X R. An in-memory computing architecture based on a duplex two-dimensional material structure for in situ machine learning[J]. Nat. Nanotechnol, 2023, 18: 493-500 doi: 10.1038/s41565-023-01343-0

    27. [27]

      WANG Y, KIM J C, WU R J, MARTINEZ J, SONG X J, YANG J, ZHAO F, MKHOYAN A, JEONG H Y, CHHOWALLA M. Van der Waals contacts between three-dimensional metals and two- dimensional semiconductors[J]. Nature, 2019, 568: 70-74 doi: 10.1038/s41586-019-1052-3

    28. [28]

      ILLARIONOV Y Y, KNOBLOCH T, JECH M, LANZA M, AKINWANDE D, VEXLER M I, MUELLER T, LEMME M C, FIORI G, SCHWIERZ F, GRASSER T. Insulators for 2D nanoelectronics: The gap to bridge[J]. Nat. Commun., 2020, 11(1): 3385 doi: 10.1038/s41467-020-16640-8

    29. [29]

      ZENG D B, ZHANG Z Y, XUE Z Y, ZHANG M, CHU P K, MEI Y F, TIAN Z, DI Z F. Single-crystalline metal-oxide dielectrics for top-gate 2D transistors[J]. Nature, 2024, 632: 788-794 doi: 10.1038/s41586-024-07786-2

    30. [30]

      YUAN J S, JIAN C Y, SHANG Z H, YAO Y, WANG B C, LI Y X, WANG R T, FU Z P, LI M, HONG W T, HE X, CAI Q, LIU W. Controllable synthesis of nonlayered high-κ Mn3O4 single-crystal thin films for 2D electronics[J]. Nat. Commun., 2025, 16(1): 964 doi: 10.1038/s41467-025-56386-9

    31. [31]

      XU W T, JIANG J Y, CHEN Y J, TANG N, JIANG C B, YANG S X. Single-crystalline high-κ GdOCl dielectric for two-dimensional field-effect transistors[J]. Nat. Commun., 2024, 15(1): 9469 doi: 10.1038/s41467-024-53907-w

    32. [32]

      LIU L, LIU C S, JIANG L L, LI J Y, DING Y, WANG S Y, JIANG Y G, SUN Y B, WANG J L, CHEN S Y, ZHANG D W, ZHOU P. Ultrafast non-volatile flash memory based on van der Waals heterostructures[J]. Nat. Nanotechnol, 2021, 16: 874-881 doi: 10.1038/s41565-021-00921-4

    33. [33]

      LI W S, ZHOU J, CAI S H, YU Z H, ZHANG J L, FANG N, LI T T, WU Y, CHEN T S, XIE X Y, MA H B, YAN K, DAI N X, WU X J, ZHAO H J, WANG Z X, HE D W, PAN L J, SHI Y, WANG P, CHEN W, NAGASHIO K, DUAN X F, WANG X R. Uniform and ultrathin high-κ gate dielectrics for two-dimensional electronic devices[J]. Nat. Electron., 2019, 2: 563-571 doi: 10.1038/s41928-019-0334-y

    34. [34]

      JAYACHANDRAN D, PENDURTHI R, SADAF M U K, SAKIB N U, PANNONE A, CHEN C, HAN Y, TRAINOR N, KUMARI S, MC KNIGHT T V, REDWING J M, YANG Y, DAS S. Three-dimensional integration of two-dimensional field-effect transistors[J]. Nature, 2024, 625: 276-281 doi: 10.1038/s41586-023-06860-5

    35. [35]

      ZHU K C, PAZOS S, AGUIRRE F, SHEN Y Q, YUAN Y, ZHENG W W, ALHARBI O, VILLENA M A, FANG B, LI X Y, MILOZZI A, FARRONATO M, MUÑOZ-ROJO M, WANG T, LI R, FARIBORZI H, ROLDAN J B, BENSTETTER G, ZHANG X X, ALSHAREEF H N, GRASSER T, WU H Q, IELMINI D, LANZA M. Hybrid 2D-CMOS microchips for memristive applications[J]. Nature, 2023, 618: 57-62 doi: 10.1038/s41586-023-05973-1

    36. [36]

      YANG S J, LIU K L, XU Y S, LIU L X, LI H Q, ZHAI T Y. Gate dielectrics integration for 2D electronics: Challenges, advances, and outlook[J]. Adv. Mater., 2023, 35(18): 2207901 doi: 10.1002/adma.202207901

    37. [37]

      MA K Y, ZHANG L N, JIN S, WANG Y, YOON S I, HWANG H, OH J, JEONG D S, WANG M H, CHATTERJEE S, KIM G, JANG A R, YANG J, RYU S, JEONG H Y, RUOFF R S, CHHOWALLA M, DING F, SHIN H S. Epitaxial single-crystal hexagonal boron nitride multilayers on Ni(111)[J]. Nature, 2022, 606: 88-93 doi: 10.1038/s41586-022-04745-7

    38. [38]

      MAO J Y, JIN T Y, HOU X Y, TEO S L, LIN M, CHEN J S, CHEN W. Steep slope threshold switching field-effect transistors based on 2D heterostructure[J]. SmartMat, 2024, 5(6): e1283 doi: 10.1002/smm2.1283

    39. [39]

      ZHANG C C, TU T, WANG J Y, ZHU Y C, TAN C W, CHEN L, WU M, ZHU R X, LIU Y Z, FU H X, YU J, ZHANG Y C, CONG X Z, ZHOU X H, ZHAO J J, LI T R, LIAO Z N, WU X S, LAI K J, YAN B H, GAO P, HUANG Q Q, XU H, HU H P, LIU H T, YIN J B, PENG H L. Single-crystalline van der Waals layered dielectric with high dielectric constant[J]. Nat. Mater., 2023, 22: 832-837 doi: 10.1038/s41563-023-01502-7

    40. [40]

      罗刚, 李增鹏, 戴剑锋, 何川, 马宏, 江小明. Bi2O3/BiFeO3异质结的制备及其光催化性能研究[J]. 化工新型材料, 2025, 53(9): 256-261, 268.LUO G, LI Z P, DAI J F, HE C, MA H, JIANG X M. Preparation and study on photocatalytic properties of Bi2O3/BiFeO3 heterojunction[J]. New Chemical Materials, 2025, 53(9): 256-261, 268

    41. [41]

      BOCHAROV V N, CHARYKOVA M V, KRIVOVICHEV V G. Raman spectroscopic characterization of the copper, cobalt, and nickel selenites: Synthetic analogs of chalcomenite, cobaltomenite, and ahlfeldite[J]. Spectrosc. Lett., 2017, 50: 539-544 doi: 10.1080/00387010.2017.1383921

    42. [42]

      LI H, ZHANG Q, YAP C C R, TAY B K, EDWIN T H T, OLIVIER A, BAILLARGEAT D. From bulk to monolayer MoS2: Evolution of Raman scattering[J]. Adv. Funct. Mater., 2012, 22: 1385-1390 doi: 10.1002/adfm.201102111

    43. [43]

      LEE C G, YAN H G, BRUS L E, HEINZ T F, HONE J, RYU S. Anomalous lattice vibrations of single- and few-layer MoS2[J]. ACS Nano, 2010, 4: 2695-2700 doi: 10.1021/nn1003937

    44. [44]

      PARK Y W, JERNG S K, JEON J H, ROY S B, AKBAR K, KIM J, SIM Y, SEONG M J, KIM J H, LEE Z, KIM M, YI Y, KIM J, NOH D Y, CHUN S H. Molecular beam epitaxy of large-area SnSe2 with monolayer thickness fluctuation[J]. 2D Mater., 2016, 4(1): 014006 doi: 10.1088/2053-1583/aa51a2

    45. [45]

      TERRONES H, CORRO E D, FENG S, POUMIROL J M, RHODES D, SMIRNOV D, PRADHAN N R, LIN Z, NGUYEN M A T, ELÍAS A L, MALLOUK T E, BALICAS L, PIMENTA M A, TERRONES M. New first order Raman-active modes in few layered transition metal dichalcogenides[J]. Sci. Rep., 2014, 4: 4215 doi: 10.1038/srep04215

    46. [46]

      张泽娟. 多物理场应变调控下二维TMDCs的光学特性研究[D]. 成都: 电子科技大学, 2024: 31-33.ZHANG Z J. Multi-physics field strain induced modulation of optical characterization in two-dimensional transition metal dichalcogenides[D]. Chengdu: University of Electronic Science and Technology of China, 2024: 31-33

    47. [47]

      石颖, 马晓飞, 杨秀娟, 李月玲, 刘玫. 不同厚度二维层状SnSe2纳米材料的拉曼光谱研究[J]. 山东科学, 2018, 31(1): 43-47.SHI Y, MA X F, LI X J, LI Y L, LIU M. Study on Raman spectra of two dimensional layered SnSe2 nanomaterial with different layers[J]. Shandong Science, 2018, 31(1): 43-47

    48. [48]

      谢兵. 二维Bi2O2Se的化学气相沉积生长及厚度依赖的光谱学研究[D]. 南京: 东南大学, 2022: 54-55.XIE B. Chemical vapor deposition growth and thickness-dependent spectroscopic study of two-dimensional Bi2O2Se[D]. Nanjing: Southeast University, 2022: 54-55

    49. [49]

      LUCOVSKY G, WHITE R M, BENDA J A, REVELLI J F. Infrared-reflectance spectra of layered group-Ⅳ and group-Ⅵ transition-metal dichalcogenides[J]. Phys. Rev. B, 1973, 7: 3859-3870 doi: 10.1103/PhysRevB.7.3859

    50. [50]

      ZHAO Y Y, LUO X, LI H, ZHANG J, ARAUJO P T, GAN C K, WU J, ZHANG H, QUEK S Y, DRESSELHAUS M S, XIONG Q H. Interlayer breathing and shear modes in few-trilayer MoS2 and WSe2[J]. Nano Lett., 2013, 13: 1007-1015 doi: 10.1021/nl304169w

    51. [51]

      李新书. 二维过渡金属硫族化物的制备、层数识别与光学性质研究[D]. 长春: 东北师范大学, 2018: 38-40.LI X S. Study of the preparation, layer number identification and optical properties of two-dimensional transition metal dichalcogenides[D]. Changchun: Northeast Normal University, 2018: 38-40

    52. [52]

      刘新科, 王佳乐, 许楚瑜, 罗江流, 梁迪斯, 岑俞诺, 吕有明, 李治文. 单层, 少层和块状WS2薄膜中声子位移随温度的变化[J]. 物理化学学报, 2019, 35(10): 1134-1141.LIU X K, WANG J L, XU C Y, LUO J L, LIANG D S, CEN Y N, LÜ Y P, LI Z W. Temperature-dependent phonon shifts in mono-layer, few-layer, and bulk WS2 films[J]. Acta Phys. ‒Chim. Sin., 2019, 35(10): 1134-1141

    53. [53]

      吴春林, 杨明明, 谭丽, 穆轩宇, 郑洪, 王佳乐, 兰飞飞, 李晓莉. 不同厚度WS2光学性质[J]. 河北大学学报(自然科学版), 2024, 44(6): 613-618.WU C L, YANG M M, TAN L, MU Y X, ZHENG H, WANG J L, LAN F F, LI X L. Optical properties of WS2 with different thickness[J]. Journal of Hebei University (Natural Science Edition)[J]. 2024, 44(6): 613-618

    54. [54]

      ARORA H, FEKRI Z, VEKARIYA Y N, CHAVA P, WATANABE K, TANIGUCHI T, HELM M, ERBE A. Fully encapsulated and stable black phosphorus field-effect transistors[J]. Adv. Mater. Technol., 2022, 8(2): 2200546

  • 图 1  (a) 硅片上不同层数Bi2SeO5纳米片的光学图像; (b) 6层和(c) 18层Bi2SeO5纳米片的光学图像(左)和相应的AFM图(右)

    Figure 1  (a) Optical images of Bi2SeO5 nanosheets with different thicknesses on silicon wafers; Optical images (left) and the corresponding ATM images (right) of (b) 6 layers and (c) 18 layers Bi2SeO5 nanosheets

    图 2  (a) 单晶Bi2SeO5的拉曼谱图; (b) Bi2SeO5纳米片的拉曼强度与层数的依赖关系; (c) 8和10层的Bi2SeO5纳米片的拉曼谱图; (d) 在约231 cm-1处,不同层数纳米片的拉曼位移和强度变化

    Figure 2  (a) Raman spectrum of single crystal Bi2SeO5; (b) Layer-dependent Raman intensity of Bi2SeO5 nanosheets; (c) Raman spectra of different nanosheets of Bi2SeO5 with 8 and 10 layers; (d) Raman shift and intensity variations of nanosheets with different thicknesses at ca. 231 cm-1

    图 3  Bi2SeO5/MoS2 FET的(a) 转移和(b) 输出特性曲线

    Figure 3  (a) Transfer and (b) output characteristic curves of Bi2SeO5/MoS2 FET

    Ids: drain-source current; Vg: gate voltage; Vds: drain-source voltage.

  • 加载中
计量
  • PDF下载量:  4
  • 文章访问数:  231
  • HTML全文浏览量:  26
文章相关
  • 发布日期:  2026-03-10
  • 收稿日期:  2025-06-28
  • 修回日期:  2026-01-22
通讯作者: 陈斌, bchen63@163.com
  • 1. 

    沈阳化工大学材料科学与工程学院 沈阳 110142

  1. 本站搜索
  2. 百度学术搜索
  3. 万方数据库搜索
  4. CNKI搜索

/

返回文章