Crystal structures of complexes of cyclobutanocucurbit[5]uril with Na+/K+: Coordination state in different anionic environments

Wang CHEN Guixian WU Yingying XIONG Ming CHENG Mingming ZHOU Hui ZHANG Zhengyun LIANG Dejin HUANG Minghua CHEN

Citation:  Wang CHEN, Guixian WU, Yingying XIONG, Ming CHENG, Mingming ZHOU, Hui ZHANG, Zhengyun LIANG, Dejin HUANG, Minghua CHEN. Crystal structures of complexes of cyclobutanocucurbit[5]uril with Na+/K+: Coordination state in different anionic environments[J]. Chinese Journal of Inorganic Chemistry, 2026, 42(1): 161-169. doi: 10.11862/CJIC.20250195 shu

环丁基五元瓜环与Na+/K+的配合物的晶体结构——不同阴离子环境下的配位状态

    通讯作者: 陈明华, gui_zhou_chen@163.com
  • 基金项目:

    贵州省黔西南州科技局科技计划项目 [2022]2022-01-24

    大学生创新项目 202310666036

    大学生创新项目 202510666457

    大学生创新项目 S2025106661169

    大学生创新项目 S2025106661172

摘要: 合成了环丁基五元瓜环(cyclobutanocucurbit[5]uril, CyB5Q[5])与Na+/K+的配合物1~4, 并通过单晶X射线衍射技术确定了这些化合物的晶体结构。结果表明, 尽管使用的无机盐阳离子相同, 但阴离子不同, 生成的配合物结构各异。在配合物1中, Na+通过配位键封闭CyB5Q[5]的1个端口, 形成含7个Na—O配位键的分子碗; 在配合物3中, Na+完全封闭CyB5Q[5]的2个端口, 形成含6个Na—O配位键的分子胶囊; 在配合物24中, K+完全封闭CyB5Q[5]的2个端口, 形成K—O配位的分子胶囊, 但配合物2中K+是六配位, 配合物4中是八/九配位, 并且配合物4的分子间通过3个氧桥连接为1D分子链。

English

  • Cucurbit[n]uril (Q[n], n=5-8), as a kind of macrocyclic host, has played an important role in the field of supramolecular chemistry. Due to its structural characteristics, namely, two negatively charged carbonyl ports, a positively charged outer wall, and a weakly negatively charged cavity (Fig.1a). Q[n] can be used as a ligand for metal ions to form Q[n]-M complexes through M—O coordination bonds (Fig.1d). In addition, Q[n] can also interact with ammonium ions through dipoles, hydrogen bonds, etc., to form supramolecular compounds with port interactions (Fig.1e). Q[n] and guests can also form supramolecular outer-wall interaction compounds through non-covalent interactions (Fig.1c). This outer-wall effect becomes the main driving force for the construction of 2D and 3D structures of Q[n]-based systems. More importantly, Q[n] can also use different volumes of cavities to identify and encapsulate guest molecules to form host-guest supramolecular entities (Fig.1b). Whether Q[n]-based complexes or supramolecular entities with outer-wall and host-guest interactions, they have shown broad application prospects in many fields[1-7]. In particular, Q[n]-based complexes have shown broad application potential in electrode materials[8], oxidation and reduction catalysts[9-13], separation[14], fluorescence imaging[15], adsorption[16], fluorescent probes[17], and other fields.

    Figure 1

    Figure 1.  (a) Single crystal structure of Q[6]; (b) Crystal structure of Q[6]-guest inclusion complex; (c) Q[6]-Q[6] and Q[6]-guest interactions; (d) Single crystal structure of CyB5Q[5]-Ca and guest; (e) Crystal structure of CyB5Q[5] interacting with the port of the guest

    Tao Zhu′s group of Guizhou University has done a lot of basic work on Q[n]-based metal complexes[14], especially in all-alkyl substituted and partially alkyl substituted five-membered cucurbit[5]urils (SQ[5]), and in the field of single crystal synthesis of these Q[n]. They have proposed structural inducers and Q[n] outer wall interactions. Their work has led to the development of Q[n] coordination chemistry[18-23]. However, how to directionally synthesize cucurbit[n]uril-based metal-organic frameworks(CMOFS) has always been a challenge.

    The new type of Q[n] series cyclobutanocucurbit[n]uril (CyBnQ[n])[24] reported in 2017 is a series with a relatively complete structure except ordinary Q[n] (such as methyl substituted Q[n] only has one kind, cyclopentyl has three kinds, cyclohexyl has two kinds). This series has n=5-8 structure types, and solubility is good in aqueous solution. However, apart from the synthesis of CyBnQ[n] reported by the Anthony team in Australia, only three papers in our laboratory have reported their different types of crystal structures[25-27]. Especially in the field of using inorganic salts with the same cation and different anions to synthesize complexes with Q[n], no in-depth and systematic research has been carried out. Therefore, the research on the structure, properties, and application prospects of CyBnQ[n] and its complexes and host-guest entities needs to be improved and developed.

    The synthesis of Q[n]-based complexes and their use as materials for separation, adsorption, fluorescence/phosphorescence probes, and catalysis are the main purposes for expanding the application prospects of Q[n]-based complexes as supramolecular entities. However, how to directionally synthesize Q[n]-based supramolecular entities with certain cavities or cavities and apply these entities to specific scenarios is still a challenge. This is mainly due to the lack of a large number of empirical materials for the synthesis of Q[n]-based complexes, and it is difficult to summarize the general rules used to guide the synthesis of these complexes. Herein, we report the synthesis examples and crystal structures of four CyB5Q[5]-based complexes, and provide empirical materials for finding the law of directional synthesis of them. The four complexes have similar structures to the reported complexes, and complex 4 has its own characteristics.

    Perchloric acid (40%), zinc chloride (anhydrous), sodium tetraborate, potassium thiocyanate, sodium bromide, potassium chloride, and hydrochloric acid (35%) were purchased from Xiya Reagents in China. All commercially available analytical-purity reagents are used directly without treatment. CyB5Q[5] was synthesized and purified in our laboratory according to the literature[24].

    1.2.1   Preparation of complex [Na(CyB5Q[5])(H2O)2]ClO4·8H2O (1)

    CyB5Q[5] (22 mg, 0.02 mmol) and sodium tetraborate (38 mg, 0.19 mmol) were dissolved in 2 mL of distilled water to obtain solution A and solution B, respectively. ZnCl2 (17 mg, 0.12 mmol) was dissolved in 1 mL of distilled water, and 0.05 mL of 3 mol·L-1 hydrochloric acid was added to obtain solution C. Solution B was added slowly to solution C. Then, 0.05 mL perchloric acid (12 mol·L-1) was added to obtain solution D. Finally, solution D was slowly added to solution A. After heating at 80 ℃ for 10 min, the solution was cooled and placed at room temperature for 9 d to obtain crystals that can be used for single-crystal X-ray diffraction.

    1.2.2   Preparation of complex [K4(CyB5Q[5])2(H2O)4](SCN)4·5H2O (2)

    CyB5Q[5] (20 mg, 0.02 mmol) and potassium thiocyanate (6 mg, 0.06 mmol) were dissolved in 2 mL of distilled water to obtain solution A and solution B, respectively. Solution B was added slowly dropwise to solution A to obtain solution C. Solution C was heated at 80 ℃ for 10 min, then cooled and placed at room temperature for 10 d to obtain crystals suitable for single-crystal X-ray diffraction.

    1.2.3   Preparation of complex [Na2(CyB5Q[5])(H2O)]ClBr (3)

    CyB5Q[5] (20 mg, 0.02 mmol) and sodium bromide (10 mg, 0.06 mmol) were dissolved in 2 mL of distilled water to obtain solution A and solution B, respectively. The mixture of solutions A and B was heated to 80 ℃ for 10 min, cooled, and left at room temperature for 10 d to obtain crystals suitable for single-crystal X-ray diffraction.

    1.2.4   Preparation of complex [K2(CyB5Q[5])(μ-H2O)3(H2O)][ZnCl4]·7H2O (4)

    CyB5Q[5] (20 mg, 0.02 mmol) and potassium chloride (5 mg, 0.06 mmol) were dissolved in 2 mL of distilled water to obtain solution A and solution B, respectively. ZnCl2 (11 mg, 0.08 mmol) was dissolved in 1 mL of distilled water, and 0.05 mL of 3 mol·L-1 hydrochloric acid was added to obtain solution C. Solution B was added dropwise to solution C to obtain solution D. Finally, solution D was added dropwise to solution A. The solution was heated at 80 ℃ for 10 min, cooled, and allowed to stand at room temperature for 15 d to obtain crystals suitable for single-crystal X-ray diffraction.

    Single-crystal X-ray diffraction data for complexes 1-4 were collected on a Rigaku Oxford Diffraction Supernova Dual Source (Oxford Diffraction Ltd., Abingdon, England) Cu at zero equipped with an AtlasS2 CCD using Mo (2) or Cu (1, 3, and 4) radiation. Lorentz polarization and absorption corrections were applied. The structure was solved by direct methods using the SHELXL-14 program[28] and refined with SHELXL-14 by full matrix least-squares techniques on F2. Non-hydrogen atoms were refined anisotropically, while the hydrogen atoms were located geometrically and refined isotropically. A summary of the crystallographic data, collection conditions, and refinement parameters for complexes 1-4 is listed in Table 1.

    Table 1

    Table 1.  Crystallographic data and structural refinement parameters for complexes 1-4
    下载: 导出CSV
    Parameter 1 2 3 4
    Formula C40H60ClN20NaO244 C42H46K2N22O13S2 C40H42BrClN20Na2O11 C40H46Cl4K2N20O13Zn
    Formula weight 1 263.52 1 209.33 1 140.27 1 300.34
    λ / nm 0.154 184 0.071 073 0.154 184 0.154 184
    Temperature / K 120.01(10) 200.00(10) 220(2) 99.99(13)
    Crystal system Orthorhombic Monoclinic Orthorhombic Triclinic
    Space group Pnma P21/n Pnma P1
    a / nm 3.113 79(4) 1.616 33(6) 2.937 87(5) 1.165 75(2)
    b / nm 1.534 48(2) 1.509 62(5) 1.157 84(2) 1.407 81(3)
    c / nm 1.128 75(10) 2.127 30(10) 1.491 25(3) 1.763 10(3)
    α / (°) 88.077(2)
    β / (°) 99.688(4) 82.669 0(10)
    γ / (°) 81.942
    V / nm3 5.393 22(11) 5.116 7(4) 5.072 61(16) 2.841 17(9)
    Z 4 4 4 2
    Dc / (g·cm-3) 1.537 1.570 1.493 1.520
    Goodness-of-fit on F 2 1.002 1.025 1.023 1.067
    R1a [I > 2σ(I)] 0.090 2 0.079 7 0.098 3 0.062 8
    wR2b [I > 2σ(I)] 0.250 0 0.249 8 0.283 2 0.175 8
    R1 (all data) 0.094 8 0.110 6 0.103 3 0.065 7
    wR2 (all data) 0.247 3 0.221 4 0.290 6 0.174 0
    a R1=∑||Fo|-|Fc||/∑|Fo|; b wR2=|∑w(|Fo|2-|Fc|2)|/∑|w(Fo)2|1/2, where w=1/[σ2(Fo2)+(aP)2+bP], P=(Fo2+2Fc2)/3.

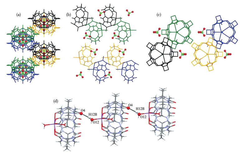
    The crystal structures of complexes 1-4 are shown in Fig.2. Although in the synthesis of complex 1, in addition to CyB5Q[5], hydrochloric acid and sodium tetraborate, zinc chloride, and perchloric acid were added to the mixed solution, [B4O7]2- and [ZnCl4]2- were not found in the crystal structure of 1, only Cl- and ClO4- were involved in the formation of crystals. The sodium ion (Na1) coordinates with five oxygen atoms (O1, O2, O3, O2, and O3) at one port of CyB5Q[5], and also coordinates with the oxygen atoms (O13, O12) of a water molecule inside and outside the CyB5Q[5] to form a Na—O coordinated seven-ligand molecular bowl (Fig.2a). The parameters of these coordination bonds are shown in Table S1 (Supporting information). These molecular bowls form a 1D molecular chain through hydrogen bonds between the O12 of the water molecule and the port O4 of another CyB5Q[5] (Fig.3d). The 1D molecular chains are constructed into 1D supramolecular aggregates through a series of non-covalent interactions between water molecules, perchlorate ions and the outer wall of CyB5Q[5] (Fig.3a-3c)

    Figure 2

    Figure 2.  Coordination bond details of complexes 1 (a), 2 (b), 3 (c), and 4 (d)

    Water molecules, chloride ions, and other anions are omitted for clarity; Symmetry codes: x, 3/2-y, z for 1; x, 1/2-y, z for 3.

    Figure 3

    Figure 3.  Stacking diagram and 1D molecular chain of complex 1: stacking diagram along (a) a-axis, (b) b-axis, and (c) c-axis, respectively; (d) 1D molecular chain (water molecules, chloride ions, and perchlorate ions are omitted for clarity)

    The crystal structure of complex 2 is shown in Fig.2b. The two port oxygen atoms of CyB5Q[5] are coordinated by two potassium ions (K1, K2), and K1, K2 are also coordinated with the oxygen atoms of two water molecules (O12, O13), forming two six-coordinated molecular capsules. The parameters of the coordination bonds are shown in Table S1. These molecular capsules form 1D molecular chains (Fig.4d) through a variety of non-covalent interactions, and the molecular chains are further constructed into a 2D planar layered structure (Fig.4a-4c).

    Figure 4

    Figure 4.  Stacking diagram and 1D molecular chain of complex 2: stacking diagram along (a) a-axis, (b) b-axis, and (c) c-axis, respectively; (d) 1D molecular chain (water molecules and chloride ions are omitted for clarity)

    The crystal structure of complex 3 is shown in Fig.2c. It can be seen that complex 3 uses the carbonyl oxygen atoms (O1-O5 and O1-O5) of the two ports of the CyB5Q[5] to coordinate with two sodium ions (Na1 and Na1). At the same time, the two Na1 are also coordinated with the oxygen atoms (O1W and O1W) of the water molecules in the cavity of the two CyB5Q[5] molecules, forming a 6-coordinated molecular capsule. The parameters of these coordination bonds are shown in Table S1. In addition, there is a chloride ion in the cavity of CyB5Q[5] (the chloride ion is disordered in the crystal) connected to two OW1 atoms by dipole interaction. Through the dipole interaction of Na1, the molecular capsules are connected into 1D molecular chains (Fig.5d). These 1D molecular chains are further constructed into supramolecular aggregates by water molecules and bromide ions (Fig.5a-5c).

    Figure 5

    Figure 5.  Stacking diagram and 1D molecular chain of complex 3: stacking diagram along (a) a-axis, (b) b-axis, and (c) c-axis, respectively; (d) 1D molecular chain (water molecules and bromide ions are omitted for clarity)

    The crystal structure of complex 4 is shown in Fig.2d. It can be seen that the carbonyl oxygen atoms of the two ports of CyB5Q[5] are coordinated by K ions, forming a molecular capsule sealed at both ends. Its special molecular structure lies in the fact that K1 is coordinated with the oxygen atoms (O1-O5) of one port of CyB5Q[5], and also coordinated with the oxygen atoms (O11-O13) of three water molecules to form an eight-ligand coordination geometry. At the other end of the CyB5Q[5], K2 is coordinated with five oxygen atoms (O6-O10) at the port of CyB5Q[5]. At the same time, K2 also coordinates with the oxygen atom (O11-O13) of three water molecules and the oxygen atom (O18) of one water molecule in the CyB5Q[5] cavity to form a nine-ligand coordination geometry. The parameters of these coordination bonds are shown in Table S1. Such a complex is then connected to another identical complex by three oxygen bridges (O11-O13) to form a 1D molecular chain (Fig.6a). The 1D molecular chain is constructed into a 2D layered structure through the interaction of [ZnCl4]2- ions, water molecules and various non-covalent bonds between CyB5Q[5] and CyB5Q[5], and further constructed into a 3D stacked structure (Fig.6b). Such a structure already has the characteristics of a MOF structure (Fig.6b-6e). All the coordinate bond data are shown in Table S1.

    Figure 6

    Figure 6.  Stacking diagram and 1D molecular chain of complex 4: (a) 1D molecular chain (along b-axis); stacking diagram along (b) a-axis, (d) b-axis, and (e) c-axis, respectively; (c, f) details of the noncovalent interaction between CyB5Q[5] and [ZnCl4]2- (water molecules and chlorine ions are omitted for clarity Cl-)

    Two kinds of inorganic salts with the same cations and different anions were used to react with CyB5Q[5] to obtain four different types of CyB5Q[5]-based complexes. The 1D molecular chain formed by the coordination bond was only obtained in the ZnCl2 medium, which provides an imaginary space for further directional synthesis of Q[n]-based MOF materials. It is well known that the directional synthesis of Q[n]-based MOFs has not been systematically studied so far, which restricts the further application of Q[n]. Here, we propose the following assumptions: (1) whether ZnCl2 or analogues are necessary conditions for the synthesis of Q[n]-based MOFs; (2) whether the concentration of Q[n] or metal ions affects the synthesis of Q[n]-based MOFs. Next, we will conduct in-depth research on these two issues.


    Supporting information is available at http://www.wjhxxb.cn
    1. [1]

      DAI X Y, HUO M, LIU Y. Phosphorescence resonance energy transfer from purely organic supramolecular assembly[J]. Nat. Rev. Chem., 2023, 7: 854-874 doi: 10.1038/s41570-023-00555-1

    2. [2]

      SONG S Q, ZHANG H Z, LIU Y. Light-controlled macrocyclic supramolecular assemblies and luminescent behaviors[J]. Accounts Mater. Res., 2024, 5(9): 1109-1120 doi: 10.1021/accountsmr.4c00157

    3. [3]

      WU Y F, HUA H J, WANG Q C. CB[5] analogue based supramolecular polymer with AIE behaviors[J]. New J. Chem., 2018, 42: 8320-8324 doi: 10.1039/C8NJ00633D

    4. [4]

      SHEN F F, ZHANG Y M, DAI X Y, ZHANG H Y, LIU Y. Alkyl-substituted cucurbit[6]uril bridged β-cyclodextrin dimer mediated intramolecular FRET behavior[J]. J. Org. Chem., 2020, 85(9): 6131-6136 doi: 10.1021/acs.joc.9b03513

    5. [5]

      LIU P P, XING J B, LIU Y Y, FENG K, WANG H, ZHANG D W, ZHOU W, ZHAO G, ZHANG J H, LI Z T. Sulfonatoproxylated cucurbit[7]urils as highly water-soluble and biocompatible excipients for solubilizing poorly soluble drugs and improving the bioavailability of indomethacin[J]. Chin. Chem. Lett., 2025: 110831

    6. [6]

      LIU Y, QIAN Y W, CHEN L Y, GE C Q, ZHANG Y M, TANG H, FANG S A, LI Q, HUANG F H, LI H. Self-sorting via macrocyclization by external templation in water[J]. Org. Lett., 2025, 27(19): 5027-5031 doi: 10.1021/acs.orglett.5c01426

    7. [7]

      LUO Y, ZHANG W, ZHAO J, YANG M X, REN Q, REDSHAW C, TAO Z, XIAO X. A novel pillar[5]arene-cucurbit[10]uril based host-guest complex: Synthesis, characterization and detection of paraquat[J]. Chin. Chem. Lett., 2023, 34(3): 107780 doi: 10.1016/j.cclet.2022.107780

    8. [8]

      LONG Z H, PENG C, DONG K W, JIANG H K, ZHU M Z, YAN W J, DONG Y F, JIANG W J, WEN L R, JIANG X Q, ZHOU Z M. Supramolecular cucurbit[5]uril modulates the buried SnO2/perovskite interface for efficient and stable perovskite solar cells[J]. Adv. Funct. Mater., 2024, 34(48): 2408818 doi: 10.1002/adfm.202408818

    9. [9]

      SHAO T, SONG X M, WEI Z N, YANG S B, ZHANG S Y, CAO R, CAO M N. Enhancing CO2 electroreduction with decamethylcucurbit[5]uril-alkaline earth metal modified Pd nanoparticles[J]. Inorg. Chem. Front., 2024, 11(24): 8671-8678 doi: 10.1039/D4QI02135E

    10. [10]

      CHEN R R, CAO M N, WANG J Y, LI H F, CAO R. Decamethylcucurbit[5]uril based supramolecular assemblies as efficient electrocatalysts for oxygen reduction reaction[J]. Chem. Commun., 2019, 55(78): 11687-11690 doi: 10.1039/C9CC05899K

    11. [11]

      SUNDARARAJAN M, PARK B, BAIK M H. Regioselective oxidation of C-H bonds in unactivated alkanes by a vanadium superoxo catalyst bound to a supramolecular host[J]. Inorg. Chem., 2019, 58(23): 16250-16255 doi: 10.1021/acs.inorgchem.9b02803

    12. [12]

      TIAN F Y, CHENG R X, SHANG Y J, PAN L, CUI X Y, JIANG X K, CHEN K, ZHAO H J, WANG K Y. Preparation of Ni/Co composite materials based on cucurbit[6]uril and their photothermal synergistic catalysis of nitrogen reduction to ammonia under mild conditions[J]. Dalton Trans., 2025, 54(19): 7753-7764 doi: 10.1039/D5DT00418G

    13. [13]

      LI F S, YANG H, ZHOU Q M, ZHOU D H, WU X J, ZHANG P L, YAO Z Y, SUN L C. A cobalt@cucurbit[5]uril complex as a highly efficient supramolecular catalyst for electrochemical and photoelectrochemical water splitting[J]. Angew. Chem.‒Int. Edit., 2021, 133(4): 2004-2013 doi: 10.1002/ange.202011069

    14. [14]

      ZHANG Y, ZHANG G W, XIAO X, LI Q, TAO Z. Cucurbit[n]uril-based supramolecular separation materials[J]. Coord. Chem. Rev., 2024, 514: 215889 doi: 10.1016/j.ccr.2024.215889

    15. [15]

      SUN X R, YANG H P, ZHANG W, ZHANG S, HU J H, LIU M, ZENG X, LI Q, REDSHAW C, TAO Z, XIAO X. Supramolecular room-temperature phosphorescent hydrogel based on hexamethyl cucurbit[5]uril for cell imaging[J]. ACS Appl. Mater. Interfaces, 2023, 15(3): 4668-4676 doi: 10.1021/acsami.2c17891

    16. [16]

      YANG D, YANG X N, LIU M, CHEN L X, LI Q, CONG H, TAO Z, XIAO X. Cucurbit[5]uril-based porous polymer material for removing organic micropollutants in water[J]. Microporous Mesoporous Mat., 2022, 341: 112023 doi: 10.1016/j.micromeso.2022.112023

    17. [17]

      YANG M L, ZHAO J L, WANG K Y, CHEN K. Preparation of cucurbit[5]uril-Ln3+-based supramolecular assemblies and its effective detection of L-tryptophan[J]. J. Mol. Struct., 2025, 1322: 140432 doi: 10.1016/j.molstruc.2024.140432

    18. [18]

      HU J X, HU Y F, XIAO X, ZHANG Y Q, TAO Z, XUE S F, LIU J X, ZHU Q J. Coordination of pentacyclohexanocucurbit[5]uril with alkali metal ions and supramolecular self-assembly in the absence and presence of inorganic anions[J]. Eur. J. Inorg. Chem., 2013(21): 3632-3640

    19. [19]

      LI Z F, WU F, ZHOU F G, NI X L, FENG X, XIAO X, ZHANG Y Q, XUE S F, ZHU Q J, LEONARD F L, JACK K C, TAO Z, WEI G. Approach to 10-unit "bracelet" frameworks based on coordination of alkyl-substituted cucurbit[5]urils and potassium ions[J]. Cryst. Growth. Des., 2010, 10(12): 5113-5116 doi: 10.1021/cg100805z

    20. [20]

      LI Z F, LIANG L L, WU F, ZHOU F G, NI X L, FENG X, XIAO X, ZHANG Y Q, XUE S F, ZHU Q J, JACK K C, TAO Z, LEONARG F L, WEI G. An approach to networks based on coordination of alkyl-substituted cucurbit[5]urils and potassium ions[J]. CrystEngComm, 2013, 15(10): 1994-2001 doi: 10.1039/c3ce26491b

    21. [21]

      NI X L, XIAO X, CONG H, ZHU Q J, XUE S F, TAO Z. Self-assemblies based on the "outer-surface interactions" of cucurbit[n]urils: New opportunities for supramolecular architectures and materials[J]. Accounts Chem. Res., 2014, 47(4): 1386-1395 doi: 10.1021/ar5000133

    22. [22]

      NI X L, XIAO X, CONG H, LIANG L L, CHEN K, CHEN X J, JI N N, ZHU Q J, XUE S F, TAO Z. Cucurbit[n]uril-based coordination chemistry: From simple coordination complexes to novel poly-dimensional coordination polymers[J]. Chem. Soc. Rev., 2013, 42(24): 9480-9508 doi: 10.1039/c3cs60261c

    23. [23]

      NI X L, XUE S F, TAO Z, ZHU Q J, LEONARD F L, WEI G. Advances in the lanthanide metallosupramolecular chemistry of the cucurbit[n]urils[J]. Coord. Chem. Rev., 2015, 287: 89-113 doi: 10.1016/j.ccr.2014.12.018

    24. [24]

      ZHAO Y, MANDADAPU V, IRANMANESH H, BEVES J E, DAY A I. The inheritance angle: A determinant for the number of members in the substituted cucurbit[n]uril family[J]. Org. Lett., 2017, 19(15): 4034-4037 doi: 10.1021/acs.orglett.7b01786

    25. [25]

      CHEN M H, LV N X, ZHAO W W, DAY A I. The cyclobutanocucurbit[5-8]uril family: Electronegative cavities in contrast to classical cucurbituril while the electropositive outer surface acts as a crystal packing driver[J]. Molecules, 2021, 26(23): 7343 doi: 10.3390/molecules26237343

    26. [26]

      邓德朋, 陈明华, 刘元东, 钱丙飞, 夏位敏, 易君明. 四个CyB5Q[5]-Ca配合物的晶体结构和在不同阴离子环境下的不同配位状态[J]. 无机化学学报, 2022, 389(10): 1927-1938DENG D P, CHEN M H, LIU Y D, QIAN B F, XIA W M, YI J M. Crystal structure of four CyB5Q[5]-Ca complexes: The different coordination states in different anionic environments[J]. Chinese J. Inorg. Chem., 2022, 389(10): 1927-1938

    27. [27]

      LONG S Y, MA P H, XIAO X, ZHENG J, MA Y, YANG X N, CHEN M H. Construction of supramolecular self-assembly of cyclobutanocucurbit[5]uril and six aromatic amines[J]. J. Mol. Struct., 2024, 1302: 137487 doi: 10.1016/j.molstruc.2024.137487

    28. [28]

      SHELDRICK G M. SHELXS-97, Program for the solution of crystal structures[CP]. University of Göttingen, Germany, 2015.

  • Figure 1  (a) Single crystal structure of Q[6]; (b) Crystal structure of Q[6]-guest inclusion complex; (c) Q[6]-Q[6] and Q[6]-guest interactions; (d) Single crystal structure of CyB5Q[5]-Ca and guest; (e) Crystal structure of CyB5Q[5] interacting with the port of the guest

    Figure 2  Coordination bond details of complexes 1 (a), 2 (b), 3 (c), and 4 (d)

    Water molecules, chloride ions, and other anions are omitted for clarity; Symmetry codes: x, 3/2-y, z for 1; x, 1/2-y, z for 3.

    Figure 3  Stacking diagram and 1D molecular chain of complex 1: stacking diagram along (a) a-axis, (b) b-axis, and (c) c-axis, respectively; (d) 1D molecular chain (water molecules, chloride ions, and perchlorate ions are omitted for clarity)

    Figure 4  Stacking diagram and 1D molecular chain of complex 2: stacking diagram along (a) a-axis, (b) b-axis, and (c) c-axis, respectively; (d) 1D molecular chain (water molecules and chloride ions are omitted for clarity)

    Figure 5  Stacking diagram and 1D molecular chain of complex 3: stacking diagram along (a) a-axis, (b) b-axis, and (c) c-axis, respectively; (d) 1D molecular chain (water molecules and bromide ions are omitted for clarity)

    Figure 6  Stacking diagram and 1D molecular chain of complex 4: (a) 1D molecular chain (along b-axis); stacking diagram along (b) a-axis, (d) b-axis, and (e) c-axis, respectively; (c, f) details of the noncovalent interaction between CyB5Q[5] and [ZnCl4]2- (water molecules and chlorine ions are omitted for clarity Cl-)

    Table 1.  Crystallographic data and structural refinement parameters for complexes 1-4

    Parameter 1 2 3 4
    Formula C40H60ClN20NaO244 C42H46K2N22O13S2 C40H42BrClN20Na2O11 C40H46Cl4K2N20O13Zn
    Formula weight 1 263.52 1 209.33 1 140.27 1 300.34
    λ / nm 0.154 184 0.071 073 0.154 184 0.154 184
    Temperature / K 120.01(10) 200.00(10) 220(2) 99.99(13)
    Crystal system Orthorhombic Monoclinic Orthorhombic Triclinic
    Space group Pnma P21/n Pnma P1
    a / nm 3.113 79(4) 1.616 33(6) 2.937 87(5) 1.165 75(2)
    b / nm 1.534 48(2) 1.509 62(5) 1.157 84(2) 1.407 81(3)
    c / nm 1.128 75(10) 2.127 30(10) 1.491 25(3) 1.763 10(3)
    α / (°) 88.077(2)
    β / (°) 99.688(4) 82.669 0(10)
    γ / (°) 81.942
    V / nm3 5.393 22(11) 5.116 7(4) 5.072 61(16) 2.841 17(9)
    Z 4 4 4 2
    Dc / (g·cm-3) 1.537 1.570 1.493 1.520
    Goodness-of-fit on F 2 1.002 1.025 1.023 1.067
    R1a [I > 2σ(I)] 0.090 2 0.079 7 0.098 3 0.062 8
    wR2b [I > 2σ(I)] 0.250 0 0.249 8 0.283 2 0.175 8
    R1 (all data) 0.094 8 0.110 6 0.103 3 0.065 7
    wR2 (all data) 0.247 3 0.221 4 0.290 6 0.174 0
    a R1=∑||Fo|-|Fc||/∑|Fo|; b wR2=|∑w(|Fo|2-|Fc|2)|/∑|w(Fo)2|1/2, where w=1/[σ2(Fo2)+(aP)2+bP], P=(Fo2+2Fc2)/3.
    下载: 导出CSV
  • 加载中
计量
  • PDF下载量:  0
  • 文章访问数:  954
  • HTML全文浏览量:  72
文章相关
  • 发布日期:  2026-01-10
  • 收稿日期:  2025-06-09
  • 修回日期:  2025-09-23
通讯作者: 陈斌, bchen63@163.com
  • 1. 

    沈阳化工大学材料科学与工程学院 沈阳 110142

  1. 本站搜索
  2. 百度学术搜索
  3. 万方数据库搜索
  4. CNKI搜索

/

返回文章