Citation: Yanzhe WANG, Xiaoming GUO, Qiangsheng GUO, Liang LI, Bin LU, Peihang YE. Effect of Ce introduction on the low-temperature performance of NiAl catalyst for CO2 methanation[J]. Chinese Journal of Inorganic Chemistry, 2025, 41(11): 2218-2228. doi: 10.11862/CJIC.20250202
Ce的引入对NiAl催化CO2甲烷化低温性能的影响
English
Effect of Ce introduction on the low-temperature performance of NiAl catalyst for CO2 methanation
-
Key words:
- CO2 methanation
- / NiAl catalyst
- / CeO2
- / Ni specific surface area
- / reaction pathway
-
0. 引言
随着大气中CO2浓度的不断攀升,全球正面临日益严峻的气候变化、环境恶化及生态系统失衡等多重挑战。在此背景下,人们在积极推动减排措施的同时,也将CO2捕集与资源化利用技术列为重点研究方向。将CO2转化为高附加值的化学品如甲醇、乙醇、丙烷、低碳烯烃和二甲醚等是CO2回收利用的重要途径[1-2]。然而,这些工艺路线通常需要在高压下进行,并且存在平衡转化率低、产物选择性不理想等缺点。
CO2加氢制甲烷反应也称为Sabatier反应。该反应具有较多优点:平衡转化率高,具有热力学优势;甲烷选择性高,在低温下几乎没有副产物;反应条件温和,多数在常压下可完成;此外,产物甲烷可以利用现有的天然气基础设施来运输和储存。因此,该反应路线被认为是CO2转化利用最具实际意义的途径之一[3-4]。然而,绿色和廉价H2的获得一直是Sabatier反应规模化应用的障碍。近年来,太阳能、风能和潮汐能等可再生能源工程发展迅速,但其具有固有的间歇性特征以及电力储存问题,因此电转气(power to gas,PtG)技术应运而生[5-6]。该技术将发电高峰期的剩余电能用来电解水制H2,然后通过CO2加氢合成甲烷。通过该技术路线,清洁电能以化学能的形式储存在甲烷气体中,同时实现了CO2的转化利用。
CO2甲烷化所使用的催化剂通常分为贵金属催化剂和Ni基催化剂两大类。尽管Ru、Rh等贵金属催化剂表现出优秀的催化性能[7-8],但高昂的成本阻碍了其大规模工业应用。Ni基催化剂活性高、价格低廉,是CO2甲烷化比较理想的催化剂[3-4]。然而,Ni基催化剂的低温活性和稳定性仍需进一步提高,需要采取多种策略对其进行改性,其中添加助剂是改善Ni基催化剂性能的有效策略。碱金属[9-10]和碱土金属[10-12]助剂通常用来调节催化剂的表面碱性。过渡金属助剂,如V[13]、Cr[14]、Mn[15]和Fe[16]往往可以改善各组分之间的相互作用,进而改变NiO的氧化还原性能。稀土金属助剂是改性Ni基催化剂最常用的助剂,具有数量多、功能多样化的特点[17-23]。例如,Takano等[17]制备了Y掺杂的Ni/ZrO2催化剂,发现Y掺杂促进了氧缺陷的产生,大大提高了Ni/ZrO2的催化活性。Zhou等[18]基于类水滑石前驱体制备了一系列La改性的NiAl催化剂。La的添加能提高Ni的分散度,促进NiO组分的还原,大大提高了CO2甲烷化催化活性,还抑制了Ni颗粒的团聚并延长了催化剂的使用寿命。CeO2既可作为结构助剂,也可用作电子助剂,在Ni基催化领域应用广泛[20-23]。例如,Sun等[20]在Ni/SBA-16催化剂中添加Ce,提高了Ni的分散度,同时产生了大量中等强度的碱性位,从而提高了催化性能。在基于类水滑石前驱体的NiAl催化剂中,Ce能增加催化剂中的氧空位,调节金属载体间的相互作用[20-21]。Zhang等[23]采用溶剂热法制备了Ni/AlCe催化剂,催化剂中的Al和Ce形成了钙钛矿型的AlCeO3固溶体。该催化剂具有优良的低温CO2甲烷化活性,这是由于钙钛矿型AlCeO3固溶体的中等碱性位数量多,有利于CO2吸附和甲酸盐中间物种的形成,从而大大加速甲酸盐中间体向目标甲烷产物的转化。由此可见,Ce助剂对Ni基催化剂催化CO2甲烷化性能的影响与载体性质、Ni的负载量、催化剂的织构特性、预处理条件及制备方法等因素密切相关。
基于此,我们采用常规的共沉淀法制备了一系列NiAlCex(x=0.1、0.2、0.4、0.6,x为Ce的物质的量与Al和Ce总物质的量的比值)催化剂并用于CO2甲烷化反应,研究了Ce取代部分Al后,催化剂织构、结构、还原性和表面性质的变化,并对其物化性质与催化性能之间的关系进行了讨论。此外,还采用原位漫反射傅里叶变换红外光谱(DRIFTS)表征技术对CO2甲烷化的机理进行了初步探讨。
1. 实验部分
1.1 催化剂的制备
采用共沉淀法制备NiAlCex(x=0.1、0.2、0.4、0.6)催化剂,所用试剂均为分析纯,均购自上海泰坦科技股份有限公司。将一定量的Ni(NO3)2·6H2O、Al(NO3)3·9H2O和Ce(NO3)3·6H2O溶于去离子水中形成硝酸盐溶液。在60 ℃剧烈搅拌下,将沉淀剂(1 mol·L-1的Na2CO3水溶液)滴加到上述硝酸盐溶液中,直至pH=8.0。将得到的悬浊液在60 ℃下老化12 h,过滤后用去离子水洗涤至中性,然后置于80 ℃烘箱中干燥24 h,最后在450 ℃马弗炉中焙烧4 h,得到催化剂NiAlCex,其中Ni的物质的量与Al和Ce总物质的量的比值(y)保持为1.0。当不添加Ce时,制备得到催化剂NiAl;当不添加Al、仅添加Ce时,制备得到催化剂NiCe;单组分NiO由Ni(NO3)2·6H2O在450 ℃马弗炉中焙烧4 h制得。
1.2 催化剂的表征
N2吸附-脱附测试在ASAP 2020 HD88全自动比表面及孔隙度分析仪(Micromeritics)上进行。首先将样品在200 ℃下真空处理10 h,然后在液氮温度(-196 ℃)下进行N2吸附和解吸。催化剂的比表面积采用Braunauer-Emmett-Teller(BET)方法计算,而样品的孔径和孔体积则根据Barrett-Joyner-Halenda(BJH)模型计算。
催化剂的晶体结构分析在Panalytical X′Pert3 X射线衍射仪上进行,使用Cu Kα射线源(λ=0.154 nm),工作电压为40 kV,工作电流为40 mA,扫描范围2θ=20°~80°,扫描速度为5 (°)·min-1。还原后催化剂的结构测试过程如下:首先将催化剂在500 ℃下还原2 h,然后冷却到室温,在进行XRD测试前保存在氮气气氛中。
采用自建的程序升温还原(TPR)装置对催化剂的还原性能进行测试。H2-TPR实验具体步骤如下:称取50 mg催化剂在300 ℃下用氮气吹扫30 min,冷却至50 ℃。然后在H2/N2(10%,V/V)气氛中以5 ℃·min-1的升温速率加热至800 ℃,用热导检测器(TCD)检测H2消耗量。
CO2程序升温脱附(CO2-TPD)测试在自建的实验装置上进行。首先将50 mg催化剂装入内径为5 mm的石英玻璃反应管中,在500 ℃下用H2/N2(10%,V/V)还原2 h后冷却至50 ℃。在该温度下通入CO2/N2(5%,V/V)混合气,吸附30 min。随后切换成高纯N2将物理吸附的CO2吹扫干净,再以5 ℃·min-1的升温速率升至500 ℃,采用质谱仪(Pefeiffer Vacuum Quadstar,32-bit)检测脱附CO2的信号。
金属Ni的比表面积(SNi,m2·g-1)由CO化学吸附法测定,采用质谱仪检测气体信号。首先将100 mg的催化剂与300 mg的石英砂混合均匀,然后装入4 mm内径的石英管中,在500 ℃用H2/Ar(5%,V/V)还原2 h,然后在Ar气氛下将样品冷却至50 ℃。通过六通阀将CO/Ar(5%,V/V)以每次800 μL的体积注入石英管中,直至吸附饱和。根据以下公式计算催化剂中Ni的表面积:
$ S_{\mathrm{Ni}}=f_{\mathrm{CO} / \mathrm{Ni}} V_{\mathrm{S}} N_{\mathrm{A}} A_{\mathrm{m}} /\left(W_{\text {cat }} V_{\mathrm{m}}\right) $ 其中,Wcat表示催化剂的质量(g),Am表示CO分子的有效覆盖面积(1.6×10-15 cm2)[24],NA表示阿伏伽德罗常数(6.02×1023 mol-1),VS表示CO总吸附量(mL),fCO/Ni表示CO化学吸附计量数(基于CO线式吸附,fCO/Ni=1),Vm为标准状态下气体的摩尔体积(22 400 mL·mol-1)。
催化剂的表面元素组成及价态在X射线光电子能谱仪(XPS,ESCALAB250Xi,Thermo Fisher Scientific)上测定,使用Al Kα(1.486 6 keV)为激发源,以C1s(284.8 eV)峰进行校准。催化剂的预还原处理过程在原位反应腔中进行,首先将催化剂在500 ℃还原2 h,冷却至室温后转移到分析腔室进行XPS测试。
原位DRIFTS测试在Nicolet 6700(Thermo Fisher Scientific)红外光谱仪上进行。首先将催化剂在含有10% H2/N2的原位池中还原2 h,然后在N2气氛下冷却至30 ℃,并在此过程中收集一系列不同温度下的背景信号。将还原后的样品加热到所需的反应温度,然后通入原料气H2/CO2/N2(72∶18∶10,V/V,下同),再采集光谱信息。在记录光谱之前,每个温度点保持20 min以确保反应达到稳定状态。
1.3 催化剂的活性评价
催化剂的CO2甲烷化性能测试在固定床反应器上进行。将0.15 g催化剂(40~60目)与0.45 g石英砂混合均匀并装入内径为5 mm的石英反应管中,固定催化剂床层位于反应炉的恒温区。采用10% H2/N2(流速30 mL·min-1)混合气将催化剂在500 ℃预还原3 h,还原结束后降至室温。切换至反应气(H2/CO2/N2),控制流量为60 mL·min-1,重时空速(WHSV)为24 000 mL·g-1·h-1,以2 ℃·min-1的升温速率升至目标温度后进行反应。待反应稳定2 h后,将产物导入装有TCD和火焰离子化检测器(FID)的气相色谱仪中进行在线检测。CO2转化率(
)、CH4选择性($ {X}_{C{O}_{2}} $ )和CO选择性(SCO)的计算公式如下:$ {S}_{C{H}_{4}} $ $ X_{\mathrm{CO}_2} =1-\frac{A_{\mathrm{N}_2}^0 A_{\mathrm{CO}_2}^*}{A_{\mathrm{N}_2}^* A_{\mathrm{CO}_2}^0}$ $ S_{\mathrm{CH}_4} =\frac{A_{\mathrm{N}_2}^0 A_{\mathrm{CH}_4}^* f_{\mathrm{CH}_4}}{A_{\mathrm{CO}_2}^0 f_{\mathrm{CO}_2} A_{\mathrm{N}_2}^*-A_{\mathrm{CO}_2}^* f_{\mathrm{CO}_2} A_{\mathrm{N}_2}^0}$ $ S_{\mathrm{CO}} =\frac{A_{\mathrm{N}_2}^0 A_{\mathrm{CO}}^* f_{\mathrm{CO}}}{A_{\mathrm{CO}_2}^0 f_{\mathrm{CO}_2} A_{\mathrm{N}_2}^*-A_{\mathrm{CO}_2}^* f_{\mathrm{CO}_2} A_{\mathrm{N}_2}^0} $ 其中,Ai0和Ai*分别为反应前和反应后各组分(i)在色谱图中的峰面积(i为N2、CO2、CH4、CO),fi为相对摩尔校正因子。
2. 结果与讨论
2.1 催化剂的织构性质
催化剂的比表面积、孔容和平均孔径如表 1所示。NiAl的BET比表面积(SBET)最大。随着Ce含量的升高,催化剂的比表面积迅速下降,从NiAl的173 m2·g-1下降到NiAlCe0.6的81 m2·g-1,NiCe的比表面积只有36 m2·g-1。催化剂的孔容(Vpore)变化不大,在0.23~0.31 cm3·g-1之间。Ce含量较少时,孔径也变化不大,但当x > 0.6时,孔径明显增大,这可能与堆积孔的形成有关。表 1还列出了经还原后催化剂中金属Ni的比表面积(SNi)。随着Ce含量的升高金属Ni的比表面积先增加后减小,当x=0.2时,金属Ni的比表面积达到最大值(5.9 m2·g-1)。这表明在NiAl催化剂中引入适量的Ce可以提高金属Ni的分散度。
表 1
Catalyst SBET / (m2·g-1) Vpore / (cm3·g-1) Pore width / nm SNi / (m2·g-1) NiAl 173 0.30 6.1 4.5 NiAlCe0.1 135 0.31 6.0 5.8 NiAlCe0.2 129 0.25 5.4 5.9 NiAlCe0.4 103 0.23 6.7 5.7 NiAlCe0.6 81 0.26 9.8 4.9 NiCe 36 0.27 23.5 4.9 2.2 催化剂的结构分析
图 1为还原前后催化剂的XRD图。如图 1a所示,对于NiAl,在2θ=37.3°、44.3°和64.3°处出现了3个较宽的衍射峰。因为NiO(PDF No.47-1049)和NiAl2O4(PDF No.01-1239)在这几处的衍射峰位置接近,所以这些峰是NiO和NiAl2O4的信号叠加。随着Ce的引入,在2θ=28.5°、33.1°、47.5°和56.6°处出现了CeO2的特征衍射峰(PDF No.34-0394),分别对应为立方相CeO2的(111)、(200)、(220)和(311)晶面。随着Ce含量的增加,CeO2的衍射峰强度增加,峰形变窄。同时,NiO和NiAl2O4的衍射峰强度逐渐减弱,在NiAlCe0.4上已经看不到NiAl2O4的衍射峰。这表明CeO2的引入抑制了NiO的晶化团聚,促进了其分散。NiAl2O4物相的快速消失与2个因素有关,一是Ce取代Al后,Al含量减少,形成的NiAl2O4减少;另一方面是Ce削弱了NiO与Al2O3的作用,抑制了NiAl2O4的形成[23]。如图 1b所示,还原后催化剂在2θ=44.6°、51.9°、76.5°出现金属Ni的特征衍射峰(PDF No.70-0989)。在NiAl和NiAlCe0.2上仍然观察到NiO和NiAl2O4的衍射峰,说明NiO和NiAl2O4尖晶石并没有完全被还原。当x > 0.2时,NiO的衍射峰消失,NiO被完全还原。该结果表明Ce的加入可以促进NiO的还原。所有的催化剂在还原前后都没有出现Al2O3的衍射峰,说明Al2O3以无定型的形式存在。
图 1
2.3 催化剂的还原性能
催化剂的H2-TPR曲线如图 2所示。NiCe催化剂的还原反应出现在300~400 ℃,还原峰温度约为365 ℃,与单一组分NiO的还原峰温度很接近。这表明在NiCe催化剂中,NiO与CeO2之间的作用弱,NiO组分几乎相当于“独立的NiO”[25]。在温度高于750 ℃时,NiCe样品的还原曲线有上扬的趋势,这是因为CeO2开始被还原[20]。对于NiAl催化剂,还原带出现在400~750 ℃,还原峰温度远高于单一组分的NiO,这是NiO与Al2O3之间存在相互作用导致的[26-27]。NiAl催化剂的还原带大致可以分为3段。第1段出现在400~450 ℃之间,记为α,这部分的还原归属为与Al2O3作用弱的NiO的还原[28]。由图可见,NiAl催化剂α段的耗氢量很小。第2段位于450~670 ℃,记为β,归属为与Al2O3有强相互作用的NiO的还原,这部分的氢气消耗在整个还原中占比大[26]。第3段为还原温度高于670 ℃的γ段,对应NiAl2O4尖晶石中NiO的还原[27]。随着Ce的引入,α段温度向低温偏移,同时耗氢量逐渐增大。β段的还原温度也显著向低温偏移,耗氢量减小。这表明Ce取代部分Al后削弱了NiO与Al2O3之间的作用,且弱相互作用的NiO占比增加。γ段的耗氢量随着Ce含量的增加而逐渐减小,当x=0.4时,γ段的耗氢量几乎降为零,这进一步验证了Ce的加入抑制了NiAl2O4尖晶石的生成,该结果与XRD的结果相一致。
图 2
2.4 催化剂的表面元素组成及价态
为了研究催化剂的表面组成和元素化学态,对催化剂进行了XPS测试。如图 3a所示,对于还原前的NiAl样品,在855.1和861.2 eV处的光电子能谱峰分别归属于Ni2+2p3/2特征峰和卫星峰。单组分NiO的Ni2+2p3/2光电子能谱峰会出现多重分裂[29-30],而NiAl中Ni2+2p3/2的光电子能谱峰并没有明显的分裂。同时,与单组分NiO的Ni2+2p3/2结合能(853.3~853.9 eV)相比[31-32],NiAl催化剂中Ni2+2p3/2的结合能增加了1.2~1.8 eV。这些结果表明催化剂中NiO与Al2O3之间有强的电子相互作用,Ni2+把电子推向Al3+ [16]。随着Ce的引入,Ni2+2p3/2的光电子能谱峰向低结合能方向偏移,且逐渐出现分裂的特征,这充分证明Ce的引入削弱了Ni与Al之间的相互作用。对NiCe而言,Ni2+2p3/2的光电子能谱峰与典型的单组分NiO基本一致,表明Ni与Ce之间的作用非常弱。图 3b是还原后样品的Ni2p谱图。NiAl催化剂中出现了很弱的Ni0峰,Ni2+的峰仍然很强。这说明NiAl中的NiO没有完全被还原,其原因是Ni与Al的强相互作用导致NiO的还原难度增大[33]。此外,NiAl中形成了NiAl2O4尖晶石,其中的NiO很难被还原[27]。NiAl中引入Ce后,伴随着Ni2+峰强度的下降,Ni0峰强度显著增加,峰位置也随着Ce含量的增加往低结合能方向偏移,而NiCe的NiO峰完全消失。这些结果表明引入Ce削弱了Ni与Al之间的电子相互作用,大大促进了NiO的还原,与XRD和H2-TPR的结果一致。
图 3
根据XPS计算得到的催化剂的表面金属含量如表 2所示。NiAl表面的Al的浓度远高于计量浓度,而Ni的浓度则低很多。表面Al富集现象是Al基氧化物催化剂的一个特征[19, 34]。随着Ce含量的增加,表面Al的占比减小,而Ni的占比增加,其中NiAlCe0.4中表面Al、Ni的含量及y值已经接近计量值。NiCe表面的Ni的占比高于计量比,呈现“富镍贫铈”的现象。这些结果表明Ce的引入有利于Ni在催化剂表面的分布。
表 2
Catalyst Atomic fraction / % y Ni Al Ce NiAl 19.0 (50) 81.0 (50) 0.0 (0) 0.24 (1.0) NiAlCe0.1 40.7 (50) 57.2 (45) 2.1 (5) 0.68 (1.0) NiAlCe0.2 43.7 (50) 47.9 (40) 8.4 (10) 0.78 (1.0) NiAlCe0.4 47.6 (50) 30.7 (30) 21.7 (20) 0.91 (1.0) NiAlCe0.6 51.6 (50) 23.8 (20) 24.5 (30) 1.07 (1.0) NiCe 67.4 (50) 0.0 (0) 32.6 (50) 2.07 (1.0) *The data in parentheses were the nominal values of the catalysts. 2.5 催化剂的表面碱性
催化剂的CO2-TPD曲线如图 4所示。这些曲线大致可以分为3个区域:50~175 ℃为弱碱性位区,这部分碱性位归属为催化剂表面的羟基,属于Brønsted碱性位,CO2吸附在该表面羟基上形成碳酸氢盐[35-36];175~250 ℃为中强碱位区,该碱性位为催化剂表面的氧离子,属于Lewis碱性位,CO2的碳原子与该氧离子形成化学键,CO2的一个氧则插入到相邻的氧空位上,从而形成双齿碳酸盐(b-CO32-)[37-38];250~450 ℃的强碱位对应表面的不饱和氧离子,其也属于Lewis碱性位,CO2吸附在该不饱和氧离子上形成单齿碳酸盐(m-CO32-)[37, 39]。碳酸盐中间体形成的示意图如图 5所示。NiAl催化剂上的CO2脱附峰很小,且主要为弱碱位。随着Ce的引入和增加,3个碱性位区的CO2脱附峰面积都增加,脱附峰尤其是强碱性位的脱附峰略往高温偏移,表明Ce的引入增加了碱性位数量,提高了碱性位的强度。当x=0.4时,碱性位数量达到最大,碱性位最强。NiCe样品几乎只有弱碱性位,且CO2脱附峰很小,这与NiCe的表面积很小有关系。在NiAl催化剂中引入Ce后,会形成更多的氧空位和晶格缺陷,这是NiAlCex表面碱性位数量和强度增加的主要原因[23, 40]。
图 4
图 5
2.6 原位DRIFTS
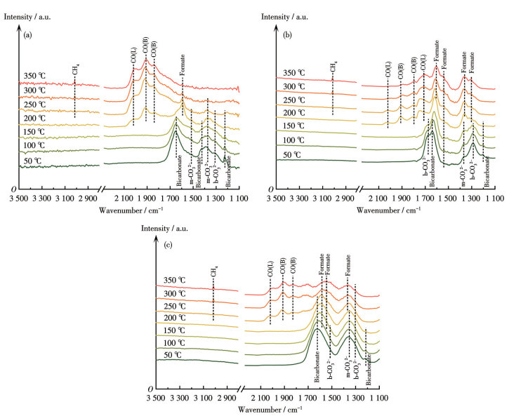
图 6是NiAl、NiAlCe0.2和NiCe三个样品在CO2甲烷化原料气中测得的原位DRIFTS。如图 6a所示,NiAl催化剂在50 ℃下生成的中间体包括b-CO32- (1 300 cm-1)[41-42]、m-CO32-(1 506、1 373 cm-1)[41, 43-44]、碳酸氢盐(1 222、1 425、1 648 cm-1)[41, 45]。随着温度的升高,碳酸氢盐的红外吸收强度逐渐减弱,在200 ℃时几乎消失。b-CO32-和m-CO32-的吸收峰也随温度的升高而下降,分别在250和300 ℃消失。这进一步确认了CO2-TPD结果中对碱性位的归属。当温度升高到200 ℃时,在1 590 cm-1处出现了新的红外吸收信号,该红外吸收对应为甲酸盐的特征吸收峰[44]。同时,在2 021 cm-1及1 800和1 919 cm-1处出现红外吸收信号,分别对应吸附在Ni上的线式CO[CO(L)]及桥式CO[CO(B)]的振动[40, 46]。当温度升高到250 ℃时,位于1 590 cm-1处的甲酸盐的红外吸收信号开始减小,而CO物种的信号逐渐升高。同时,在3 015 cm-1处出现CH4的红外吸收信号[42, 47]。这解释为甲酸盐先解离生成CO物种,随后吸附在Ni位上的CO物种再逐步加氢生成CH4[42, 45]。因此,NiAl催化剂上CO2甲烷化反应路径为CO中间体路径。
图 6
图 6b是NiCe催化剂的原位DRIFTS。在低温时,CO2吸附在催化剂载体上形成碳酸氢盐(1 203、1 639 cm-1)[43, 45]、m-CO32-(1 368 cm-1)和b-CO32-(1 288、1 673 cm-1)[41, 43]。随着反应温度的上升,NiCe催化剂表面的碳酸氢盐和碳酸盐的红外吸收带逐渐减小。在200 ℃时,碳酸氢盐的吸收峰消失,但仍然可以看到碳酸盐的吸收,同时出现了甲酸盐(1 600、1 540、1 361、1 302 cm-1)、CO(L)(2 021、1 712 cm-1)和CO(B)(1 800、1 919 cm-1)的红外吸收峰[40, 48]。在250 ℃时观察到CH4(3 015 cm-1)的红外吸收信号,且其强度随着温度的升高而逐渐增加。CO(L)和CO(B)的红外吸收带强度随着温度的升高逐渐减小至几乎消失,甲酸盐的信号也减小但在350 ℃时仍保持较大的强度。对于Ni基催化剂而言,CO是由甲酸盐分解而来[42, 45]。生成的CO减少表明更多的甲酸盐直接加氢生成CH4。因此,NiCe催化剂上CO2甲烷化途径以甲酸盐路径为主。
NiAlCe0.2的原位DRIFT如图 6c所示。在50 ℃时,催化剂表面吸附CO2形成m-CO32-(1 373 cm-1)、b-CO32-(1 300、1 540 cm-1)、碳酸氢盐(1 222、1 633 cm-1)物种[41, 43]。随着温度的升高,碳酸氢盐很快消失,b-CO32-和m-CO32-的红外吸收信号逐渐减小。200 ℃时,1 590、1 540及1 365 cm-1处开始出现红外吸收信号,这是甲酸盐的红外吸收,表明碳酸盐物种加氢转化为甲酸盐。在250 ℃时,观察到3 015 cm-1处CH4的红外吸收,同时,还观察到CO(L)(2 021 cm-1)和CO(B)(1 824、1 919 cm-1)的红外吸收信号。随着温度的进一步升高,甲酸盐和CO的红外吸收信号虽然有所降低,但仍然保持较大的强度,而CH4的红外吸收强度增大。该结果表明,甲酸盐和CO物种都可以加氢生成CH4,也就是说,NiAlCe0.2催化剂上的CO2甲烷化路径是甲酸盐中间体和CO中间体的双路径。
上述结果表明,在NiAl催化剂中引入Ce促进了甲酸盐加氢生成甲烷,减少了催化剂表面CO的生成,反应路线从单一的CO路径转变为甲酸盐中间体和CO中间体的双路径。其原因在于Ce的引入使催化剂表面形成大量的缺陷,可以稳定甲酸盐中间体并促进其加氢,从而抑制甲酸盐分解成CO[45]。
2.7 催化活性
催化剂的CO2加氢甲烷化活性如图 7所示。随着反应温度的升高,CO2转化率逐渐增大,在300 ℃下达到最大值,继续增加反应温度,CO2转化率开始下降。这是因为CO2甲烷化是强放热反应,热力学上低温有利于反应的进行,当温度高于300 ℃时,反应受到热力学平衡的限制,故催化活性下降。NiCe催化剂的活性很低,在250 ℃时为5.8%,远低于NiAl的73.6%。其主要原因是Ni与Ce之间的相互作用太弱,可能导致氢很难溢流到Ce表面与碳酸盐或甲酸盐进行加氢反应。NiAl中引入适量的Ce后,催化活性大大提高。例如,最佳组成的NiAlCe0.2催化剂在220 ℃时,CO2转化率达到了80.6%。然而,随着Ce含量继续增多,CO2转化率开始下降,当x=0.6时,在220 ℃时CO2转化率仅为3.9%。经计算可知,在温度低于350 ℃时,NiAl及NiAlCex上CH4的选择性接近100%,当温度超过400 ℃时,CH4选择性有所下降。
图 7
催化剂活性的提高主要归因于Ce的引入适度削弱了Ni与Al之间的作用,增加了Ni在催化剂表面的分布和分散,从而提高了Ni的比表面积,有利于H2的吸附活化。同时,引入Ce后显著增加了碱性位的数量,促进了CO2的吸附活化。
2.8 催化剂的稳定性
对NiAl和NiAlCe0.2催化剂进行了稳定性测试。为了加速催化剂的失活,在250和450 ℃两个温度下进行循环测试,WHSV为24 000 mL·g-1·h-1,每个温度保持10 h,连续反应150 h,结果如图 8所示。在450 ℃时,CO2转化率很接近,这是因为反应受到热力学控制,转化率达到平衡值(约为77%)。经过150 h的测试后,NiAl催化剂的催化活性略有下降,在250 ℃时CO2转化率从73.9%下降到72.8%。对于NiAlCe0.2催化剂,CO2转化率从初始的88.5%降到测试结束时的88.4%,其催化活性几乎不变。该结果表明,NiAlCe0.2催化剂具有良好的催化稳定性。
图 8
图 9为150 h稳定性测试后NiAl和NiAlCe0.2的XRD图。与新鲜的NiAl催化剂相比,稳定性测试后NiO的特征衍射峰消失,而在2θ=44.6°、51.9°、76.5°处出现Ni的特征衍射峰。与NiAl相比,稳定性测试后NiAlCe0.2的Ni特征峰强度更低,峰宽更大。这表明Ce的引入抑制了金属Ni在反应中的团聚烧结,提升了催化剂在催化反应中的稳定性。
图 9
3. 结论
我们采用共沉淀法制备了一系列NiAlCe催化剂,考察了Ce对催化剂物化和催化性能的影响,并对CO2甲烷化反应机理进行了研究。主要结论如下:
(1) Ce的引入显著提高了NiAl催化剂催化CO2甲烷化的低温活性。当x=0.2时,催化性能最佳,在220 ℃、100 kPa、24 000 mL·g-1·h-1的条件下,NiAlCe0.2催化剂上CO2转化率为80.6%。此外,Ce的引入抑制了金属Ni的团聚,提高了催化剂的稳定性。
(2) NiAl催化剂中加入Ce抑制了NiAl2O4尖晶石的生成,削弱了金属Ni与Al之间的相互作用,促进了NiO组分的还原,提高了金属Ni的比表面积,从而有利于H2的吸附和活化。同时,Ce的引入增加了催化剂的表面碱性位数量,有利于CO2的吸附活化。
(3) 原位DRIFTS表明,NiAl催化剂上CO2甲烷化遵循CO中间体路径,NiCe催化剂则以甲酸盐路径为主。在NiAl催化剂中引入Ce后,反应从单一的CO路径转变为甲酸盐中间体和CO中间体并存的双路径。
-
-
[1]
KIM C, YOO C J, OH H S, MIN B K, LEE U. Review of carbon dioxide utilization technologies and their potential for industrial application[J]. J. CO2 Util., 2022, 65: 102239. doi: 10.1016/j.jcou.2022.102239
-
[2]
VALLURI S, CLAREMBOUX V, KAWATRA S. Opportunities and challenges in CO2 utilization[J]. J. Environ. Sci., 2022, 113: 322-344. doi: 10.1016/j.jes.2021.05.043
-
[3]
MEBRAHTU C, KREBS F, ABATE S, PERATHONER S, CENTI G, PALKOVITS R. CO2 methanation: Principles and challenges[M]// ALBONETTI S, PERATHONER S, QUADRELLI E A. Studies in surface science and catalysis: Vol. 178. [S. l. ]: Elsevier, 2019: 85-103
-
[4]
ASHOK J, PATI S, HONGMANOROM P, ZHANG T X, CHEN J M, KAWI S. A review of recent catalyst advances in CO2 methanation processes[J]. Catal. Today, 2020, 356: 471-489. doi: 10.1016/j.cattod.2020.07.023
-
[5]
GHAIB K, BEN-FARES F Z. Power-to-methane: A state-of-the-art review[J]. Renew. Sust. Energ. Rev., 2018, 81: 433-446. doi: 10.1016/j.rser.2017.08.004
-
[6]
BUKHARI M H, JAVED A, KAZMI S A A, ALI M, CHAUDHARY M T. Techno-economic feasibility analysis of hydrogen production by PtG concept and feeding it into a combined cycle power plant leading to sector coupling in future[J]. Energy Conv. Manag., 2023, 282: 116814. doi: 10.1016/j.enconman.2023.116814
-
[7]
YANG C Y, ZHANG T Y, CHEN Y S, WANG W J, ZHUO H Y, YANG X F, HUANG Y Q. Intrinsic mechanism for carbon dioxide methanation over Ru-based nanocatalysts[J]. ACS Catal., 2023, 13(17): 11556-11565. doi: 10.1021/acscatal.3c02502
-
[8]
NOVÁK É, FODOR K, SZAILER T, OSZKÓ A, ERDÖHELYI A. CO2 hydrogenation on Rh/TiO2 previously reduced at different temperatures[J]. Top. Catal., 2002, 20: 107-117. doi: 10.1023/A:1016359601399
-
[9]
LIU J, BING W H, XUE X G, WANG F, WANG B, HE S, ZHANG Y K, WEI M. Alkaline-assisted Ni nanocatalysts with largely enhanced low‑temperature activity toward CO2 methanation[J]. Catal. Sci. Technol., 2016, 6(11): 3976-3983. doi: 10.1039/C5CY02026C
-
[10]
BACARIZA M C, BÉRTOLO R, GRAÇA I, LOPES J M, HENRIQUES C. The effect of the compensating cation on the catalytic performances of Ni/USY zeolites towards CO2 methanation[J]. J. CO2 Util., 2017, 21: 280-291. doi: 10.1016/j.jcou.2017.07.020
-
[11]
BACARIZA M C, GRAÇA I, BEBIANO S S, LOPES J M, HENRIQUES C. Magnesium as promoter of CO2 methanation on Ni-based USY zeolites[J]. Energy Fuels, 2017, 31(9): 9776-9789. doi: 10.1021/acs.energyfuels.7b01553
-
[12]
LIANG C F, HU X, WEI T, JIA P, ZHANG Z M, DONG D H, ZHANG S, LIU Q, HU G Z. Methanation of CO2 over Ni/Al2O3 modified with alkaline earth metals: Impacts of oxygen vacancies on catalytic activity[J]. Int. J. Hydrog. Energy, 2019, 44(16): 8197-8213. doi: 10.1016/j.ijhydene.2019.02.014
-
[13]
GARBARINO G, KOWALIK P, RIANI P, ANTONIAK‑JURAK K, PIETA P, LEWALSKA‑GRACZYK A, LISOWSKI W, NOWAKOWSKI R, BUSCA G, PIETA I S. Improvement of Ni/Al2O3 catalysts for low-temperature CO2 methanation by vanadium and calcium oxide addition[J]. Ind. Eng. Chem. Res., 2021, 60(18): 6554-6564. doi: 10.1021/acs.iecr.0c05556
-
[14]
ZHANG Z Q, DENG S R, FANG X Z, XU J W, XU X L, WANG X. CrOx-promoted Ru/Al2O3 for CO2 methanation: Formation of surface Cr-doped RuO2 solid solution plays key roles[J]. Fuel, 2023, 339: 127414. doi: 10.1016/j.fuel.2023.127414
-
[15]
TAMIMI K, ALAVI S M, REZAEI M, AKBARI E. Preparation of the Mn-Promoted NiO-Al2O3 nanocatalysts for low temperature CO2 methanation[J]. J. Energy Inst., 2021, 99: 48-58. doi: 10.1016/j.joei.2021.08.008
-
[16]
HU X, GUO X M, MENG T, GUO Q S, CHENG J L, WANG Y Z, HUANG W Z, NG F T T. NiAlFe catalysts based on hydrotalcite-like precursors for low temperature CO2 methanation: Electronic effects among components and intrinsic activity of Ni site[J]. Appl. Surf. Sci., 2024, 670: 160705. doi: 10.1016/j.apsusc.2024.160705
-
[17]
TAKANO H, KIRIHATA Y, IZUMIYA K, KUMAGAI N, HABAZAKI H, HASHIMOTO K. Highly active Ni/Y-doped ZrO2 catalysts for CO2 methanation[J]. Appl. Surf. Sci., 2016, 388: 653-663. doi: 10.1016/j.apsusc.2015.11.187
-
[18]
ZHOU L L, GUO X M, HU X, ZHANG Y X, CHENG J L, GUO Q S. CO2 methanation reaction over La-modified NiAl catalysts derived from hydrotalcite-like precursors[J]. Fuel, 2024, 362: 130888. doi: 10.1016/j.fuel.2024.130888
-
[19]
程菁琳, 郭晓明, 孟涛, 胡旭, 李亮, 王彦哲, 黄文珠. 基于层状双氢氧化物前驱体的CO2甲烷化NiAlNd催化剂[J]. 无机化学学报, 2024,40,(8): 1592-1602. CHENG J L, GUO X M, MENG T, HU X, LI L, WANG Y Z, HUANG W Z. NiAlNd catalysts for CO2 methanation derived from the layered double hydroxide precursor[J]. Chinese J. Inorg. Chem., 2024, 40(8): 1592-1602.
-
[20]
SUN C, BEAUNIER P, DA COSTA P. Effect of ceria promotion on the catalytic performance of Ni/SBA-16 catalysts for CO2 methanation[J]. Catal. Sci. Technol., 2020, 10(18): 6330-6341. doi: 10.1039/D0CY00922A
-
[21]
ZHANG Q W, XU R N, LIU N, DAI C N, YU G Q, WANG N, CHEN B H. In situ Ce-doped catalyst derived from NiCeAl-LDHs with enhanced low-temperature performance for CO2 methanation[J]. Appl. Surf. Sci., 2022, 579: 152204. doi: 10.1016/j.apsusc.2021.152204
-
[22]
GUO X P, HE H Y, TRAITANGWONG A, GONG M M, MEEYOO V, LI P, LI C S, PENG Z J, ZHANG S J. Ceria imparts superior low temperature activity to nickel catalysts for CO2 methanation[J]. Catal. Sci. Technol., 2019, 9(20): 5636-5650. doi: 10.1039/C9CY01186B
-
[23]
ZHANG J Y, REN B J, FAN G L, YANG L, LI F. Exceptional low-temperature activity of a perovskite-type AlCeO3 solid solution- supported Ni-based nanocatalyst towards CO2 methanation[J]. Catal. Sci. Technol., 2021, 11(11): 3894-3904. doi: 10.1039/D1CY00340B
-
[24]
BROOKS C S, KEHRER V J. Chemisorption of carbon monoxide on metal surfaces by pulse chromatography[J]. Anal. Chem., 1969, 41(1): 103-106. doi: 10.1021/ac60270a003
-
[25]
ZHOU G L, LIU H R, CUI K K, XIE H M, JIAO Z J, ZHANG G Z, XIONG K, ZHENG X X. Methanation of carbon dioxide over Ni/CeO2 catalysts: Effects of support CeO2 structure[J]. Int. J. Hydrog. Energy, 2017, 42(25): 16108-16117. doi: 10.1016/j.ijhydene.2017.05.154
-
[26]
JIMÉNEZ-GONZÁLEZ C, BOUKHA Z, DE RIVAS B, DELGADO J J, CAUQUI M Á, GONZÁLEZ-VELASCO J R, GUTIÉRREZ-ORTIZ J I, LÓPEZ-FONSECA R. Structural characterisation of Ni/alumina reforming catalysts activated at high temperatures[J]. Appl. Catal. A‒Gen., 2013, 466: 9-20. doi: 10.1016/j.apcata.2013.06.017
-
[27]
GUO C L, WU Y Y, QIN H Y, ZHANG J L. CO methanation over ZrO2/Al2O3 supported Ni catalysts: A comprehensive study[J]. Fuel Process. Technol., 2014, 124: 61-69. doi: 10.1016/j.fuproc.2014.02.017
-
[28]
ZHANG J, XU H Y, JIN X L, GE Q J, LI W Z. Characterizations and activities of the nano-sized Ni/Al2O3 and Ni/La-Al2O3 catalysts for NH3 decomposition[J]. Appl. Catal. A‒Gen., 2005, 290(1/2): 87-96.
-
[29]
SANZ J M, TYULIEV G T. An XPS study of thin NiO films deposited on MgO(100)[J]. Surf. Sci., 1996, (367): 196-202.
-
[30]
BIESINGER M C, PAYNE B P, LAU L W M, GERSON A, SMART R S C. X-ray photoelectron spectroscopic chemical state quantification of mixed nickel metal, oxide and hydroxide systems[J]. Surf. Interface Anal., 2009, 41(4): 324-332. doi: 10.1002/sia.3026
-
[31]
VENEZIA A M, BERTONCELLO R, DEGANELLO G. X-ray photoelectron spectroscopy investigation of pumice-supported nickel catalysts[J]. Surf. Interface Anal., 1995, 23(4): 239-247. doi: 10.1002/sia.740230408
-
[32]
LI H, LI H X, DAI W L, WANG W J, FANG Z G, DENG J F. XPS studies on surface electronic characteristics of Ni-B and Ni-P amorphous alloy and its correlation to their catalytic properties[J]. Appl. Surf. Sci., 1999, 152(1/2): 25-34.
-
[33]
YU J S, PARK J M, KWON J H, PARK K S, CHOUNG J W, PARK M J, BAE J W. Roles of Al2O3 coating layer on an ordered mesoporous Ni/m-Al2O3 for combined steam and CO2 reforming with CH4[J]. Fuel, 2023, 331: 125702. doi: 10.1016/j.fuel.2022.125702
-
[34]
HUA Y X, GUO X M, MAO D S, LU G Z, REMPEL G L, NG F T T. Single-step synthesis of dimethyl ether from biomass-derived syngas over CuO-ZnO-MOx (M=Zr, Al, Cr, Ti)/HZSM-5 hybrid catalyst: Effects of MOx[J]. Appl. Catal. A‒Gen., 2017, 540: 68-74. doi: 10.1016/j.apcata.2017.04.015
-
[35]
CASARIN M, FALCOMER D, GLISENTI A, VITTADINI A. Experimental and theoretical study of the interaction of CO2 with α-Al2O3[J]. Inorg. Chem., 2003, 42(2): 436-445. doi: 10.1021/ic0257773
-
[36]
BURGER T, KOSCHANY F, THOMYS O, KÖHLER K, HINRICHSEN O. CO2 methanation over Fe- and Mn-promoted co-precipitated Ni-Al catalysts: Synthesis, characterization and catalysis study[J]. Appl. Catal. A‒Gen., 2018, 558: 44-54. doi: 10.1016/j.apcata.2018.03.021
-
[37]
LIANG C F, ZHANG L J, ZHENG Y, ZHANG S, LIU Q, GAO G G, DONG D H, WANG Y, XU L L, HU X. Methanation of CO2 over nickel catalysts: Impacts of acidic/basic sites on formation of the reaction intermediates[J]. Fuel, 2020, 262: 116521. doi: 10.1016/j.fuel.2019.116521
-
[38]
WEILACH C, SPIEL C, FÖTTINGER K, RUPPRECHTER G. Carbonate formation on Al2O3 thin film model catalyst supports[J]. Surf. Sci., 2011, 605(15/16): 1503-1509.
-
[39]
FÖTTINGER K, SCHLÖGL R, RUPPRECHTER G. The mechanism of carbonate formation on Pd-Al2O3 catalysts[J]. Chem. Commun., 2008, (3): 320-322. doi: 10.1039/B713161E
-
[40]
ALKHOORI A A, ELMUTASIM O, DABBAWALA A A, VASILIADES M A, PETALLIDOU K C, EMWAS A H, ANJUM D H, SINGH N, BAKER M A, CHARISIOU N D, GOULA M A, EFSTATHIOU A M, POLYCHRONOPOULOU K. Mechanistic features of the CeO2-modified Ni/Al2O3 catalysts for the CO2 methanation reaction: experimental and ab initio studies[J]. ACS Appl. Energy Mater., 2023, 6(16): 8550-8571. doi: 10.1021/acsaem.3c01437
-
[41]
WESTERMANN A, AZAMBRE B, BACARIZA M C, GRAÇA I, RIBEIRO M F, LOPES J M, HENRIQUES C. The promoting effect of Ce in the CO2 methanation performances on NiUSY zeolite: A FTIR in situ/operando study[J]. Catal. Today, 2017, 283: 74-81. doi: 10.1016/j.cattod.2016.02.031
-
[42]
WESTERMANN A, AZAMBRE B, BACARIZA M C, GRAÇA I, RIBEIRO M F, LOPES J M, HENRIQUES C. Insight into CO2 methanation mechanism over NiUSY zeolites: An operando IR study[J]. Appl. Catal. B‒Environ., 2015, 174-175: 120-125. doi: 10.1016/j.apcatb.2015.02.026
-
[43]
LALINDE J A H, ROONGRUANGSREE P, ILSEMANN J, BÄUMER M, KOPYSCINSKI J. CO2 methanation and reverse water gas shift reaction. Kinetic study based on in situ spatially-resolved measurements[J]. Chem. Eng. J., 2020, 390: 124629. doi: 10.1016/j.cej.2020.124629
-
[44]
LIN L L, GERLAK C A, LIU C, LLORCA J, YAO S Y, RUI N, ZHANG F, LIU Z Y, ZHANG S, DENG K X, MURRAY C B, RODRIGUEZ J A, SENANAYAKE S D. Effect of Ni particle size on the production of renewable methane from CO2 over Ni/CeO2 catalyst[J]. J. Energy Chem., 2021, 61: 602-611. doi: 10.1016/j.jechem.2021.02.021
-
[45]
JIA X Y, ZHANG X S, RUI N, HU X, LIU C J. Structural effect of Ni/ZrO2 catalyst on CO2 methanation with enhanced activity[J]. Appl. Catal. B‒Environ., 2019, 244: 159-169. doi: 10.1016/j.apcatb.2018.11.024
-
[46]
ZHU J, ZHANG G H, LI W H, ZHANG X B, DING F S, SONG C S, GUO X W. Deconvolution of the particle size effect on CO2 hydrogenation over iron-based catalysts[J]. ACS Catal., 2020, 10(13): 7424-7433. doi: 10.1021/acscatal.0c01526
-
[47]
FALBO L, VISCONTI C G, LIETTI L, SZANYI J. The effect of CO on CO2 methanation over Ru/Al2O3 catalysts: A combined steady-state reactivity and transient DRIFT spectroscopy study[J]. Appl. Catal. B‒Environ., 2019, 256: 117791. doi: 10.1016/j.apcatb.2019.117791
-
[48]
KARELOVIC A, RUIZ P. Mechanistic study of low temperature CO2 methanation over Rh/TiO2 catalysts[J]. J. Catal., 2013, 301: 141-153. doi: 10.1016/j.jcat.2013.02.009
-
[1]
-
表 1 催化剂的织构参数
Table 1. Textural parameters of the catalysts
Catalyst SBET / (m2·g-1) Vpore / (cm3·g-1) Pore width / nm SNi / (m2·g-1) NiAl 173 0.30 6.1 4.5 NiAlCe0.1 135 0.31 6.0 5.8 NiAlCe0.2 129 0.25 5.4 5.9 NiAlCe0.4 103 0.23 6.7 5.7 NiAlCe0.6 81 0.26 9.8 4.9 NiCe 36 0.27 23.5 4.9 表 2 NiAlCex表面的金属元素的含量
Table 2. Metal element contents on the surface of NiAlCex*
Catalyst Atomic fraction / % y Ni Al Ce NiAl 19.0 (50) 81.0 (50) 0.0 (0) 0.24 (1.0) NiAlCe0.1 40.7 (50) 57.2 (45) 2.1 (5) 0.68 (1.0) NiAlCe0.2 43.7 (50) 47.9 (40) 8.4 (10) 0.78 (1.0) NiAlCe0.4 47.6 (50) 30.7 (30) 21.7 (20) 0.91 (1.0) NiAlCe0.6 51.6 (50) 23.8 (20) 24.5 (30) 1.07 (1.0) NiCe 67.4 (50) 0.0 (0) 32.6 (50) 2.07 (1.0) *The data in parentheses were the nominal values of the catalysts. -
扫一扫看文章
计量
- PDF下载量: 12
- 文章访问数: 1311
- HTML全文浏览量: 127

下载:
下载:
下载: