钴镍双单原子催化剂电催化合成H2O2及原位电芬顿降解污染物

邢志强 刘金玲 苏明明 张蕾 杨丽君

引用本文: 邢志强, 刘金玲, 苏明明, 张蕾, 杨丽君. 钴镍双单原子催化剂电催化合成H2O2及原位电芬顿降解污染物[J]. 无机化学学报, 2025, 41(12): 2479-2490. doi: 10.11862/CJIC.20250181 shu
Citation:  Zhiqiang XING, Jinling LIU, Mingmin SU, Lei ZHANG, Lijun YANG. CoNi dual-single-atom catalyst for electrocatalytic H2O2 production and in situ electro-Fenton degradation of pollutants[J]. Chinese Journal of Inorganic Chemistry, 2025, 41(12): 2479-2490. doi: 10.11862/CJIC.20250181 shu

钴镍双单原子催化剂电催化合成H2O2及原位电芬顿降解污染物

    通讯作者: 杨丽君, E-mail:lijunyang@lnu.edu.cn
  • 基金项目:

    国家自然科学基金 52102104

    辽宁省自然科学基金 2024-MS-006

摘要: 基于原子级金属分散活性位点以及N、O元素共掺杂碳基底的协同作用,设计、合成了一种原子级分散的异核双金属单原子电催化剂(Co/Ni-SACs)。相比于单原子催化剂,Co/Ni-SACs的两电子ORR活性和选择性得到了明显提升。在0~0.6 V(vs RHE)范围内,Co/Ni-SACs催化合成H2O2的选择性约为80%;在0.4 V(vs RHE)电位下Co/Ni-SACs催化反应4.5 h后的H2O2产量达到1.88 mol·L-1·gcat-1·cm-2,且具有稳定的电流响应、选择性和循环利用性。Co/Ni-SACs与不锈钢网(SSM)构建的双阴极电芬顿体系,可以高效活化原位生成的H2O2,进而产生高氧化性的羟基自由基(·OH),实现多种染料、抗生素等有机污染物的降解以及重金属Cr(Ⅵ)的减毒。

English

  • 过氧化氢(H2O2)作为当前工业中最重要的化学品之一,被广泛应用于医疗、污水处理以及工业合成等领域[1]。目前,H2O2的大规模生产主要依赖于高能耗的蒽醌氧化法,这种方法的工艺复杂,能耗高,会产生有毒的有机废物,存在副反应,而且所产生的高浓度H2O2在储存和运输方面也存在安全隐患[2]。因此,寻找一种低成本、绿色环保、安全的H2O2合成新方法迫在眉睫。电催化两电子氧还原反应(ORR)能在温和的反应条件下实现H2O2的绿色合成,被认为是替代蒽醌氧化法最有潜力的技术。

    近年来,过渡金属-氮-碳(M-N-C)电催化剂因具有可调的电子结构、低成本、高质量活性等优点而受到了极大的关注。其中,单原子催化剂(SACs)凭借其优异的催化效果和较高的原子利用率已成为催化领域的研究热点。SACs催化ORR的选择性在很大程度上取决于其中心金属原子,中心金属原子是进行催化反应的活性位点,能够优化*OOH中间体的吸附能,从而更高效地生成H2O2[3]。Chen等采用理论与实验相结合的方式,通过调控原子的配位环境,证实了当Co-N4中含有大量吡咯氮时主要发生两电子ORR生成H2O2的过程,而含有大量吡啶氮时则主要发生四电子ORR产H2O的过程[4]。在Co-N4中引入其他杂原子(如O、B、F等原子)可以改变其周围的电子结构,特别是以醚键、羧基或醌基形式存在的含氧官能团可以显著增强H2O2的生成[5]。具有不同中心金属原子的双单原子催化剂不仅继承了单原子催化剂的优势,同时具有2种不同的金属活性中心,理论上能够独立调控多电子催化反应过程中不同反应中间体的吸附能[6-7]。另外,其相邻的2个中心金属原子相互配合,可以调节d带中心,优化催化活性中心与反应物的相互作用。通过调节2种金属原子相邻活性位点之间的电子结构,可以降低能量势垒,发挥双原子的协同效应[8]。异核双单原子催化剂独特的结构能够优化对*OOH中间体的吸附,同时避免O—O键的断裂,从而实现对H2O2的高选择性生成[9]。然而,如何精准构筑具有不同金属活性中心的双单原子催化剂并调控其电子结构,从而实现高选择性地电合成H2O2,仍是当前研究面临的重大挑战。

    基于原位合成H2O2的电芬顿技术因具有高效性、操作简便、环境友好等优点,在降解污染物方面受到了广泛关注[10]。在电芬顿过程中,H2O2可通过阴极上的两电子ORR生成(O2+2H++2e-→H2O2),避免了H2O2运输和储存的风险;随后,生成的H2O2在Fe2+的活化作用下产生具有高氧化性[氧化还原电位为2.8 V(vs RHE)]的羟基自由基(·OH)(H2O2+Fe2+→Fe3++·OH+OH-),可实现废水中广谱污染物的降解[11-12]。这一技术解决了传统芬顿反应过程中存在的诸多缺陷,如pH适用范围窄、需持续添加H2O2、Fe2+再生缓慢且反应过程中易产生铁泥等[13-14]。然而,该技术存在H2O2生成速率和利用率低、Fe3+/Fe2+循环效率不足等问题。研究表明,H2O2还可以通过非牺牲性阴极上的电催化作用(H2O2+e-→·OH+OH-)被活化成·OH[15-17]。因此,开发高性能阴极催化剂以获得充足的H2O2,并通过第二阴极实现其高效活化生成活性基团,进而降解污染物,是一种完全可行且极具吸引力的新型电芬顿技术。这一过程完全不需要添加化学试剂,同时避免了铁絮等絮状生成物对催化剂活性位点的掩盖,是一种节能、高效、可持续的高级氧化技术。已有研究通过氮掺杂石墨烯阴极验证了该方法,其中石墨氮和吡啶氮分别负责H2O2的生成和活化[18-19]。然而由于石墨烯成本高昂且氮掺杂类型和含量难以精准调控,该方法在实际应用中受到限制。因此,开发一种高效、经济、无额外添加剂的双阴极电芬顿体系,可实现仅依赖氧气和电能输入的可持续废水处理。

    基于本课题组的前期工作[20],我们设计了一种具有原子级分散的双金属活性中心的N、O元素共掺杂碳电催化剂(Co/Ni-SACs),并用于电催化两电子ORR高选择性地合成H2O2。基于原子级分散的Co、Ni异核活性位点以及N、O元素共掺杂碳基底的协同作用,Co/Ni-SACs催化剂在ORR中展现出优异的电催化活性和H2O2选择性。在含有十六烷基三甲基溴化铵(CTAB)的KOH溶液中,Co/Ni-SACs于0~0.6 V(vs RHE)电位范围内催化合成H2O2的选择性约为80%,对应的电子转移数约为2.4;在0.4 V(vs RHE)最佳电位下催化反应4.5 h后,H2O2产量最高,约为1.88 mol·L-1·gcat-1·cm-2。此外,Co/Ni-SACs催化剂在电催化反应过程中表现出稳定的电流响应、选择性和循环利用性。基于此,我们构建了以Co/Ni-SACs与不锈钢网(SSM)为双阴极的无添加剂的电芬顿体系,该体系能够高效活化原位生成的H2O2,产生高氧化活性的·OH,最终实现多种染料、抗生素等有机污染物的降解以及重金属铬的减毒。

    四水合乙酸钴(Co(Ac)2·4H2O)、四水合乙酸镍(Ni(Ac)2·4H2O)、L‑谷氨酸(C5H9NO4)、氢氧化钾(KOH)、葡萄糖一水合物(C6H12O6·H2O)、三聚氰胺(C3H6N6)、二水合草酸钛钾(K2TiO(C2O4)2·2H2O)、硫氰化钾(KSCN)、CTAB(C16H33(CH3)3NBr)、十二烷基苯磺酸钠(C18H29NaO3S,SDBS)、铁氰化钾(K3[Fe(CN)6])、浓硫酸(H2SO4)、浓硝酸(HNO3)、H2O2溶液均为分析纯,均购于沈阳国药集团化学试剂有限公司。5%Nafion溶液购于上海阿拉丁生化科技有限公司。实验用水均为二次亚沸水。

    实验所用仪器包括SU8010型超高分辨率场发射扫描电子显微镜(SEM,日本,Hitachi公司)、D5000型X射线粉末衍射仪(XRD,德国,Siemens公司,工作电压为30 kV,电流为30 mA,辐射源为Cu ,波长约为0.154 nm,扫描范围为10°~80°)、ESCALAB 250 Xi型X射线光电子能谱仪(XPS,美国,Thermo公司)、in Via Reflex显微拉曼光谱仪(Raman,英国,Renishaw公司)、CHI 760E电化学工作站(中国,上海辰华公司)、旋转圆盘测试装置(理化公司,电极收集率为37%)、FA1004电子称量精密分析天平(中国,沈阳龙腾公司)、KQ-100超声分散仪(中国,昆山超声公司)、GB25电子鼓风干燥箱(中国,南京实验仪器公司)及Arium 611实验室纯水制备系统(德国,赛多利斯公司)。

    首先,根据Hummer′s法[21]制备氧化石墨烯(GO)。然后将50 mg GO加入至50 mL水中,超声以获得均匀的分散液。向上述分散液中加入1 mmol Ni(Ac)2·4H2O、1 mmol Co(Ac)2·4H2O,室温下搅拌1 h,得到溶液A。称取2 g L-谷氨酸、0.8 g葡萄糖和2 g三聚氰胺溶于10 mL的水中,80 ℃水浴中搅拌至完全溶解,得到溶液B。将溶液A逐滴滴加到溶液B中,继续搅拌4 h,离心后在60 ℃烘箱中干燥,得到复合前驱体。将得到的复合前驱体移入管式炉中,在氮气氛围下以5 ℃·min-1的升温速度加热至900 ℃并保持2 h,自然冷却至室温后获得金属纳米颗粒(MNPs)和原子分散位点共存的催化剂(MNPs@Co/Ni-SACs)。将MNPs@Co/Ni-SACs加入到100 mL 10 mol·L-1浓硝酸中,在90 ℃下回流6 h以刻蚀掉MNPs。所得固体产物用去离子水和乙醇洗涤数次,60 ℃干燥后得到双单原子催化剂(Co/Ni-SACs)。

    为了进行对比,按照上述方法分别在不添加Co(Ac)2·4H2O和Ni(Ac)2·4H2O的前提下合成镍单原子催化剂(Ni-SACs)和钴单原子催化剂(Co-SACs)。

    准确称取2 mg催化剂,将其分散在800 μL含有2% Nafion的乙醇/水混合溶液(15,V/V)中,超声分散得到稳定均匀的催化剂分散液。用移液枪移取8 μL的上述分散液,均匀滴涂在旋转环盘电极(RRDE)上晾干,制备得到负载催化剂的工作电极(环电极面积为0.186 6 cm2,盘电极面积为0.247 5 cm2),催化剂的负载量为0.08 mg·cm-2。在三电极体系中,以负载催化剂的RRDE为工作电极,铂片为对电极,Ag/AgCl为参比电极,采用CHI 760E电化学工作站进行ORR选择性测试。根据E=E′+0.059pH+0.197 6,将相对Ag/AgCl电极电位(E′)转化为相对可逆氢电极电位(E)。在O2饱和的0.1 mol·L-1 KOH溶液中进行电化学测试,工作电极的转速为1 600 r·min-1,以5 mV·s-1的扫描速度在0~1 V(vs RHE)内进行线性扫描循环伏安法(LSV)测试,在此过程中环电极的电位设置为1.4 V(vs RHE)。

    根据盘电流(JD)、环电流(JR)以及收集效率(N)计算H2O2选择性(S)和电子转移数(n),计算公式如下[22]

    $ S=200\times \frac{\frac{{J}_{\mathrm{R}}}{N}}{\left|{J}_{\mathrm{D}}\right|+\frac{{J}_{\mathrm{R}}}{N}} $

    (1)

    $ n=\frac{4\left|{J}_{\mathrm{D}}\right|}{\left|{J}_{\mathrm{D}}\right|+\frac{{J}_{\mathrm{R}}}{N}} $

    (2)

    准确称取1.8 mg催化剂,将其分散在1 607 μL含有0.6% Nafion的水溶液中,超声得到稳定均匀的分散液。用移液枪移取5 μL的上述分散液,均匀滴涂在玻碳电极(GDE)上晾干,制备得到负载催化剂的工作电极,催化剂的负载量为0.08 mg·cm-2。在三电极体系中,以负载催化剂的GDE为工作电极,铂片为对电极,Ag/AgCl为参比电极,采用CHI 760E电化学工作站进行电化学性能测试。在O2饱和的0.1 mol·L-1 KOH溶液中,以5 mV·s-1的扫描速度在0~1 V(vs RHE)区间内进行循环伏安法(CV)测试。在0.87~0.97 V(vs RHE)非法拉第区域,以不同的扫描速度(20、40、60、80、100 mV·s-1)进行CV测试。以0.92 V(vs RHE)下的平均电流密度[(Ja+Jc)/2,JaJc分别代表CV曲线中的氧化和还原电流电流密度]与扫描速度作图,所得直线的斜率即为该电极的双电层电容(Cdl)。该电容值与电极的电化学活性表面积成正比。

    电化学阻抗谱(EIS)测试采用CHI 760E电化学工作站在0.1 mol·L-1 K3[Fe(CN)6]溶液中进行,以负载2 mg催化剂的掺杂氟的SnO2导电玻璃(FTO,2 cm×2 cm)为工作电极,铂片为对电极,Ag/AgCl为参比电极,电位为1.3 V (vs RHE),频率范围为0.1~ 10 000 Hz,振幅为5 mV。

    准确称取2 mg催化剂,将其分散在500 μL含有1% Nafion的水溶液中,超声得到稳定均匀的分散液。将上述分散液均匀滴涂在预处理后的碳纸(CP)上晾干[23],制备得到负载催化剂的工作电极(Co/Ni-SACs/CP)。采用CHI 760E电化学工作站,在带有质子交换膜(Nafion 117)的H型电解池中,以Co/Ni-SACs/CP为工作电极,铂片为对电极,Ag/AgCl为参比电极,在20 mL O2饱和的0.1 mol·L-1 KOH和1 mmol·L-1 CTAB混合溶液中电催化合成H2O2

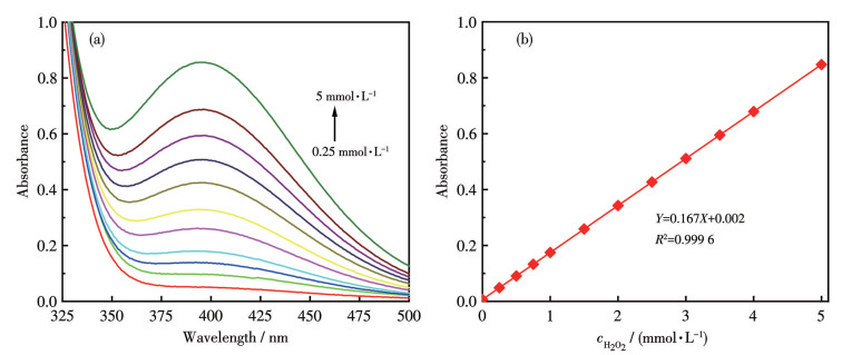
    采用草酸钛钾光度法对生成的H2O2进行定量分析。具体检测方法如下:在不同采样间隔下,取500 μL H2O2样品溶液,依次加入500 μL 3 mol·L-1 H2SO4、500 μL 0.1 mol·L-1 K2TiO(C2O4)2和1 000 μL水,摇晃均匀后采用紫外分光光度计在400 nm波长下进行定量检测。草酸钛钾光度法检测H2O2的紫外可见吸收光谱和标准曲线如图 1所示。

    图 1

    图 1.  草酸钛钾光度法检测H2O2的(a) 紫外可见吸收光谱和(b) 标准曲线
    Figure 1.  (a) UV-visible adsorbed spectra and (b) the corresponding standard curve for H2O2 detection based on potassium titanium oxalate photometric method

    催化合成H2O2的法拉第效率(FE)计算公式如下:

    $ \mathrm{F}\mathrm{E}=\frac{ncVF}{{\int }_{0}^{t}I\mathrm{d}t}\times 100\mathrm{\%} $

    (3)

    其中,n为电子转移数,c为H2O2浓度(mol·L-1),V为反应溶液的体积(L),F为法拉第常数(96 485 C·mol-1),I为通过阴极的电流(A),t为反应时间(s)。

    在CHI 760E电化学工作站上,以Co/Ni-SACs/CP电极为第一阴极,SSM(2 cm×2 cm)为第二阴极,铂片为对电极,Ag/AgCl为参比电极,在20 mL含有10 mg·L-1不同污染物的O2饱和的Na2SO4(0.1 mol·L-1,pH=3)电解液中进行污染物降解。Co/Ni-SACs/CP第一阴极的电位为0 V (vs RHE),SSM第二阴极的电位为-0.4 V(vs RHE)。分别采用亚甲蓝(MB)、甲基橙(MO)、孔雀石绿(MG)、环丙沙星(CIP)、异丙隆(ISO)和K2Cr2O7(Cr(Ⅵ))作为目标污染物,考察双阴极电芬顿体系降解污染物的性能。

    采用SEM对催化剂的形貌进行表征。从图 2a中可以看出,所获得的MNPs@Co/Ni-SACs主要以蜂窝状结构负载在GO片层上,同时可以明显观察到许多球形纳米颗粒(直径约为100 nm);经过酸刻蚀之后,Co/Ni-SACs的形貌(图 2b)并未发生明显改变,但球形的MNPs完全消失,说明酸洗可以有效去除MNPs。在Co/Ni-SACs的高角环形暗场-扫描透射电子显微镜(HAADF-STEM,图 2c)图中可以看到随机分布的白色亮点(用红色虚线标出),证实了Co、Ni元素以原子形式均匀分布在碳基底上,并没有明显的团簇或者纳米颗粒存在。EDS(图S1,Supporting information)结果分析证实了MNPs@Co/Ni-SACs和Co/Ni-SACs中均含有C、N、O、Co、Ni元素。与MNPs@Co/Ni-SACs对比,Co/Ni-SACs中Co、Ni元素的含量明显降低;同时,O元素的含量明显升高,说明引入了大量的含氧官能团。

    图 2

    图 2.  (a) MNPs@Co/Ni-SACs和(b) Co/Ni-SACs的SEM图; (c) Co/Ni-SACs的HAADF-STEM图; MNPs@Co/Ni-SACs、Co/Ni-SACs和Ni-SACs的(d) XRD图、(e) 拉曼谱图和(f) FTIR谱图
    Figure 2.  SEM images of (a) MNPs@Co/Ni-SACs and (b) Co/Ni-SACs; (c) HAADF-STEM image of Co/Ni-SACs; (d) XRD patterns, (e) Raman spectra, and (f) FTIR spectra of MNPs@Co/Ni-SACs, Co/Ni-SACs, and Ni-SACs

    采用XRD对催化剂的晶体结构进行分析。如图 2d所示,MNPs@Co/Ni-SACs中出现了明显的金属Co0(PDF No.15-0806)[16]和金属Ni0(PDF No.65-0380)[24]的衍射峰。酸洗后,金属的衍射峰明显消失,说明酸刻蚀完全去除了MNPs,另外,位于26.6°和43.4°的衍射峰分别对应石墨碳(PDF No.26-1076)的(002)和(100)晶面[25]。由此可以推断,Co、Ni元素可能以原子分散形式存在于催化剂中[26]。拉曼光谱表征结果显示(图 2e),所制备催化剂均在1 350和1 580 cm-1附近出现碳材料所特有的表面缺陷峰(D峰)和石墨化结构特征峰(G峰)[27]。通过二者的峰强度比(ID/IG)可以看出,Co/Ni‑SACs的ID/IG均大于MNPs@ Co/Ni-SACs和Ni-SACs,说明其具有更高的缺陷程度,这将有利于后续的电催化反应[28]。FTIR谱图(图 2f)中出现了众多含氧官能团的特征峰:3 400 cm-1处的宽峰对应O—H/N—H伸缩振动,1 638 cm-1处对应—C=C/C=N,1 380 cm-1处对应C—H,1 150 cm-1处对应C—OH,1 073 cm-1处对应C—O—C,940 cm-1处对应=C—H面外弯曲振动,857 cm-1处对应芳香环的C—H面外弯曲振动[29-32],与EDS结果一致,说明催化剂表面具有丰富的含N、O官能团,这有利于后续催化反应中对反应物的吸附。

    使用XPS对催化剂的化学结构以及元素组成进行表征。在XPS全谱图(图 3a)中,Co/Ni-SACs主要含有Co、Ni、O、N、C五种元素。对于MNPs@Co/ Ni-SACs,Ni2p的高分辨XPS谱图(图 3b)也显示了Ni—Ni(852.8和869.9 eV)、Ni—N(854.7和871.5 eV)、Ni—O(856.5和873.3 eV)三个分峰及2个卫星峰(861.1和878.2 eV)[33-35]。Co2p的高分辨XPS谱图(图 3c)显示了Co—Co(778.1和793.5 eV)、Co—N(780.6和795.4 eV)、Co—O(782.7和797.6 eV)三个分峰及2个卫星峰(786.7和803.4 eV)[36-37]。酸洗后,Co/Ni-SACs的高分辨XPS谱图中对应Co0、Ni0的特征峰均消失,说明Co和Ni MNPs被完全刻蚀去除,仍存在的Co和Ni元素可能以配位的形式存在于Co/Ni-SACs中,与XRD结果一致[38]。酸洗后金属元素对应的特征峰均发生了位移,主要是由于酸洗过程可能会蚀刻掉催化剂表面的无定型碳、不稳定的MNPs或弱结合的金属物种,这一过程会改变剩余单原子金属中心的配位原子和配位结构。与Ni-SACs相比,Co/Ni-SACs中Ni2p结合能有明显的正移,这可能是因为Co的引入诱导了电荷重新分配,使得Ni处于缺电子状态,这将有利于后续的电催化反应过程中反应物的吸附和活化[28]。在Co/Ni-SACs的高分辨N1s XPS谱图中(图 3d),主要有吡啶N(Py-N,398.2 eV)、M—Nx(399.1 eV,M为金属)、吡咯N(Pyr-N,400.5 eV)、石墨N(Gr-N,401.9 eV)和N—O(405.7 eV)五个分峰[39],其中M—Nx的存在说明金属可能以与N原子配位的形式存在。Co/Ni-SACs的O1s高分辨XPS谱图如图 3e所示,图中显示了氧空位(OV,530.9 eV)、C=O(531.8 eV)、C—O—C(532.7 eV)及O=C—O(533.7 eV)的特征峰[16],与FTIR结果一致。C—O—C和O=C—O存在有利于提高两电子ORR产H2O2的选择性[40]。Co/Ni-SACs的C1s高分辨XPS谱图(图 3f)主要分成4个峰,分别为C—C(284.8 eV)、C—O/C—N(285.3 eV)、C—O—C(286.2 eV)和C=O(289.3 eV)[41-42],证实了N、O元素的成功引入。综上所述,成功合成了具有原子分散的Co、Ni活性位点的高催化活性N、O共掺杂碳复合催化剂。

    图 3

    图 3.  MNPs@Co/Ni-SACs、Co/Ni-SACs和Ni-SACs的(a) XPS全谱图及(b) Ni2p、(c) Co2p、(d) N1s、(e) O1s和(f) C1s高分辨XPS谱图
    Figure 3.  (a) XPS survey and high-resolution XPS spectra of (b) Ni2p, (c) Co2p, (d) N1s, (e) O1s, and (f) C1s for MNPs@Co/Ni-SACs, Co/Ni-SACs, and Ni-SACs

    In panel a: the percentages represented the atomic fractions of Co and Ni.

    为探究催化剂的电催化两电子ORR性能,采用RRDE在O2饱和的0.1 mol·L-1 KOH中考察了Co/Ni-SACs和Ni-SACs电催化合成H2O2的催化活性和选择性。根据LSV曲线(图 4a和图S2)可以观察到,Co/Ni-SACs显示了更大的环电流密度,说明双金属原子分散位点具有更佳的两电子ORR能力。根据公式1和2可以计算催化剂的两电子ORR选择性和电子转移数,结果如图 4b所示。Co/Ni-SACs在0.2~0.7 V(vs RHE)电位区间内的H2O2选择性达66%~76%,转移电子数为2.5。在相同电压范围内,Ni-SACs的选择性明显低于Co/Ni-SACs,电子转移数更接近于4,说明Co/Ni-SACs更适合于H2O2的合成。图 4c的CV曲线显示,Co/Ni-SACs和Ni-SACs在N2饱和的碱性电解液中没有还原峰出现,而在O2饱和的电解液中出现了明显的还原峰,说明H2O2的产生可能是来源于ORR而不是水氧化反应(WOR)。同时,Co/Ni-SACs的CV曲线积分面积大于Ni-SACs,与图 4d中的电化学活性表面积结果一致。EIS(图 4e)表明Co/Ni-SACs具有更小的电荷转移电阻,说明其更有利于提升电催化ORR性能。为了探究催化剂的活性中心,采用KSCN对催化剂中原子级的金属活性位点进行掩蔽[43]。如图 4f所示,加入KSCN后,Co/Ni-SACs催化ORR的电流密度有明显的降低,证实了原子级活性位点的存在。同时,在整个电位区间范围内,Co/Ni-SACs电催化H2O2还原反应(H2O2RR)的电流密度显著低于通过ORR合成H2O2所产生的电流密度,说明其更适用于H2O2的合成。另外,Co/Ni-SACs在酸性(0.1 mol·L-1 HClO4,pH=1)和中性(0.1 mol·L-1磷酸盐缓冲液,pH=7)电解质溶液中也展现出一定的两电子ORR活性和选择性,但在碱性(0.1 mol·L-1 KOH,pH=13)电解质溶液中两电子ORR活性和选择性最高(图S3)。

    图 4

    图 4.  Co/Ni-SACs和Ni-SACs的(a) ORR LSV曲线、(b) H2O2选择性(上)和电子转移数(下)、(c) CV曲线、(d) 电化学活性表面积和(e) EIS; (f) Co/Ni‐SACs在碱性电解质溶液中添加KSCN前后的LSV曲线(左)及H2O2RR曲线(右)
    Figure 4.  (a) ORR LSV curves, (b) H2O2 selectivity (up) and the number of transferred electrons (down), (c) CV curves, (d) electrochemical active surfaces, and (e) EIS of Co/Ni-SACs and Ni-SACs; (f) LSV curves before and after adding KSCN in alkaline electrolyte solution (light) and H2O2RR curves (right) of Co/Ni-SACs

    表面活性剂可以促进反应中间体在界面的吸附和聚集,有利于提高反应速率和终产物的产量。为了探究表面活性剂对两电子ORR性能的影响,分别考察1 mmol·L-1阳离子型(CTAB)和阴离子型(SDBS)表面活性剂对Co/Ni-SACs催化ORR性能的影响。结果如图S4所示,加入表面活性剂之后,起始电位和盘电流并没有发生明显变化,说明表面活性剂的存在并不影响ORR催化活性;但在加入CTAB后,对应环电流密度明显增高,而加入SDBS之后其环电流密度有明显的降低,说明不同类型的表面活性剂只会影响产物的选择性。在0~0.6 V(vs RHE)的范围内,CTAB明显提升了Co/Ni-SACs催化两电子ORR的选择性(最高约80%),电子转移数约为2.4;而SDBS存在时其选择性明显下降(约55%),电子转移数约为2.9。上述出现的差异性主要可能是由于阳离子型表面活性剂会通过其疏水链增强对O2的吸附,利用其所带正电荷稳定OOH*中间体并抑制H2O2分解,从而增强两电子ORR选择性;而阴离子型表面活性剂所带的负电荷不仅会与反应中间体产生静电排斥力并削弱其吸附作用,还会促进H2O2进一步还原为H2O,最终降低了H2O2选择性[44]。因此,我们采用Co/Ni-SACs在含有CTAB的碱性电解质溶液中进行H2O2的合成。

    基于Co/Ni-SACs良好的电催化ORR活性和H2O2选择性,对其电催化合成H2O2的性能进行研究。在0.4 V(vs RHE)电位下Co/Ni-SACs催化ORR 1 h,H2O2产量达到最高(0.37 mol·L-1·gcat-1·cm-2),且随着电位不断增加,FE增加至90%并维持稳定(图S5)。随着反应时间的增加(图 5a和S6),Co/Ni-SACs催化合成H2O2的产量也随之增加,在5 h时达到最大(1.41 mol·L-1·gcat-1·cm-2)并维持稳定,而且其产量明显高于Ni-SACs(0.77 mol·L-1·gcat-1·cm-2)和Co-SACs(0.66 mol·L-1·gcat-1·cm-2)。加入CTAB之后,H2O2的产量明显增加并在4.5 h时H2O2的累积量高达1.88 mol·L-1·gcat-1·cm-2,而在SDBS存在下H2O2产量明显降低(0.65 mol·L-1·gcat-1·cm-2),与RRDE的结果(图S4)一致。在电催化反应过程中电流密度和选择性均未出现明显的衰减(图 5b)。当交替通入N2和O2时(图 5c),H2O2仅在O2存在时产生,说明H2O2来源于ORR,并非WOR。同时在不断变换气体氛围过程中,催化ORR的电流强度和H2O2产量均无明显变化。此外,Co/Ni-SACs可以循环使用4次且H2O2产量保持稳定(图 5d)。连续催化合成24 h(每6 h更换电解质溶液),Co/Ni-SACs催化合成H2O2仍能保持稳定的电流响应和H2O2产量(图 5e)。催化反应后,Co/Ni-SACs的形貌以及组分均没有明显变化(图 5f,XPS谱图中F和K元素分别来自Nafion和电解质溶液),说明其具有较为稳定的电催化性能。

    图 5

    图 5.  催化剂电催化合成H2O2的性能: (a) 不同催化体系催化合成H2O2的产量-时间曲线; (b) 0.4 V (vs RHE)下Co/Ni-SACs电催化反应过程中的盘电流、环电流和选择性曲线; (c) 每60 min交替通入N2和O2时电流响应和H2O2产量曲线; (d) Co/Ni-SACs催化合成H2O2的循环利用性; (e) Co/Ni-SACs长时间催化合成H2O2的电流响应和产量曲线; (f) 催化前后Co/Ni-SACs的XPS全谱图
    Figure 5.  Electrocatalytic performance of catalysts in H2O2 synthesis: (a) H2O2 yield-time curves of different catalytic systems; (b) disk current, ring current, and selectivity curves of Co/Ni-SACs at 0.4 V (vs RHE) during the electrocatalytic process; (c) current response and H2O2 yield curves by alternating N2 and O2-saturated electrolyte every 60 min; (d) recyclability of Co/Ni-SACs in the catalytic synthesis of H2O2; (e) current response and H2O2 yield curves of Co/Ni-SACs during long-term electrocatalysis; (f) XPS survey spectra of Co/Ni-SACs before and after electrocatalysis

    Inset: the corresponding SEM image after electrocatlysis.

    为了进一步拓展原位生成H2O2的应用范围与实际效能,设计构建了一种双阴极电芬顿体系用于多种污染物的降解。SSM作为一种低成本的商业化材料,在水溶液中具有高化学稳定性,并能有效催化H2O2转化为·OH[15, 45]。同时,SSM可以通过堆叠或卷压工艺组装成气体扩散电极,具有高孔隙率和高比表面积的特点,有利于离子传输/电子传递。采用Co/Ni-SACs/CP作为第一阴极用于原位合成H2O2,SSM作为第二阴极促进H2O2原位活化生成高氧化性·OH,从而实现降解污染物。首先,考察了Co/Ni-SACs/CP在0.1 mol·L-1 Na2SO4(pH=3)中催化ORR合成H2O2的性能。结果如图 6a所示,在0 V(vs RHE)时催化反应1 h后所合成的H2O2产量可达0.28 mol·L-1·gcat-1·cm-2,且FE最高。选取MB作为目标污染物,在此电位下考察了其对MB降解效率的影响。在双阴极电芬顿体系中,40 min内MB的降解效率达98.3%,较单阴极体系降解效率提升约56个百分点(图 6b),说明第二阴极的引入加速了H2O2的活化并促进了MB的快速降解。同时,第二阴极电位固定在-0.4 V(vs RHE)时MB的降解效率最佳(图 6c)。在最佳条件下,利用Co/Ni-SACs/CP原位合成的H2O2可通过双阴极电芬顿体系实现多种单组分染料(MO、MG)的脱色、污染物(CIP、ISO)的降解和重金属Cr(Ⅵ)的减毒(图 6d和S7)。这种双阴极电芬顿体系通过非牺牲性SSM阴极原位活化所生成的H2O2能够实现多种污染物的降解,具有广泛的普适性。

    图 6

    图 6.  (a) Co/Ni-SACs在不同电位下、0.1 mol·L-1 Na2SO4 (pH=3)中催化ORR合成H2O2的产量及FE; (b) 不同电极体系降解MB的降解效率柱状图; (c) 第二阴极电位对MB降解效率的影响; (d) 双阴极电芬顿体系降解不同污染物的降解效率; 双阴极电芬顿体系降解MB过程中(e)·OH捕获实验和电极附近溶液pH变化曲线以及(f) 荧光探针识别不同时间产生的·OH的荧光光谱
    Figure 6.  (a) H2O2 yield and FE of Co/Ni-SACs for electrocatalytic ORR towards H2O2 production at different potentials in 0.1 mol·L-1 Na2SO4 (pH=3); (b) Bar chart of degradation efficiency for MB with different electrode systems; (c) Effect of the second cathode potential on the degradation efficiency of MB; (d) Degradation efficiency of various pollutants in double-cathode electro-Fenton system; (e) ·OH trapping experiments and pH variation curve of the solution near the electrode, and (f) fluorescence spectra for detecting the generated ·OH at different times using a fluorescent probe during MB degradation in the dual-cathode electro-Fenton system

    为了探究双阴极电芬顿体系中H2O2的活化机制,通过自由基捕获实验考察了反应过程中是否产生高氧化活性·OH。添加叔丁醇(TBA,10 mmol·L-1)用于捕获降解过程中的·OH,结果发现(图 6e)MB的降解效率明显降低,说明·OH是降解过程中的主要活性基团。同时,电极附近溶液pH发生微小提升,推测可能有OH-产生。采用对苯二甲酸作为荧光探针检测·OH的产生,结果如图 6f所示。随着时间的增加,双阴极体系中所产生的·OH不断增加,推测主要是由原位生成的H2O2活化产生的。基于上述结果,双阴极活化原位生成H2O2的机制可能是通过以下途径实现[15]

    $ {\rm{O}}_{2}+2{\rm{H}}^{+}+2{\rm{e}}^{-} \to {\rm{H}}_{2}{\rm{O}}_{2} $

    (4)

    $ {\rm{H}}_{2}{\rm{O}}_{2}+{\rm{e}}^{-} \to \cdot {\rm{OH}}+{\rm{OH}}^{-} $

    (5)

    综上所述,将Co、Ni双单原子位点锚定在GO基底上可以为ORR催化合成H2O2提供特殊的化学微环境,具体表现如下:GO丰富的π电子结构为Co、Ni双单原子位点锚定提供了稳定的局部化学微环境,同时调控了活性中心的电子结构,加速了电荷传输,从而赋予了催化剂高反应活性、选择性和稳定性;丰富的含氧官能团有效促进了反应物的吸附与富集,显著提升了ORR动力学速率,同时也有利于增强与金属活性位点的相互作用。借助于双单原子活性位点和异质碳的协同作用,Co/Ni-SACs能够实现高效电合成H2O2并进一步转化为高氧化性活性基团,从而实现不同种类污染物的降解,为环境治理提供了一种绿色、可持续的高级氧化技术。

    以GO为基底,设计、合成了一种原子级分散的异核双金属电催化剂(Co/Ni-SACs),用于电催化两电子ORR高选择性地合成H2O2。基于均匀分散的原子级CoNi活性位点以及N、O元素共掺杂碳基底的协同作用,Co/Ni-SACs催化剂具有良好的电催化ORR活性和选择性。在0~0.6 V(vs RHE)电位范围内,Co/Ni-SACs在含有CTAB的KOH溶液中催化合成H2O2的选择性最高,约为80%,电子转移数约为2.4;在0.4 V(vs RHE)最佳电位下催化反应4.5 h后H2O2产量达到最高,约为1.88 mol·L-1·gcat-1·cm-2,同时具有稳定的电流响应、选择性和循环利用性。经过24 h的连续电催化,电流强度没有明显衰减,并保持良好的组成和结构稳定性。采用Co/Ni-SACs电催化合成H2O2,结合SSM原位活化H2O2以获得具有高氧化活性的·OH,构建无额外添加试剂的双阴极电芬顿体系能够实现多种不同种类有机污染物降解和重金属Cr(Ⅵ)的减毒。在Co/Ni-SACs和SSM最佳电位分别为0和-0.4 V(vs RHE)的条件下,所构建的双阴极电芬顿体系对MG、MO、MG、CIP和ISO的降解效率分别为98.3%、90.0%、87.9%、56.0%和59.0%,重金属Cr(Ⅵ)的转化率约为97.0%。通过机理探究实验证实·OH是降解污染物的主要活性基团。这项工作为开发、设计高选择性催化剂,实现电合成H2O2提供了新思路,并推动了其在废水处理领域的应用。


    Supporting information is available at http://www.wjhxxb.cn
    1. [1]

      WANG Q, REN L P, ZHANG J, CHEN X, CHEN C Y, ZHANG F, WANG S, CHEN J, WEI J J. Recent progress on the catalysts and device designs for (photo)electrochemical on-site H2O2 production[J]. Adv. Energy Mater., 2023, 13: 2301543 doi: 10.1002/aenm.202301543

    2. [2]

      DENG Z P, CHOI S J, LI G, WANG X L. Advancing H2O2 electrosynthesis: Enhancing electrochemical systems, unveiling emerging applications, and seizing opportunities[J]. Chem. Soc. Rev., 2024, 53: 8137-8181 doi: 10.1039/D4CS00412D

    3. [3]

      MAITI K, MAITI S, CURNAN M T, KIM H J, HAN J W. Engineering single atom catalysts to tune properties for electrochemical reduction and evolution reactions[J]. Adv. Energy Mater., 2021, 11: 2101670 doi: 10.1002/aenm.202101670

    4. [4]

      CHEN S Y, LUO T, LI X Q, CHEN K J, FU J W, LIU K, CAI C, WANG Q Y, LI H M, CHEN Y, MA C, ZHU L, LU Y R, CHAN T S, ZHU M S, CORT S E, LIU M. Identification of the highly active Co-N4 coordination motif for selective oxygen reduction to hydrogen peroxide[J]. J. Am. Chem. Soc., 2022, 144: 14505-14516 doi: 10.1021/jacs.2c01194

    5. [5]

      GUO Y, ZHANG R, ZHANG S C, HONG H, ZHAO Y W, HUANG Z D, HAN C P, LI H F, ZHI C Y. Ultrahigh oxygen-doped carbon quantum dots for highly efficient H2O2 production via two-electron electrochemical oxygen reduction[J]. Energ. Environ. Sci., 2022, 15: 4167-4174 doi: 10.1039/D2EE01797K

    6. [6]

      LIU M, LI N, CAO S F, WANG X M, LU X Q, KONG L J, XU Y H, BU X H. A "pre-constrained metal twins" strategy to prepare efficient dual-metal-atom catalysts for cooperative oxygen electrocatalysis[J]. Adv. Mater., 2022, 34: 2107421 doi: 10.1002/adma.202107421

    7. [7]

      OUYANG Y X, SHI L, BAI X W, LI Q, WANG J L. Breaking scaling relations for efficient CO2 electrochemical reduction through dual-atom catalysts[J]. Chem. Sci., 2020, 11: 1807-1813 doi: 10.1039/C9SC05236D

    8. [8]

      CHEN Z, LIAO X B, SUN C L, ZHAO K N, YE D X, LI J T, WU G, FANG J H, ZHAO H B, ZHANG J J. Enhanced performance of atomically dispersed dual-site Fe-Mn electrocatalysts through cascade reaction mechanism[J]. Appl. Catal. B‒Environ., 2021, 288: 120021 doi: 10.1016/j.apcatb.2021.120021

    9. [9]

      LIU K H, LI J, LIU Y Y, WANG M R, CUI H T. Dual metal atom catalysts: Advantages in electrocatalytic reactions[J]. J. Energy Chem., 2023, 79: 515-534 doi: 10.1016/j.jechem.2023.01.021

    10. [10]

      OLVERA-VARGAS H, TRELLU C, NIDHEESH P V, MOUSSET E, GANIYU S O, MART NEZ-HUITLE C A, ZHOU M H, OTURAN M A. Challenges and opportunities for large-scale applications of the electro-Fenton process[J]. Water Res., 2024, 266: 122430 doi: 10.1016/j.watres.2024.122430

    11. [11]

      GUO D L, LIU Y B, JI H D, WANG C C, CHEN B, SHEN C S, LI F, WANG Y X, LU P, LIU W. Silicate-enhanced heterogeneous flow-through electro-Fenton system using iron oxides under nanoconfinement[J]. Environ. Sci. Technol., 2021, 55: 4045-4053 doi: 10.1021/acs.est.1c00349

    12. [12]

      HEIDARI Z, PELALAK R, ZHOU M H. A critical review on the recent progress in application of electro-Fenton process for decontamination of wastewater at near-neutral pH[J]. Chem. Eng. J., 2023, 474: 145741 doi: 10.1016/j.cej.2023.145741

    13. [13]

      WEI S J, SUN Y B, QIU Y Z, LI A, CHIANG C Y, XIAO H, QIAN J S, LI Y D. Self-carbon-thermal-reduction strategy for boosting the Fenton-like activity of single Fe-N4 sites by carbon-defect engineering[J]. Nat. Commun., 2023, 14: 7549 doi: 10.1038/s41467-023-43040-5

    14. [14]

      ZHU Y S, DENG F X, QIU S, MA F, ZHENG Y S, GAO L. A self-sufficient electro-Fenton system with enhanced oxygen transfer for decontamination of pharmaceutical wastewater[J]. Chem. Eng. J., 2022, 429: 132176 doi: 10.1016/j.cej.2021.132176

    15. [15]

      WANG J B, LI S Z, QIN Q Y, PENG C. Sustainable and feasible reagent-free electro-Fenton via sequential dual-cathode electrocatalysis[J]. Proc. Natl. Acad. Sci. U. S. A., 2021, 118: e2108573118 doi: 10.1073/pnas.2108573118

    16. [16]

      YANG L J, SUN G, FU H L, ZHANG L. Isolation of cobalt single atoms on hollow B, N co-doped defective carbon nanotubes for hydrogen peroxide production and tandem reagent-free electro-Fenton oxidation[J]. Chem. Eng. J., 2023, 472: 145052 doi: 10.1016/j.cej.2023.145052

    17. [17]

      WENG C, CHUANG Y H, DAVEY B, MITCH W A. Reductive electrochemical activation of hydrogen peroxide as an advanced oxidation process for treatment of reverse osmosis permeate during potable reuse[J]. Environ. Sci. Technol., 2020, 54: 12593-12601 doi: 10.1021/acs.est.0c02144

    18. [18]

      HAIDER M R, JIANG W L, HAN J L, SHARIF H M A, DING Y C, CHENG H Y, WANG A J. In-situ electrode fabrication from polyaniline derived N-doped carbon nanofibers for metal-free electro-Fenton degradation of organic contaminants[J]. Appl. Catal. B‒Environ., 2019, 256: 117774 doi: 10.1016/j.apcatb.2019.117774

    19. [19]

      SU P, ZHOU M H, LU X Y, YANG W L, REN G B, CAI J J. Electrochemical catalytic mechanism of N-doped graphene for enhanced H2O2 yield and in-situ degradation of organic pollutant[J]. Appl. Catal. B‒Environ., 2019, 245: 583-595 doi: 10.1016/j.apcatb.2018.12.075

    20. [20]

      YANG L J, FU H L, HE W C, LI H, MA T Y, ZHANG L. Confined CoNi dual single-atom sites in hollow nanoreactors for pH-universal O2-to-H2O2 conversion and promoting electro-Fenton process[J]. Appl. Catal. B‒Environ., 2025, 374: 125372 doi: 10.1016/j.apcatb.2025.125372

    21. [21]

      HUMMERS W S J, OFFEMAN R E. Preparation of graphitic oxide[J]. J. Am. Chem. Soc., 1958, 80: 1339 doi: 10.1021/ja01539a017

    22. [22]

      ZHANG M D, HUANG J R, LIANG C P, CHEN X M, LIAO P Q. Continuous electrosynthesis of pure H2O2 solution with medical-grade concentration by a conductive Ni-phthalocyanine-based covalent organic framework[J]. J. Am. Chem. Soc., 2024, 146: 31034-31041 doi: 10.1021/jacs.4c10675

    23. [23]

      ZHANG L, HU Y D, ZHENG J H. Fabrication of 3D hierarchical CoSnO3@CoO pine needle-like array photoelectrode for enhanced photoelectrochemical properties[J]. J. Mater. Chem. A, 2017, 5: 18664-18673 doi: 10.1039/C7TA05047J

    24. [24]

      YANG C Y, ZHUANG C F, ZHAI Z X, ZHAO X, HUANG D J, TIAN D, MIN C G, ZHAO J, WANG Y. Phase regulation of Ni-based catalyst promotes selective hydrogenation of furfural: Effect of glycerol and Zn content[J]. Appl. Catal. B‒Environ., 2023, 334: 122854 doi: 10.1016/j.apcatb.2023.122854

    25. [25]

      HU B, HU W X, QIAN X Y, ZUO M, WU Z L, SONG Y H, ZHENG Q, SHAN G R, DU M. Scandium doping enables superior cycling performance of NiCo-LDHs-based supercapacitors via NH4Br-assisted electrodeposition[J]. J. Energy Storage, 2024, 92: 112069 doi: 10.1016/j.est.2024.112069

    26. [26]

      ZHANG B P, HAN B, GUAN C T, GUO Q, LUO Y, JIANG J. Highly selective oxygen reduction to H2O2 on π-d conjugated coordination polymers: The effect of coordination atoms[J]. Chem. Eng. J., 2023, 460: 141688 doi: 10.1016/j.cej.2023.141688

    27. [27]

      PALANISELVAM T, KASHYAP V, BHANGE S N, BAEK J B, KURUNGOT S. Nanoporous graphene enriched with Fe/Co-N active sites as a promising oxygen reduction electrocatalyst for anion exchange membrane fuel cells[J]. Adv. Funct. Mater., 2016, 26: 2150-2162 doi: 10.1002/adfm.201504765

    28. [28]

      YANG L J, CHENG H M, LI H, SUN G, LIU S T, MA T Y, ZHANG L. Atomic confinement empowered CoZn dual-single-atom nanotubes for H2O2 production in sequential dual-cathode electro-Fenton process[J]. Adv. Mater., 2024, 36: 2406957 doi: 10.1002/adma.202406957

    29. [29]

      JUNG E Y, SHIN H J, LEE B H, EFREMOV V, LEE S H, LEE H S, KIM J, ANTINK W H, PARK S B, LEE K S, CHO S P, YOO J S, SUNG Y E, HYEON T W. Atomic-level tuning of Co-N-C catalyst for high-performance electrochemical H2O2 production[J]. Nat. Mater., 2020, 19: 436-442 doi: 10.1038/s41563-019-0571-5

    30. [30]

      MENG X F, HUANG H, ZHANG X X, HU L, TANG H B, HAN M M, ZHENG F C, WANG H. Steering C—C coupling by hollow Cu2O@C/N nanoreactors for highly efficient electroreduction of CO2 to C2+ products[J]. Adv. Funct. Mater., 2024, 34: 2312719 doi: 10.1002/adfm.202312719

    31. [31]

      SHARMA N, SHARMA V, JAIN Y, KUMARI M, GUPTA R, SHARMA S K, SACHDEV K. Synthesis and characterization of graphene oxide (GO) and reduced graphene oxide (rGO) for gas sensing application[J]. Macromol. Symp., 2017, 376: 1700006 doi: 10.1002/masy.201700006

    32. [32]

      HERATH A, TIOZON R J, KRETZSCHMAR T, SREENIVASULU N, MAHON P, BUTARDO V. Machine learning approach for high-throughput phenolic antioxidant screening in black Rice germplasm collection based on surface FTIR[J]. Food Chem., 2024, 460: 140728 doi: 10.1016/j.foodchem.2024.140728

    33. [33]

      ZENG Q R, BAO Y N, NING S Y, YU Q G, WEI Y Z, ZENG D Q. Plasmonic Cu-Ni bimetal nanoparticles coupled with ultrathin CdS nanosheets for remarkably improved photocatalytic H2 generation under visible-light irradiation[J]. J. Mater. Chem. A, 2024, 12: 17286-17294 doi: 10.1039/D4TA02353F

    34. [34]

      ZHANG J N, LIU P, JIN C, JIN L N, BIAN S W, ZHU Q, WANG B. Flexible three-dimensional carbon cloth/carbon fibers/NiCo2O4 composite electrode materials for high-performance all-solid-state electrochemical capacitors[J]. Electrochim. Acta, 2017, 256: 90-99 doi: 10.1016/j.electacta.2017.10.005

    35. [35]

      CHOU J A, KAO S H, CHEN T Y, MATHANKUMAR M, WEI S Y, SU C H, LIN J Y, HSIEH C K. Versailles Santa Barbara-5 derived bifunctional one-dimensional electrocatalysts of hierarchical Ni3S2 nanoprism@nanosheets arrays for self-supporting and binder-free efficient supercapacitor and methanol oxidation reaction[J]. J. Alloy. Compd., 2024, 1002: 175257 doi: 10.1016/j.jallcom.2024.175257

    36. [36]

      HAO Y X, KANG Y M, KANG H C, XIN H Y, LIU F Q, LI L F, WANG W, LEI Z Q. Self‑grown layered double hydroxide nanosheets on bimetal-organic frameworks-derived N-doped CoOx carbon polyhedra for flexible all-solid-state rechargeable Zn-air batteries[J]. J. Power Sources, 2022, 524: 231076 doi: 10.1016/j.jpowsour.2022.231076

    37. [37]

      ZHANG Y J, DING J W, GONG C C, CUI J, FU Y Y, CONG H W, HE C N, SHI C S, HE F. Utilizing ion-etching strategy to construct ultra-lightweight CoNi alloy-modified electrospun carbon fiber composites for efficient electromagnetic wave absorption[J]. J. Mater. Sci., 2024, 59: 6746-6764 doi: 10.1007/s10853-024-09553-0

    38. [38]

      LI Z H, HE H Y, CAO H B, SUN S M, DIAO W L, GAO D L, LU P L, ZHANG S S, GUO Z, LI M J, LIU R J, REN D H, LIU C M, ZHANG Y, YANG Z, JIANG J K, ZHANG G J. Atomic Co/Ni dual sites and Co/Ni alloy nanoparticles in N-doped porous Janus-like carbon frameworks for bifunctional oxygen electrocatalysis[J]. Appl. Catal. B‒Environ., 2019, 240: 112-121 doi: 10.1016/j.apcatb.2018.08.074

    39. [39]

      PARK J H, OH Y J, PARK D Y, LEE J, PARK J S, PARK C R, KIM J H, KIM T, YANG S J. A new class of carbon nanostructures for high-performance electro-magnetic and -chemical barriers[J]. Adv. Sci., 2021, 8: 2102718 doi: 10.1002/advs.202102718

    40. [40]

      QIN X, ZHAO K, QUAN X, CAO P K, CHEN S, YU H T. Highly efficient metal-free electro-Fenton degradation of organic contaminants on a bifunctional catalyst[J]. J. Hazard. Mater., 2021, 416: 125859 doi: 10.1016/j.jhazmat.2021.125859

    41. [41]

      WU Z W, YU W Q, PENG Y, DENG Q J, YU M G, WANG Q. Facile fabrication of superhydrophobic and antibacterial dual-functional cotton fabrics for oil-water separation[J]. J. Mater. Sci., 2024, 59: 2558-2570 doi: 10.1007/s10853-024-09350-9

    42. [42]

      YANG C, HAO S J, DAI S L, ZHANG X Y. Nanocomposites of poly(vinylidene fluoride)‑controllable hydroxylated/carboxylated graphene with enhanced dielectric performance for large energy density capacitor[J]. Carbon, 2017, 17: 301-312

    43. [43]

      WU F M, NAN J, WANG T Z, GE Z C, LIU B H, CHEN M, YE X S. Highly selective electrosynthesis of H2O2 by N, O co-doped graphite nanosheets for efficient electro-Fenton degradation of p-nitrophenol[J]. J. Hazard. Mater., 2023, 446: 130733 doi: 10.1016/j.jhazmat.2023.130733

    44. [44]

      VITTAL R, GOMATHI H, KIM K J. Beneficial role of surfactants in electrochemistry and in the modification of electrodes[J]. Adv. Colloid Interface Sci., 2006, 119: 55-68 doi: 10.1016/j.cis.2005.09.004

    45. [45]

      IMAMURA K, WATANABE I, IMADA M, SAKIYAMA T, NAKANISHI K. The kinetics of removal of proteins adsorbed on a stainless steel surface by H2O2-electrolysis and factors affecting its performance[J]. J. Colloid Interf. Sci., 2003, 265: 49-55 doi: 10.1016/S0021-9797(03)00329-1

  • 图 1  草酸钛钾光度法检测H2O2的(a) 紫外可见吸收光谱和(b) 标准曲线

    Figure 1  (a) UV-visible adsorbed spectra and (b) the corresponding standard curve for H2O2 detection based on potassium titanium oxalate photometric method

    图 2  (a) MNPs@Co/Ni-SACs和(b) Co/Ni-SACs的SEM图; (c) Co/Ni-SACs的HAADF-STEM图; MNPs@Co/Ni-SACs、Co/Ni-SACs和Ni-SACs的(d) XRD图、(e) 拉曼谱图和(f) FTIR谱图

    Figure 2  SEM images of (a) MNPs@Co/Ni-SACs and (b) Co/Ni-SACs; (c) HAADF-STEM image of Co/Ni-SACs; (d) XRD patterns, (e) Raman spectra, and (f) FTIR spectra of MNPs@Co/Ni-SACs, Co/Ni-SACs, and Ni-SACs

    图 3  MNPs@Co/Ni-SACs、Co/Ni-SACs和Ni-SACs的(a) XPS全谱图及(b) Ni2p、(c) Co2p、(d) N1s、(e) O1s和(f) C1s高分辨XPS谱图

    Figure 3  (a) XPS survey and high-resolution XPS spectra of (b) Ni2p, (c) Co2p, (d) N1s, (e) O1s, and (f) C1s for MNPs@Co/Ni-SACs, Co/Ni-SACs, and Ni-SACs

    In panel a: the percentages represented the atomic fractions of Co and Ni.

    图 4  Co/Ni-SACs和Ni-SACs的(a) ORR LSV曲线、(b) H2O2选择性(上)和电子转移数(下)、(c) CV曲线、(d) 电化学活性表面积和(e) EIS; (f) Co/Ni‐SACs在碱性电解质溶液中添加KSCN前后的LSV曲线(左)及H2O2RR曲线(右)

    Figure 4  (a) ORR LSV curves, (b) H2O2 selectivity (up) and the number of transferred electrons (down), (c) CV curves, (d) electrochemical active surfaces, and (e) EIS of Co/Ni-SACs and Ni-SACs; (f) LSV curves before and after adding KSCN in alkaline electrolyte solution (light) and H2O2RR curves (right) of Co/Ni-SACs

    图 5  催化剂电催化合成H2O2的性能: (a) 不同催化体系催化合成H2O2的产量-时间曲线; (b) 0.4 V (vs RHE)下Co/Ni-SACs电催化反应过程中的盘电流、环电流和选择性曲线; (c) 每60 min交替通入N2和O2时电流响应和H2O2产量曲线; (d) Co/Ni-SACs催化合成H2O2的循环利用性; (e) Co/Ni-SACs长时间催化合成H2O2的电流响应和产量曲线; (f) 催化前后Co/Ni-SACs的XPS全谱图

    Figure 5  Electrocatalytic performance of catalysts in H2O2 synthesis: (a) H2O2 yield-time curves of different catalytic systems; (b) disk current, ring current, and selectivity curves of Co/Ni-SACs at 0.4 V (vs RHE) during the electrocatalytic process; (c) current response and H2O2 yield curves by alternating N2 and O2-saturated electrolyte every 60 min; (d) recyclability of Co/Ni-SACs in the catalytic synthesis of H2O2; (e) current response and H2O2 yield curves of Co/Ni-SACs during long-term electrocatalysis; (f) XPS survey spectra of Co/Ni-SACs before and after electrocatalysis

    Inset: the corresponding SEM image after electrocatlysis.

    图 6  (a) Co/Ni-SACs在不同电位下、0.1 mol·L-1 Na2SO4 (pH=3)中催化ORR合成H2O2的产量及FE; (b) 不同电极体系降解MB的降解效率柱状图; (c) 第二阴极电位对MB降解效率的影响; (d) 双阴极电芬顿体系降解不同污染物的降解效率; 双阴极电芬顿体系降解MB过程中(e)·OH捕获实验和电极附近溶液pH变化曲线以及(f) 荧光探针识别不同时间产生的·OH的荧光光谱

    Figure 6  (a) H2O2 yield and FE of Co/Ni-SACs for electrocatalytic ORR towards H2O2 production at different potentials in 0.1 mol·L-1 Na2SO4 (pH=3); (b) Bar chart of degradation efficiency for MB with different electrode systems; (c) Effect of the second cathode potential on the degradation efficiency of MB; (d) Degradation efficiency of various pollutants in double-cathode electro-Fenton system; (e) ·OH trapping experiments and pH variation curve of the solution near the electrode, and (f) fluorescence spectra for detecting the generated ·OH at different times using a fluorescent probe during MB degradation in the dual-cathode electro-Fenton system

  • 加载中
计量
  • PDF下载量:  0
  • 文章访问数:  152
  • HTML全文浏览量:  21
文章相关
  • 发布日期:  2025-12-10
  • 收稿日期:  2025-05-30
  • 修回日期:  2025-10-30
通讯作者: 陈斌, bchen63@163.com
  • 1. 

    沈阳化工大学材料科学与工程学院 沈阳 110142

  1. 本站搜索
  2. 百度学术搜索
  3. 万方数据库搜索
  4. CNKI搜索

/

返回文章