Syntheses, structures, and catalytic performances of complexes with 4,4′-dihydroxy-[1,1′-biphenyl]-3,3′-dicarboxylic acid ligands

Weizhong LING Jingyi LIN Jianglin ZHU Yuyi LIANG Shanshan DAI Yu LI

Citation:  Weizhong LING, Jingyi LIN, Jianglin ZHU, Yuyi LIANG, Shanshan DAI, Yu LI. Syntheses, structures, and catalytic performances of complexes with 4,4′-dihydroxy-[1,1′-biphenyl]-3,3′-dicarboxylic acid ligands[J]. Chinese Journal of Inorganic Chemistry, 2026, 42(1): 152-160. doi: 10.11862/CJIC.20250204 shu

含4,4′-二羟基-1,1′-联苯-3,3′-二甲酸配体的配合物的合成、结构及其催化性质

    通讯作者: 黎彧, liyuletter@163.com
  • 基金项目:

    广东省科技创新战略专项资金 pdjh2024b541

    广东省普通高校重点领域专项 2024ZDZX2118

    广东轻工职业技术大学大学生科研项目 XSKYL202429

摘要: 利用水热合成方法, 选用4,4′-二羟基-1,1′-联苯-3,3′-二甲酸(H4dbda)与菲咯啉(phen)、1,4-二(4-吡啶基)苯(bpb)或双(4-吡啶基)胺(bpa)分别与CuCl2·2H2O、NiCl2·6H2O和CdCl2·H2O在160 ℃下反应, 合成了3个配合物[Cu2(μ-H2dbda)2(phen)2]·2H2O (1)、[Ni(μ-dbda)(μ-bpb)(H2O)2]n (2)和[Cd(μ-dbda)(μ-bpa)]n (3)。通过红外光谱、元素分析、热重分析以及单晶X射线衍射对这3个配合物进行了全面表征。单晶X射线衍射分析表明这3个配合物的晶体分别属于单斜晶系P21/n、四方晶系I42d和正交晶系P21212空间群, 其结构为双核(1)和二维金属有机网络(23)结构。我们对配合物的催化性质进行了研究。研究表明, 在室温条件下配合物1作为一种多相催化剂在Knoevenagel反应中显示出较高的催化活性且可重复使用。

English

  • Nowadays, the design and synthesis of transition metal coordination polymers (CPs) showing adjustable characteristics and adaptable architectures have become a focal point in contemporary coordination chemistry, attributed to their wide-ranging attributes and promising applications[1-5]. Such materials are capable of multifunctional applications and hold considerable promise across numerous domains, such as gas adsorption[6-11], catalyst[12-19], lighting detection[20-23], including applications in the biomedical field[24]. Their straightforward synthesis, adjustable structure, and notable resilience in chemical reactions have positioned them as a crucial focus within the field of materials research.

    The study of CPs has attracted considerable attention for their remarkable capabilities in the field of catalysis, including adjustable pore structures, high stability, choice, catalytic activity, and easy recovery, rendering them highly effective for catalysis in heterogeneous systems[9,12-19,25-27]. The Knoevenagel condensation, a prominent reaction in the realm of organic chemistry, highlights the significant role of CPs, as demonstrated in studies[25-27], which serves as a key and commonly employed process for forming carbon-carbon (C—C) connections, crucial components in the synthesis of a variety of organic substances, medications, and advanced materials[28-29]. In addition, the process of Knoevenagel condensation usually takes place with the assistance of catalytic agents, which may include either Lewis acids or bases, which enhance reactant activation and promote more effective bond formation[30-31]. So catalytic polymers have gained recognition as effective agents for this process, unlocking new opportunities owing to their varied structural designs and reactive sites, which provide superior benefits in terms of their ability to be reused compared to traditional catalysts, reusable, and under gentle operational settings.

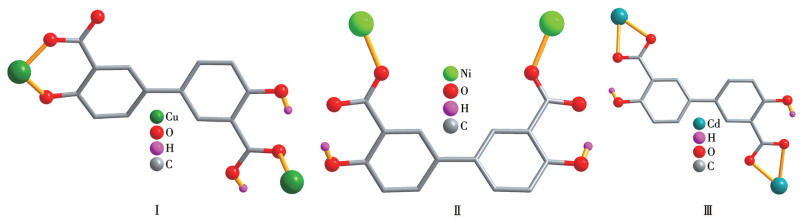
    In the context of our continuing research on integrating commercially obtainable carboxylic acids as connectors for the purpose of crafting functional CPs[13,25-26,32-33], this study explores the viability of utilizing H4dbda (4,4′-dihydroxy-[1,1′-biphenyl]-3,3′-dicarboxylic acid). The use of the dicarboxylic acid as a biphenyl-dicarboxylate bridge for the formation of innovative CPs is being evaluated. With this consideration, a total of three complexes were synthesized and evaluated, employing various metal(Ⅱ) salts, H4dbda, and various auxiliary ligands. These materials display a variety of structural characteristics, a combination of 0D dimer (1) and 2D metal-organic networks (2 and 3). The obtained complexes include [Cu2(μ-H2dbda)2(phen)2]·2H2O (1), [Ni(μ-H2dbda)(μ-bpb)(H2O)2]n (2), and [Cd(μ-H2dbda)(μ-bpa)]n (3), where phen=1,10-phenanthroline, bpb=1,4-bis(pyrid-4-yl)benzene, and bpa=bis(4-pyridyl)amine. In addition, the catalytic capabilities of these complexes were examined in relation to the Knoevenagel reaction, showing their capability to act as proficient catalysts in organic transformations.

    All chemicals and solvents were of AR grade and used without further purification. Carbon, hydrogen, and nitrogen were determined using an Elementar Vario EL elemental analyzer. IR spectra were recorded using KBr pellets and a Bruker EQUINOX 55 spectrometer. Thermogravimetric analysis (TGA) data were collected on a LINSEIS STA PT1600 thermal analyzer with a heating rate of 10 ℃·min-1. Powder X-ray diffraction (PXRD) patterns were measured on a Rigaku-Dmax 2400 diffractometer using Cu radiation (λ=0.154 06 nm); the X-ray tube was operated at 40 kV and 40 mA; the data collection range was between 5° and 45°. Solution 1H NMR spectra were recorded on a JNM ECS 400M spectrometer.

    A mixture of CuCl2·2H2O (0.034 g, 0.20 mmol), H4dbda (0.055 g, 0.20 mmol), phen (0.040 g, 0.20 mmol), NaOH (0.016 g, 0.40 mmol), and H2O (10 mL) was stirred at room temperature for 15 min, and then sealed in a 25 mL Teflon-lined stainless steel vessel, and heated at 160 ℃ for 3 d, followed by cooling to room temperature at a rate of 10 ℃·h-1. Green needle-shaped crystals of 1 were isolated manually and washed with distilled water. Yield: 47% (based on H4dbda). Anal. Calcd. for C26H18CuN2O7(%): C 58.48, H 3.40, N 5.25; Found(%): C 58.26, H 3.42, N 5.28. IR (KBr, cm-1): 3 429m, 3 060w, 1 613s, 1 559m, 1 517w, 1 459s, 1 428w, 1 406w, 1 344w, 1 309w, 1 240w, 1 144w, 1 106w, 1 048w, 932w, 886w, 847w, 774w, 721m, 698w, 636w, 594w.

    A mixture of NiCl2·6H2O (0.048 g, 0.20 mmol), H4dbda (0.055 g, 0.20 mmol), bpb (0.046 g, 0.20 mmol), NaOH (0.016 g, 0.40 mmol), and H2O (10 mL) was stirred at room temperature for 15 min, then sealed in a 25 mL Teflon-lined stainless steel vessel, and heated at 160 ℃ for 3 d, followed by cooling to room temperature at a rate of 10 ℃·h-1. Green block-shaped crystals of 2 were isolated manually, washed with distilled water, and dried. Yield: 43% (based on H4dbda). Anal. Calcd. for C30H24NiN2O8(%): C, 60.13; H, 4.04; N, 4.68. Found(%): C, 60.43; H, 4.02; N, 4.71. IR (KBr, cm-1): 3 433w, 3 105w, 1 620m, 1 562s, 1 474m, 1 400s, 1 355w, 1 284w, 1 246w, 1 155w, 1 068w, 948w, 877m, 823m, 728w, 690w, 644w, 558w.

    A mixture of CdCl2·H2O (0.040 g, 0.2 mmol), H4dbda (0.055 g g, 0.20 mmol), bpa (0.034 g, 0.2 mmol), NaOH (0.016 g, 0.4 mmol), and H2O (10 mL) was stirred at room temperature for 15 min, and then sealed in a 25 mL Teflon-lined stainless steel vessel, and heated at 160 ℃ for 3 d, followed by cooling to room temperature at a rate of 10 ℃·h-1. Colourless block-shaped crystals of 3 were isolated manually and washed with distilled water. Yield: 45% (based on H4dbda). Anal. Calcd. for C24H17CdN3O6(%): C 51.86, H 3.08, N 7.56; Found(%): C 52.17, H 3.10, N 7.53. IR (KBr, cm-1): 1 628m, 1 594s, 1 556m, 1 513m, 1 471m, 1 421s, 1 333w, 1 286w, 1 248w, 1 210m, 1 159w, 1 098w, 1 059w, 1 017m, 957w, 902w, 871w, 816m, 728w, 690m, 644w, 590w, 559m.

    These complexes are insoluble in water and common organic solvents, such as methanol, ethanol, acetone, and DMF.

    The data of three single crystals with dimensions of 0.04 mm×0.03 mm×0.02 mm (1), 0.05 mm×0.03 mm×0.02 mm (2), and 0.07 mm×0.04 mm×0.03 mm (3) were collected at 150(2) K on a Bruker SMART APEX Ⅱ CCD diffractometer with Mo (λ=0.071 073 nm). The structures were solved by direct methods and refined by full matrix least-squares on F2 using the SHELXTL-2014 program. All non-hydrogen atoms were refined anisotropically. All the hydrogen atoms (except for the ones bound to water molecules) were placed in calculated positions with fixed isotropic thermal parameters in included in structure factor calculations in the final stage of full-matrix least-squares refinement. The hydrogen atoms of water molecules were located by different maps and constrained to ride on their parent O atoms. A summary of the crystallography data and structure refinements for 1-3 is given in Table S1 (Supporting information). The selected bond lengths and angles for complexes 1-3 are listed in Table S2. Hydrogen bond parameters of complexes 1-3 are given in Table S3.

    2.1.1   Crystal structure of complex 1

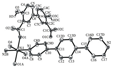
    The structure of complex 1 reveals a dimeric complex that contains one Cu(Ⅱ) ion, one μ-H2dbda2- linker, one phen ligand, and one lattice water molecule in the asymmetric unit (Fig.1). The five-coordinated Cu1 center displays a distorted {CuN2O3} quadrangular pyramidal environment that is constructed from three oxygen atoms of two μ-H2dbda2- linkers and a pair of N atoms of the second ligand phen. The distances of Cu—N [0.200 2(18)-0.200 9(2) nm] and Cu—O [0.188 5(2)-0.244 4(2) nm] bonds agree with typical literature data[26,32]. Two H2dbda2- ligands act as μ-H2dbda2- linkers via monodentate carboxylate groups (Scheme 1, mode Ⅰ), which assemble two Cu1 centers to give a cyclic Cu2 complex with a Cu…Cu separation of 1.229 6(4) nm (Fig.2). Such Cu2 molecular units are involved in an intermolecular H-bonding forming a 2D network (Fig.3).

    Figure 1

    Figure 1.  Drawing of the asymmetric unit of complex 1 with 30% probability thermal ellipsoids

    Symmetry code: A: -x+1, -y+1, -z+1.

    Scheme 1

    Scheme 1.  Coordination modes of H2dbda2- ligands in complexes 1-3

    Figure 2

    Figure 2.  Cu2 dimer structure

    Symmetry code: A: -x+1, -y+1, -z+1.

    Figure 3

    Figure 3.  Two-dimensional H-bonded layer viewed along the a-axis

    Phen ligands are omitted for clarity.

    2.1.2   Crystal structure of complex 2

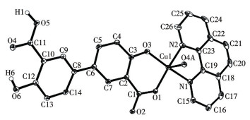
    The asymmetric unit of 2 possesses one crystallo-graphically independent Cu(Ⅱ) ion with 50% occupancy, half a μ-H2dbda2- block, half a μ-bpb second ligand, and a H2O ligand (Fig.4). As shown in Fig.4, the Ni1 ion is six-coordinated and adopts a distorted octahedral {NiN2O4} geometry formed by two carboxylate O atoms from two different μ-H2dbda2- blocks, two O atoms from two H2O ligands and two N atoms from two distinct μ-bpb second ligands. The Ni—O distances are 0.206 5(2)-0.207 6(2) nm, whereas the Ni—N distances are 0.209 2(2)-0.210 0(2) nm; these bonding parameters are agree with those observed in other Ni(Ⅱ) complexes[25,33]. In 2, the H2dbda2- block acts as a μ-spacer (Scheme 1, mode Ⅱ), in which the carboxylate groups exhibit the bidentate modes. The bpb auxiliary ligand adopts a bridging coordination mode. The neighboring Ni(Ⅱ) centers are linked by μ-H2dbda2- and μ-bpb blocks, giving rise to a 2D framework (Fig.5). This complex discloses a 2D structure composed of the 4-linked Ni1 nodes, 2-linked H2dbda2- nodes, and 2-connected bpb linkers with a sql topology and a vertex symbol of (44.62) (Fig.6).

    Figure 4

    Figure 4.  Drawing of the asymmetric unit of complex 2 with 30% probability thermal ellipsoids

    Symmetry codes: A: -x+1/2, y, -z+3/4; B: x, y+1, -z; C: -x+1, -y+2, z; D: -x+1/2, y, -z+3/4.

    Figure 5

    Figure 5.  Two-dimensional metal-organic network viewed along the c-axis

    Figure 6

    Figure 6.  Topological representation of a 4,2,2-connected network with a sql topology viewed along the c-axis

    Green: 4-connected Ni1 nodes, gray: centroids of 2-connected μ-H2dbda2- nodes, dark blue: centroids of 2-connected μ-bpb linkers.

    2.1.3   Crystal structure of complex 3

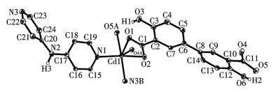
    The structure of 2D CP 3 bears one cadmium(Ⅱ) ion, one μ-H2dbda2- block, and a bpa auxiliary ligand within the asymmetric unit. Each Cd(Ⅱ) ion is six-coordinated in a deformed {CdN2O4} octahedral geometry, which is taken by four O atoms from two μ-H2dbda2- blocks and two N atoms from two distinct bpa auxiliary ligands (Fig.7). The H2dbda2- block acts as a μ-linker (Scheme 1, mode Ⅲ) through its bidentate carboxylate groups. A 2D sheet is formed by bridging cadmium centers through the μ-H2dbda2- and μ-bpa linkers (Fig.8). This 2D network is composed of the 4-linked Cd1 nodes, 2-linked μ-H2dbda2- nodes, and 2-connected μ-bpa linkers (Fig.9). It is a sql topology with a vertex symbol of (44.62) (Fig.9).

    Figure 7

    Figure 7.  Drawing of the asymmetric unit of complex 3 with 30% probability thermal ellipsoids

    Symmetry codes: A: -x+1/2, -y+2, z-1/2; B: x, y+1, z.

    Figure 8

    Figure 8.  Two-dimensional metal-organic network viewed along the a-axis

    Figure 9

    Figure 9.  Topological representation of a 4,2,2-connected network with a sql topology viewed along the a-axis

    Turquoise: 4-connected Cd1 nodes, gray: centroids of 2-connected μ-H2dbda2- nodes, dark blue: centroids of 2-connected μ-bpa linkers

    To determine the thermal stability of complexes 1-3, their thermal behaviors were investigated under a nitrogen atmosphere by TGA. As shown in Fig.10, complex 1 lost its two lattice water molecules in a range of 79-107 ℃ (Obsd. 3.2%, Calcd. 3.4%), followed by the decomposition at 208 ℃. For complex 2, there was a release of two H2O ligands between 69 and 108 ℃ (Obsd. 5.9%, Calcd. 6.0%), whereas a dehydrated sample remained stable up to 351 ℃. Complex 3 does not contain any coordinated or crystallization water, and its framework shows stability on heating until 324 ℃.

    Figure 10

    Figure 10.  TGA curves of complexes 1-3

    Earlier investigations have highlighted the effective use of CPs as catalysts in facilitating Knoevenagel reaction processes[13,18,27,33]. In our current research, we examined the potential of complexes 1-3 to act as heterogeneous catalysts in reactions involving a range of aldehydes and propanedinitrile, carried out in methanol at room temperature, employing benzaldehyde as a reference substrate. The synthesis of 2-benzylidenemalononitrile was conducted (Scheme 2). In addition, the influence of various reaction conditions was examined, including factors like the amount of catalyst used and its ability to be reused, reaction time, solvent based, and substrate scope.

    Scheme 2

    Scheme 2.  Catalytic Knoevenagel condensation of benzaldehyde with malononitrile (model substrate)

    The activity observed with complex 1 was the most pronounced, facilitating the conversion of benzaldehyde to 2-benzylidenemalononitrile with > 99% conversion (Table 1 and Fig. S1). We conducted experiments using complex 1 to assess how varying the reaction parameters impacted the outcomes. By increasing the reaction duration from 10 to 60 min, the yield had a remarkable rise from 51% to more than 99% (Table 1, entries 1-6, Fig. S2). In addition, the quantity of catalyst was assessed for its impact, revealing that increasing catalyst loading (molar fraction) from 1% to 2% enhanced the product yield from 96% to > 99% (Table 1, entries 6 and 11). Additionally, various solvents were evaluated in addition to methanol, including water, ethanol, acetonitrile, and chloroform were found to be less effective, ranging from 65% to 98% in terms of product yields (Table 1, entries 7-10). Nevertheless, unlike complex 1, the activities of complexes 2 and 3 are comparatively diminished, yielding maximum product percentages between 81% and 84% (Table 1, entries 12 and 13). This could be linked to the inclusion of Cu2+ within complex 1, which possesses unsaturated coordination sites[13,28]. The efficiency of the Knoevenagel reaction involving benzaldehyde was significantly diminished when using H4dbda as the catalyst, resulting in a yield of only 28%, while CuCl2 provided a slightly better yield of 32% or in the absence of any catalyst, resulting in a mere 21% yield of the product (Table 1, entries 14-16).

    Table 1

    Table 1.  Catalytic Knoevenagel condensation of benzaldehyde with malononitrile
    下载: 导出CSV
    Entry Catalyst t / min T / ℃ xcat / % Solvent Yield* / %
    1 1 10 25 2.0 CH3OH 51
    2 1 20 25 2.0 CH3OH 69
    3 1 30 25 2.0 CH3OH 81
    4 1 40 25 2.0 CH3OH 91
    5 1 50 25 2.0 CH3OH 96
    6 1 60 25 2.0 CH3OH > 99
    7 1 60 25 2.0 H2O 98
    8 1 60 25 2.0 C2H5OH 95
    9 1 60 25 2.0 CH3CN 87
    10 1 60 25 2.0 CHCl3 65
    11 1 60 25 1.0 CH3OH 96
    12 2 60 25 2.0 CH3OH 84
    13 3 60 25 2.0 CH3OH 81
    14 Blank 60 25 CH3OH 21
    15 CuCl2 60 25 2.0 CH3OH 32
    16 H4dbda 60 25 2.0 CH3OH 28
    * The yield (Y) was calculated by 1H NMR spectroscopy: Y=nproduct/naldehyde×100%.

    In order to assess the compatibility of various substrates in the Knoevenagel condensation involving malononitrile, a range of benzaldehyde derivatives underwent testing under refined conditions utilizing complex 1 as a catalyst (2.0% in methanol at 25 ℃ for 1 h). The observed yields for the products showed considerable variation, spanning from 37% to more than 99% (Table 2). Those benzaldehydes featuring prominent electron-withdrawing groups, including substituents like nitro or halogens in the aromatic ring, demonstrated the greatest reactivity due to their enhanced electrophilic nature (Table 2, entries 2-7). Conversely, the presence of electron-donating substitutions such as methyl or methoxy led to lower product yields (Table 2, entries 10 and 11). The performance of complex 1 was assessed by conducting several cycles of reactions. Following each cycle, the catalyst was isolated via centrifugation, washed with methanol, and subsequently dried at room temperature in the air before reuse. The findings indicated that complex 1 provided remarkable catalytic efficacy for a minimum of five applications, delivering high yields of > 99% in the second cycle and sustaining high efficiency with 99%, 98%, and 96% in the third, fourth, and fifth cycles (Fig. S3). Additionally, the analysis of PXRD demonstrated that the structural composition of complex 1 remained intact (Fig. S4), while the emergence of some additional diffraction peaks and a slight increase in peak width were noted; these observations are typical following several catalytic cycles and could stem from the presence of impurities or slight alterations in the crystal structure. Despite these changes, complex 1 demonstrated catalytic activity comparable to, or even better than, other similar metal-carboxylate-based heterogeneous catalysts (Table S4)[30,34-37].

    Table 2

    Table 2.  Knoevenagel condensation of various aldehydes with malononitrile catalyzed by complex 1a
    下载: 导出CSV
    Entry Substituted benzaldehyde substrate Yieldb / %
    1 Benzaldehyde > 99
    2 2-Nitrobenzaldehyde > 99
    3 3-Nitrobenzaldehyde > 99
    4 4-Nitrobenzaldehyde > 99
    5 4-Chlorobenzaldehyde > 99
    6 4-Bromobenzaldehyde > 99
    7 4-Fluorobenzaldehyde > 99
    8 Pyridine-3-aldehyde > 99
    9 Pyridine-4-aldehyde > 99
    10 4-Methylbenzaldehyde 96
    11 4-Methoxybenzaldehyde 65
    12 4-Hydroxybenzaldehyde 37
    a Reaction conditions: aldehyde (0.5 mmol), propanedinitrile (1.0 mmol), catalyst 1 (2.0%), and CH3OH (1.0 mL) at 25 ℃; b Calculated by 1H NMR spectroscopy.

    In summary, we have synthesized three Cu(Ⅱ)/Ni(Ⅱ)/Cd(Ⅱ) complexes based on a biphenyl-dicarboxylate ligand. The structural types of complexes 1-3 range from a molecular dimer (1) to 2D metal-organic networks (2 and 3). The catalytic performances of these complexes were investigated. Complex 1 revealed an effective catalytic activity in the Knoevenagel condensation reaction at room temperature.


    Supporting information is available at http://www.wjhxxb.cn
    1. [1]

      KUMAR S, MOHAN B, MUSIKAVANHU B, WANG X, MUHAMMAD R, YANG X, REN P. Metal-polymer-coordinated complexes: An expedient class of hybrid functional materials[J]. Coord. Chem. Rev., 2025, 524: 216286 doi: 10.1016/j.ccr.2024.216286

    2. [2]

      RAJESH R U, MATHEW T, KUMAR H, SINGHAI A, THOMAS L. Metal-organic frameworks: Recent advances in synthesis strategies and applications[J]. Inorg. Chem. Commun., 2024, 162: 112223 doi: 10.1016/j.inoche.2024.112223

    3. [3]

      CHAKRABORTY G, PARK I, MEDISHETTY R, VITTAL J J. Two-dimensional metal-organic framework materials: Synthesis, structures, properties and applications[J]. Chem. Rev., 2021, 121: 3751-3891 doi: 10.1021/acs.chemrev.0c01049

    4. [4]

      MAURIN G, SERRE C, COOPER A, FEREY G. The new age of MOFs and their porous-related solids[J]. Chem. Soc. Rev., 2017, 46(11): 3104-3017 doi: 10.1039/C7CS90049J

    5. [5]

      CHEN Z J, KIRLIKOVALI K O, LI P, FARHA O K. Reticular chemistry for highly porous metal-organic frameworks: The chemistry and applications[J]. Accounts Chem. Res., 2022, 55(4): 579-591 doi: 10.1021/acs.accounts.1c00707

    6. [6]

      FAN L M, LIU Z J, ZHANG Y J, ZHAO D S, YANG J D, ZHANG X T. p-Terphenyl-2,2″,5″,5‴-tetracarboxylate acid based bifunctional 1D zinc(Ⅱ) metal-organic platform for luminescent sensing and gas adsorption[J]. Inorg. Chem. Commun., 2019, 107: 107463 doi: 10.1016/j.inoche.2019.107463

    7. [7]

      WU D, LIU J, JIN J, CHENG J G, WANG M, YANG G P, WANG Y Y. New doubly interpenetrated MOF with [Zn4O] clusters and its doped isomorphic MOF: Sensing, dye, and gas adsorption capacity[J]. Cryst. Growth Des., 2019, 19(11): 6774-6783 doi: 10.1021/acs.cgd.9b01193

    8. [8]

      FAN W D, YUAN S, WANG W J, FENG L, LIU X P, ZHANG X R, WANG X, KANG Z X, DAI F N, YUAN D Q, SUN D F, ZHOU H C. Optimizing multivariate metal-organic frameworks for efficient C2H2/CO2 separation[J]. J. Am. Chem. Soc., 2020, 142(19): 8728-8737 doi: 10.1021/jacs.0c00805

    9. [9]

      FAN W D, WANG X, LIU X P, XU R, ZHANG X R, WANG W J, WANG X K, WANG Y T, DAI F N, YUAN D Q, SUN D F. Regulating C2H2 and CO2 storage and separation through pore environment modification in a microporous Ni-MOF[J]. ACS Sustain. Chem. Eng., 2019, 7(2): 2134-2140 doi: 10.1021/acssuschemeng.8b04783

    10. [10]

      SALIMI S, AKHBARI K F, FARNIA S M, TYLIANAKIS E E, FROUDAKIS G M, WHITE J. Nanoporous metal-organic framework based on furan-2,5-dicarboxylic acid with high potential in selective adsorption and separation of gas mixtures[J]. Cryst. Growth Des., 2024, 24(10): 4220-4231 doi: 10.1021/acs.cgd.4c00349

    11. [11]

      KAVAK E, ŞEVIK M, DEĞIRMENCI G, ALP ARICI T, ÖZDEMIR R, ARICI M. Multifunctional anionic Zn(Ⅱ)-MOF for selective CO2 adsorption, cationic dye removal, and luminescence-based pH sensing[J]. Crys. Growth Des., 2024, 24(6): 2415-2424 doi: 10.1021/acs.cgd.3c01311

    12. [12]

      ANDRADE L S, LIMA H H L B, SILVA C T P, AMORIM W L N, POCO J G R, LOPEZ-CASTILLO A, KIRILLOVA M V, CARVALHO W A, KIRILLOV A M, MANDELLI D. Metal-organic frameworks as catalysts and biocatalysts for methane oxidation: The current state of the art[J]. Coord. Chem. Rev., 2023, 481: 215042 doi: 10.1016/j.ccr.2023.215042

    13. [13]

      KANG X Q, REN C, MEI Z Z, FAN X X, XUE J J, SHAO Y L, GU J Z. Hydrothermal assembly, structural multiplicity, and catalytic Knoevenagel condensation reaction of a series of coordination polymers based on a pyridine-tricarboxylic acid[J]. Molecules, 2023, 28: 7474 doi: 10.3390/molecules28227474

    14. [14]

      ZHENG Y, SHEN Q, LI Z, JING X, DUAN C. Two copper-containing polyoxometalate-based metal-organic complexes as heterogeneous catalysts for the C—H bond oxidation of benzylic compounds and olefin epoxidation[J]. Inorg. Chem., 2022, 61(29): 11156-11164 doi: 10.1021/acs.inorgchem.2c01073

    15. [15]

      MARKAD D, MANDAL S K. Synthesis and structural characterization of a novel dinuclear Cu(Ⅱ) complex: An efficient and recyclable bifunctional heterogeneous catalyst for the diastereoselective Henry reaction[J]. Dalton Trans., 2018, 47(17): 5928-5932 doi: 10.1039/C8DT00708J

    16. [16]

      ZHAO L, DU Z G, JI G F, WANG Y F, CAI W, HE C, DUAN C Y. Eosin Y-containing metal-organic framework as a heterogeneous catalyst for direct photoactivation of inert C—H bonds[J]. Inorg. Chem., 2022, 61(19): 7256-7265 doi: 10.1021/acs.inorgchem.1c03813

    17. [17]

      LI K, LIU Y F, LIN X L, YANG G P. Copper-containing polyoxometalate-based metal-organic frameworks as heterogeneous catalysts for the synthesis of N-heterocycles[J]. Inorg. Chem., 2022, 61(18): 6934-6942 doi: 10.1021/acs.inorgchem.2c00287

    18. [18]

      REN M Y, LI C, HU T P, FAN L M, ZHANG X T. Robust nitro-functionalized {Zn3}-organic framework for excellent catalytic performance on cycloaddition reaction of CO2 with epoxides and Knoevenagel condensation[J]. Cryst. Growth Des., 2024, 24(8): 3473-3482 doi: 10.1021/acs.cgd.4c00209

    19. [19]

      KUMARI P, PANDA T. Role of N-rich coordination environment in metal-organic frameworks for enhanced photocatalytic dye degradation[J]. Cryst. Growth Des., 2024, 24(11): 4493-4500 doi: 10.1021/acs.cgd.4c00141

    20. [20]

      PATEL N, SHUKLA P, LAMA P, DAS S, PAL T K. Engineering of metal-organic frameworks as ratiometric sensors[J]. Cryst. Growth Des., 2022, 22(5): 3518-3564 doi: 10.1021/acs.cgd.1c01268

    21. [21]

      MÖRTEL M, OSCHWALD J, SCHEURER A, DREWELLO T, KHUSNIYAROV M M. Molecular valence tautomeric metal complexes for chemosensing[J]. Inorg. Chem., 2021, 60(18): 14230-14237 doi: 10.1021/acs.inorgchem.1c01731

    22. [22]

      SARKAR S, DAGA P, MONDAL S K, MAHATA P. Functional three-dimensional Ce-based coordination polymer: Synthesis, structure, and selective sensing of lysine and arginine based on the luminescence turn-on effect[J]. Cryst. Growth Des., 2024, 24(11): 4748-4757 doi: 10.1021/acs.cgd.4c00354

    23. [23]

      SHEN S, LIU Y, HUANG K, ZHANG X Y, QIN D B, ZHAO B. Developing a bifunctional copper-organic framework for fluorescence turn-on Hg2+ sensing and catalyzing CO2 cycloaddition reaction[J]. Cryst. Growth Des., 2024, 24(11): 4333-4341 doi: 10.1021/acs.cgd.3c01447

    24. [24]

      HUNG P Q, LIN P Y, WANG X H, HO J A. Metal-organic frameworks in diagnostics, therapeutics, and other biomedical applications[J]. J. Chin. Chem. Soc., 2023, 70: 1284-1296 doi: 10.1002/jccs.202300101

    25. [25]

      梅震中, 王鸿宇, 亢秀琪, 邵永亮, 顾金忠. 三个包含四羧酸配体的配位聚合物的合成及其催化性质[J]. 无机化学学报, 2024, 40(9): 1795-1802MEI Z Z, WANG H Y, KANG X Q, SHAO Y L, GU J Z. Syntheses, crystal structures, and catalytic properties of three zinc(Ⅱ), nickel(Ⅱ) and cobalt(Ⅱ) coordination polymers constructed from 4,4′-(pyridin-3,5-diyl)dibenzoic acid[J]. Chinese J. Inorg. Chem., 2024, 40(9): 1795-1802

    26. [26]

      GU J Z, WEN M, CAI Y, SHI Z F, AROL A S, KIRILLOVA M V, M. KIRILLOV A. Metal-organic architectures assembled from multifunctional polycarboxylates: Hydrothermal self-assembly, structures, and catalytic activity in alkane oxidation[J]. Inorg. Chem., 2019, 58(4): 2403-2412 doi: 10.1021/acs.inorgchem.8b02926

    27. [27]

      LOUKOPOULOS E, KOSTAKIS G E. Review: Recent advances of one-dimensional coordination polymers as catalysts[J]. J. Coord. Chem., 2018, 71: 371-410 doi: 10.1080/00958972.2018.1439163

    28. [28]

      HARTMANN M, FISCHER M. Amino-functionalized basic catalysts with MIL-101[J]. Microporous Mesoporous Mat., 2012, 164: 38-43 doi: 10.1016/j.micromeso.2012.06.044

    29. [29]

      LIN X M, LI T T, CHEN L F, ZHANG L, SU C Y. Two ligand-functionalized Pb(Ⅱ) metal-organic frameworks: Structures and catalytic performances[J]. Dalton Trans., 2012, 41(34): 10422-10429 doi: 10.1039/c2dt30935a

    30. [30]

      GASCON J, AKTAY U, HERNANDEZ-ALONSO M D, VAN KLINK G P M, KAPTEIJN F. Amino-based metal-organic frameworks as stable, highly active basic catalysts[J]. J. Catal., 2009, 261: 75-87 doi: 10.1016/j.jcat.2008.11.010

    31. [31]

      边延将, 秦英, 肖立伟, 李记太. Knoevenagel缩合反应研究的新进展[J]. 有机化学, 2006, 26(9): 1165-1172BIAN Y J, QIN Y, XIAO L W, LI J T. New advances of Knoevenagel condensation reactions[J]. Chin. J. Org. Chem., 2006, 26(9): 1165-1172

    32. [32]

      CHENG X Y, GUO L R, WANG H Y, GU J Z, YANG Y, KIRILLOVA M V, KIRILLOV A M. Coordination polymers from biphenyl-dicarboxylate linkers: Synthesis, structural divisity, interpenetration, and catalytic properties[J]. Inorg. Chem., 2022, 61(32): 12577-12590 doi: 10.1021/acs.inorgchem.2c01488

    33. [33]

      ZHANG H R, KANG X Q, GU J Z. Synthesis of coordination compounds with 4′-(carboxymethoxy)-[1,1′-biphenyl]-4-carboxylate ligand and their catalytic activities towards the Knoevenagel condensation and cyanosilylation reactions[J]. J. Saudi Chem. Soc., 2024, 28: 101817 doi: 10.1016/j.jscs.2024.101817

    34. [34]

      FAN W D, WANG Y T, XIAO Z Y, ZHANG L L, GONG Y Q, DAI F N, WANG R M, SUN D F. A stable amino-functionalized interpenetrated metal-organic framework exhibiting gas selectivity and pore-size-dependent catalytic performance[J]. Inorg. Chem., 2017, 56(22): 13634-13637 doi: 10.1021/acs.inorgchem.7b02148

    35. [35]

      WANG X F, ZHOU S B, DU C C, WANG D Z, JIA D. Seven new Zn(Ⅱ)/Cd(Ⅱ) coordination polymers with 2-(hydroxymethyl)-1H-benzo dimidazole-5-carboxylic acid: Synthesis, structures and properties[J]. J. Solid State Chem., 2017, 252: 72-85 doi: 10.1016/j.jssc.2017.04.039

    36. [36]

      YAO C, ZHOU S L, KANG X J, ZHAO Y, YAN R, ZHANG Y, WEN L L. A cationic zinc-organic framework with Lewis acidic and basic bifunctional sites as an efficient solvent-free catalyst: CO2 fixation and Knoevenagel condensation reaction[J]. Inorg. Chem., 2018, 57(17): 11157-11164 doi: 10.1021/acs.inorgchem.8b01713

    37. [37]

      LAHA B, KHULLAR S, GOGIA A, MANDAL S K. Effecting structural diversity in a series of Co(Ⅱ)-organic frameworks by the interplay between rigidity of a dicarboxylate and flexibility of bis (tridentate) spanning ligands[J]. Dalton Trans., 2020, 49(35): 12298-12310 doi: 10.1039/D0DT02153A

  • Figure 1  Drawing of the asymmetric unit of complex 1 with 30% probability thermal ellipsoids

    Symmetry code: A: -x+1, -y+1, -z+1.

    Scheme 1  Coordination modes of H2dbda2- ligands in complexes 1-3

    Figure 2  Cu2 dimer structure

    Symmetry code: A: -x+1, -y+1, -z+1.

    Figure 3  Two-dimensional H-bonded layer viewed along the a-axis

    Phen ligands are omitted for clarity.

    Figure 4  Drawing of the asymmetric unit of complex 2 with 30% probability thermal ellipsoids

    Symmetry codes: A: -x+1/2, y, -z+3/4; B: x, y+1, -z; C: -x+1, -y+2, z; D: -x+1/2, y, -z+3/4.

    Figure 5  Two-dimensional metal-organic network viewed along the c-axis

    Figure 6  Topological representation of a 4,2,2-connected network with a sql topology viewed along the c-axis

    Green: 4-connected Ni1 nodes, gray: centroids of 2-connected μ-H2dbda2- nodes, dark blue: centroids of 2-connected μ-bpb linkers.

    Figure 7  Drawing of the asymmetric unit of complex 3 with 30% probability thermal ellipsoids

    Symmetry codes: A: -x+1/2, -y+2, z-1/2; B: x, y+1, z.

    Figure 8  Two-dimensional metal-organic network viewed along the a-axis

    Figure 9  Topological representation of a 4,2,2-connected network with a sql topology viewed along the a-axis

    Turquoise: 4-connected Cd1 nodes, gray: centroids of 2-connected μ-H2dbda2- nodes, dark blue: centroids of 2-connected μ-bpa linkers

    Figure 10  TGA curves of complexes 1-3

    Scheme 2  Catalytic Knoevenagel condensation of benzaldehyde with malononitrile (model substrate)

    Table 1.  Catalytic Knoevenagel condensation of benzaldehyde with malononitrile

    Entry Catalyst t / min T / ℃ xcat / % Solvent Yield* / %
    1 1 10 25 2.0 CH3OH 51
    2 1 20 25 2.0 CH3OH 69
    3 1 30 25 2.0 CH3OH 81
    4 1 40 25 2.0 CH3OH 91
    5 1 50 25 2.0 CH3OH 96
    6 1 60 25 2.0 CH3OH > 99
    7 1 60 25 2.0 H2O 98
    8 1 60 25 2.0 C2H5OH 95
    9 1 60 25 2.0 CH3CN 87
    10 1 60 25 2.0 CHCl3 65
    11 1 60 25 1.0 CH3OH 96
    12 2 60 25 2.0 CH3OH 84
    13 3 60 25 2.0 CH3OH 81
    14 Blank 60 25 CH3OH 21
    15 CuCl2 60 25 2.0 CH3OH 32
    16 H4dbda 60 25 2.0 CH3OH 28
    * The yield (Y) was calculated by 1H NMR spectroscopy: Y=nproduct/naldehyde×100%.
    下载: 导出CSV

    Table 2.  Knoevenagel condensation of various aldehydes with malononitrile catalyzed by complex 1a

    Entry Substituted benzaldehyde substrate Yieldb / %
    1 Benzaldehyde > 99
    2 2-Nitrobenzaldehyde > 99
    3 3-Nitrobenzaldehyde > 99
    4 4-Nitrobenzaldehyde > 99
    5 4-Chlorobenzaldehyde > 99
    6 4-Bromobenzaldehyde > 99
    7 4-Fluorobenzaldehyde > 99
    8 Pyridine-3-aldehyde > 99
    9 Pyridine-4-aldehyde > 99
    10 4-Methylbenzaldehyde 96
    11 4-Methoxybenzaldehyde 65
    12 4-Hydroxybenzaldehyde 37
    a Reaction conditions: aldehyde (0.5 mmol), propanedinitrile (1.0 mmol), catalyst 1 (2.0%), and CH3OH (1.0 mL) at 25 ℃; b Calculated by 1H NMR spectroscopy.
    下载: 导出CSV
  • 加载中
计量
  • PDF下载量:  0
  • 文章访问数:  955
  • HTML全文浏览量:  73
文章相关
  • 发布日期:  2026-01-10
  • 收稿日期:  2025-06-13
  • 修回日期:  2025-09-25
通讯作者: 陈斌, bchen63@163.com
  • 1. 

    沈阳化工大学材料科学与工程学院 沈阳 110142

  1. 本站搜索
  2. 百度学术搜索
  3. 万方数据库搜索
  4. CNKI搜索

/

返回文章