Citation: Yongxin LIU, Xingchen LI, Hongjia LIU, Danni LI, Tao ZHANG, Xi CHEN. Enhancement effect of Fe3O4 conversion to MIL-100(Fe) on activation of persulfate for degradation of antibiotic[J]. Chinese Journal of Inorganic Chemistry, 2025, 41(12): 2503-2513. doi: 10.11862/CJIC.20250169
Fe3O4向MIL-100(Fe)的转化对活化过硫酸盐降解抗生素性能的增强作用
English
Enhancement effect of Fe3O4 conversion to MIL-100(Fe) on activation of persulfate for degradation of antibiotic
-
Key words:
- activation
- / catalysis
- / nanotechnology
- / photochemistry
- / Fe3O4
- / antibiotic
-
0. 引言
抗生素的过度使用导致其流失到水环境中,破坏水生生态系统并威胁人类健康[1-3]。近年来,高级氧化过程(AOP)作为抗生素原位氧化的替代方法受到了广泛关注[4-6]。特别是基于硫酸根自由基(SO4·-)的AOP,因优异的溶解性、稳定的结构、相对较长的半衰期和较高的标准氧化还原电位(E0=2.6 V)而得到了广泛的研究[7-8]。SO4·-可以通过紫外线辐射、加热、过渡金属离子和金属氧化物等方式活化过硫酸盐来产生[9-11]。
Fe3O4纳米粒子因具有能够在温和条件下工作、安全、无毒、易于获得和方便回收的优点,引起了人们的极大兴趣。研究表明[12-14],由于Fe3O4中存在Fe2+,Fe3O4纳米粒子可以活化过硫酸盐降解抗生素。然而,由于活化期间的表面氧化,导致Fe2+的再生不良,因此在使用过的Fe3O4表面上观察到Fe2+/Fe3+比值的降低[15]。通过添加醌、羟胺和抗坏血酸等还原剂,可以加速Fe2+/Fe3+的循环,提高Fe3O4的活化活性[16-19]。此外,也可使用螯合剂来降低Fe2+/Fe3+的氧化还原电位,促进Fe2+/Fe3+的循环[20-22]。例如,聚对苯二酚可促进Fe2+/Fe3+循环,提高污染物的处理效率[12]。此外,表没食子儿茶素-3-没食子酸酯(EGCG)使Fe3O4纳米粒子表面功能化,形成了稳定的Fe2+·EGCG和Fe3+·EGCG金属螯合物,从而降低了Fe2+/Fe3+的氧化还原电位,促进了Fe2+/Fe3+的循环[20-21]。在Dong等[22]的工作中,经β-丙氨酸二乙酸(β-ADA)修饰后的Fe3O4表现出更好的催化性能,螯合铁氧化还原对的氧化还原电位低于原始铁氧化还原对的氧化还原电位,促进了Fe(Ⅲ)…β-ADA向Fe(Ⅱ)…β-ADA的还原。虽然引入螯合剂或还原剂可以明显提高降解率,但有机结构限制了其可重复使用性。此外,这些方法并没有改善Fe3O4的比表面积,限制了抗生素的降解率。
金属有机框架(MOF)是由含有O或N原子的多齿有机配体和过渡金属离子或金属簇自组装形成的多孔无机-有机杂化功能材料[23-25]。框架中丰富的纳米腔和开放通道不仅对抗生素分子具有很强的吸附性能,而且为降解产物的排出提供了有利的通道。此外,MOFs中的金属团簇通常具有半导体特性,可以在光辐射下产生光生电子[26-27]。到目前为止,单独MOF、基于MOF的复合材料和MOF衍生物是有效的光催化活化剂,可以光催化活化过硫酸盐降解环境中的有机污染物[28-29]。特别是MIL(Fe)系列铁基MOF由于Fe-O簇和配位不饱和Fe位点的存在,是潜在的光催化活化过硫酸盐活化剂[5, 30]。MIL(Fe)不仅环境友好,还表现出优异的热稳定性和化学稳定性[31]。MIL(Fe)在可见光激发下产生的光生电子可以活化过硫酸盐,进而生成SO4·-,加速有机污染物的降解。然而,单独MIL(Fe)光催化剂的光生电子-空穴对复合速率较快,造成催化效率较低。为了克服这些缺点,可以引入半导体或导体来与MIL(Fe)构建光催化异质结复合材料[32-33]。该类复合材料中的异质结可促进光生电子-空穴对的分离,分离的电子-空穴对加速过硫酸盐活化,从而促进有机污染物的降解[34-35]。
在本工作中,我们通过固相转化反应将Fe3O4纳米粒子的表层转化为MIL-100(Fe),形成Fe3O4@MIL-100(Fe)核壳结构。MIL-100(Fe)外壳可以促进Fe3O4对过硫酸盐的活化,进而实现对抗生素污染物的降解。MIL-100(Fe)外壳的形成增加了Fe3O4的比表面积,增强了对抗生素分子的吸附能力。MIL-100(Fe)中的Fe-O团簇在光辐射下产生光生电子,加速了Fe2+/Fe3+的循环。另外,Fe3O4纳米粒子对MIL-100(Fe)光生电子的捕获提高了MIL-100(Fe)的电子-空穴分离效率。更重要的是,通过调节Fe3O4向MIL-100(Fe)的转化程度,形成了优化的光催化活化过硫酸盐降解抗生素体系。该研究对Fe3O4基复合材料的制备以及高级氧化法去除环境污染物提供了可选思路。
1. 实验部分
1.1 材料
醋酸钠(CH3COONa)、聚乙二醇(PEG-10000)、乙二醇、无水乙醇均购自西陇科学股份有限公司(分析纯);无水氯化铁(FeCl3)购自阿拉丁试剂(上海)有限公司(分析纯);均苯三甲酸(H3BTC)、盐酸四环素均购自麦克林(分析纯);过氧硫酸氢钾复合盐(2KHSO5·KHSO4·K2SO4,PMS)购自Adamas(分析纯);去离子水由实验室自制。实验所需药品均直接用于样品合成,未做任何纯化处理。
1.2 Fe3O4纳米粒子的制备
Fe3O4纳米粒子的制备借鉴前期研究的方法[36],但略有改动。称取1.5 g FeCl3缓慢加入盛有50 mL乙二醇的烧杯中,搅拌至完全溶解后,缓慢加入2.5 g醋酸钠,等待片刻后,在超声搅拌的条件下加入0.625 g PEG-10000,直至溶液呈泥浆状。将上述溶液加入反应釜中,200 ℃反应12 h。反应完成待冷却至室温后,去掉上清液,用无水乙醇和去离子水依次对产品进行超声洗涤,用磁铁收集产品,最后用乙醇洗涤,倒掉上清液后,将产品放置于80 ℃烘箱中干燥3 h。
1.3 Fe3O4@MIL-100(Fe)的制备
将20 mg上述制备的Fe3O4纳米粒子、50 mg H3BTC与7.5 mL去离子水混合、搅拌均匀,放置于反应釜中,80 ℃反应4 h,使Fe3O4纳米粒子表层转化为MIL-100(Fe),反应完成后冷却至室温,去掉上清液,用乙醇和去离子水依次对产物进行洗涤,最后用乙醇洗涤,倒掉上清液后,将产物放置于80 ℃烘箱中干燥3 h,得到Fe3O4@MIL-100(Fe)核壳结构复合材料,命名为FM4。通过控制反应时间可以调控Fe3O4向MIL-100(Fe)的转化程度。基于上述反应条件,改变反应时间为2和6 h,分别获得的Fe3O4@MIL-100(Fe)对照样品,分别命名为FM2和FM6。
1.4 MIL-100(Fe)的制备
将270 mg的FeCl3·6H2O和210 mg的H3BTC溶解于20 mL的N,N-二甲基甲酰胺(DMF)中。将混合溶液超声处理5 min,在80 mL的高压反应釜中150 ℃加热12 h。冷却后,将产物离心分离,再经DMF和乙醇多次洗涤,60 ℃干燥过夜得到MIL-100(Fe)。
1.5 分析测试仪器
X射线衍射(XRD)图通过Bruker D8 Focus X射线衍射仪在Cu Kα(λ=0.156 nm)、40 kV、40 mA、2θ=5°~80°的条件下获得。场发射扫描电子显微镜(SEM)和透射电子显微镜(TEM)图像分别在Hitachi SU8010扫描电子显微镜和FEI Tecnai F20透射电子显微镜(工作电压为200 kV)上获得。热重分析(TGA)在Netzsch STA 449 F3热重分析仪上进行,加热速率为10 ℃·min-1,流动气体为空气。使用Micromeritics ASAP2020比表面积分析仪在77 K下进行N2吸附-脱附测试,并使用Brunauer-Emmett-Teller(BET)法计算比表面积。通过紫外可见分光光度计(UNICO UV-4802S)测量盐酸四环素的浓度。采用X射线光电子能谱(XPS,Thermo Kalpha)分析Fe3O4@MIL-100(Fe)的元素组成。采用振动样品磁强计(VSM,LakeShore7404)对FM2、FM4和FM6的磁性进行分析。
1.6 光催化活化过硫酸盐(PMS)降解抗生素测试
四环素类抗生素是水产养殖、作物种植及畜牧养殖中的常用药物,甚至作为生长促进剂被广泛添加至饲料中。因此,我们选用盐酸四环素的降解作为本研究的反应模型。配制50 mg·L-1 100 mL的盐酸四环素溶液,将15 mg制备的活化剂超声分散于溶液中,在暗环境中达到吸附-解吸平衡后,加入一定量的PMS(文中如无特别指出,用量均为15 mg)并打开氙灯辐照,通过紫外分光光度计测量溶液在356 nm处的吸光度以检测盐酸四环素溶液的质量浓度变化。通过外加磁场回收催化剂,经乙醇和去离子水洗涤、真空干燥后重复使用,以此评估催化剂的循环性能。
2. 结果与讨论
2.1 形貌分析
Fe3O4@MIL-100(Fe)是通过固相转化反应把Fe3O4纳米粒子的表层转化为MIL-100(Fe)来实现的,合成过程如图 1所示。H3BTC在水中会部分解离:H3BTC→3H++BTC3-,进而释放出H+,Fe3O4纳米粒子的表层在H+和水中溶解O2的作用下发生氧化溶解反应,进而释放出Fe3+,Fe3+遇到配体BTC3-后发生配位反应,进一步结晶化形成MIL-100(Fe),从而原位取代了Fe3O4纳米粒子的表层形貌,形成了以Fe3O4纳米粒子为核,MIL-100(Fe)为壳的纳米核壳结构。
图 1
通过SEM测试了从Fe3O4纳米粒子到Fe3O4@MIL-100(Fe)核壳结构的形貌变化过程。如图 2a所示,Fe3O4纳米粒子是均匀的纳米球形,粒径尺寸大约为200 nm。图 2b表明FM2依然保持了均匀的纳米球形,但与Fe3O4纳米粒子相比,FM2的球形表面出现了块状凸起,这是由于Fe3O4纳米粒子的表层通过固相转化反应生成了MIL-100(Fe),MIL-100(Fe)块状晶体在Fe3O4纳米粒子表面堆积形成MIL-100(Fe)壳层。TEM图(图 2e)可以证实,FM2中存在一层均匀的MIL-100(Fe)壳层,该壳层的厚度约为50 nm。随着反应时间延长至4 h,FM4中出现了一定程度的团聚现象(图 2c),尽管如此,依然能够观察到一些球形的FM4。通过TEM观察(图 2f)可知,FM4也显示出典型的核壳结构,其壳层厚度达到了约80 nm。对比FM4和FM2可以看出,延长反应时间可以使Fe3O4纳米粒子的表层进一步转化成MIL-100(Fe),从而使MIL-100(Fe)壳层增厚,同时,进一步转化的MIL-100(Fe)壳层造成FM4纳米球之间发生了一定程度的团聚。当转化时间延长至6 h时,FM6中几乎没有球形形貌(图 2d),颗粒之间完全团聚,甚至融合为一体,且表面出现更多棱角分明的晶体结构,说明MIL-100(Fe)的结晶性得到了提高。通过TEM图(图 2g)可知,FM6依然保持了核壳结构,但壳层厚度超过了100 nm。这说明,反应时间过长(6 h)会导致MIL-100(Fe)在Fe3O4纳米粒子表层的过度转化,并导致纳米球之间的过度团聚。此外,Fe3O4转化为MIL-100(Fe)的过程也会受其他反应条件的影响,如温度、物料比等[37]。我们借鉴前期工作的经验[37],设计了不同的反应时间,以形成明显的Fe3O4转化成MIL-100(Fe)的程度梯度,以便于探讨转化程度对光催化活化PMS降解盐酸四环素的直接影响。
图 2
2.2 Fe3O4@MIL-100(Fe)的理化性质表征
通过XRD表征了Fe3O4@MIL-100(Fe)的物相组成。如图 3a所示,FM2、FM4和FM6的XRD图由两部分特征峰组成,一部分对应立方相Fe3O4(PDF No.26-1136),剩余部分完全对应模拟的MIL-100(Fe)特征峰,其中11.1°和20.1°两处的峰分别对应MIL-100(Fe)的(428)和(4814)晶面(图中用“*”标出)。此外,没有观察到明显的杂质峰,说明Fe3O4@MIL-100(Fe)主要由Fe3O4和MIL-100(Fe)两种晶相组成,这也与SEM和TEM结果一致。随着反应时间的延长,Fe3O4@MIL-100(Fe)中的MIL-100(Fe)特征峰强度有增强的趋势,这主要是因为随着反应时间的延长,Fe3O4纳米粒子表层更多地转化为MIL-100(Fe),而且MIL-100(Fe)的结晶性也得到提高,与SEM结果一致。
图 3
由图 3b可知,Fe3O4、FM2、FM4、FM6和MIL-100(Fe)的BET比表面积分别是21、254、406、136和1 188 m2·g-1。Fe3O4纳米粒子由于不具备孔结构,比表面积最低。MIL-100(Fe)具有丰富的孔道结构,因而表现出最高的比表面积。Fe3O4@MIL-100(Fe)由于是Fe3O4纳米粒子和MIL-100(Fe)的复合材料,因而比表面积介于二者之间。FM2、FM4和FM6的比表面积经历了一个先增加后降低的趋势。最初,随着反应时间的延长,Fe3O4纳米粒子表层更多地转化为MIL-100(Fe),导致比表面积增加。再延长反应时间至6 h时,比表面积降低,这主要是因为MIL-100(Fe)的过度生长导致了粒子之间的团聚和融合。因此,需要同时考虑Fe3O4向MIL-100(Fe)的转化程度和纳米粒子的单分散性,以优化Fe3O4@MIL-100(Fe)的性质与功能。如图 3b所示,Fe3O4纳米粒子的N2吸附-脱附等温线为典型的Ⅲ型等温线,代表非孔材料的表面吸附。FM2、FM4、FM6和MIL-100(Fe)的N2吸附-脱附等温线表现出的特征介于Ⅰ型和Ⅳ型之间,这说明材料中同时存在微孔和介孔。此外,FM2、FM4和FM6的N2吸附-脱附等温线中介于H3和H4模式之间的滞回线进一步表明MIL-100(Fe)壳层是由聚集的MIL-100(Fe)纳米晶组成的。
进一步对Fe3O4@MIL-100(Fe)的热稳定性与组成进行分析。如图 4a所示,随着温度的升高,FM2、FM4、FM6均经历了2个明显的热失重阶段。第一阶段从室温开始到大约100 ℃,这一阶段的失重主要与Fe3O4@MIL-100(Fe)内存在的自由分子的离去相关,这些自由分子可能是样品制备过程中残留的溶剂分子,也可能是样品在存储和转移过程中吸附的空气中的水分子或其他小分子。第2个明显的失重阶段是在350 ℃,该热失重主要来源于MIL-100(Fe)的热分解。由于MIL-100(Fe)中含有有机配体,这些有机成分在350 ℃时热分解并离去,而MIL-100(Fe)中的Fe则连同Fe3O4一起在高温氧化作用下转化成稳定的Fe2O3。因为热失重主要跟MIL-100(Fe)相关,所以MIL-100(Fe)含量最多的FM6热失重最多,最终残留物最少,而MIL-100(Fe)含量最少的FM2热失重最少,最终残留物最多。采用XPS分析Fe3O4@MIL-100(Fe)的元素组成。如图 4b所示,FM2、FM4、FM6的XPS谱图相类似,说明Fe3O4@MIL-100(Fe)的组成元素(Fe、C和O)相同。三者谱图中711.1、531.1和285.1 eV处的峰分别对应Fe2p、O1s和C1s,进一步印证了复合材料的成功合成。
图 4
采用VSM对FM2、FM4和FM6的磁性进行分析,如图 5a所示,在室温条件下,FM2、FM4和FM6的比饱和磁化强度分别为69.39、33.09和16.62 emu·g-1,说明FM2、FM4和FM6具有一定的强磁性。比饱和磁化强度随着Fe3O4向MIL-100(Fe)转化程度的增加而降低,这一现象主要归因于Fe3O4@MIL-100(Fe)中Fe3O4的相对含量随着转化程度的增加而降低。为探究FM2、FM4和FM6光电化学活性的差异,我们测试了三者的紫外可见漫反射光谱(UV-Vis DRS)。如图 5b所示,得益于MIL-100(Fe)中O2-→Fe3+的配体-金属电荷转移效应[38],FM2、FM4和FM6继承了MIL-100(Fe)在200~400 nm波段的高吸收特性。此外,3种材料在400~800 nm可见光区也表现出显著吸收特征,这主要源于Fe3O4的可见光吸收作用。由此可见,Fe3O4与MIL-100(Fe)的复合有效增强了复合材料在紫外可见光谱范围内的光吸收能力。由于FM2的MIL-100(Fe)壳层最薄,所以它在200~400 nm范围内的吸收比FM4和FM6的要弱。此外,由于FM6的MIL-100(Fe)壳层最厚,所以它在450~800 nm范围内的吸收比FM2和FM4的要弱。综合对比,FM4的MIL-100(Fe)壳层厚度较为适宜,兼顾了200~800 nm全波段范围内的紫外可见光吸收。由光致发光光谱(PL,激发波长为340 nm)可知,FM2、FM4、FM6均在350~500 nm范围内出现宽泛的发射峰(图 5c)。值得注意的是,FM4的PL发射峰强度显著低于FM2和FM6,这证实其具有更优异的电子-空穴分离效率。研究表明,该效率与MOFs包覆Fe3O4的壳层厚度密切相关——MOFs壳层厚度可能通过调控电子在MOFs与Fe3O4界面的传输和路径来影响电荷分离性能[39]。
图 5
2.3 光催化活化PMS降解盐酸四环素
为探究其实际应用潜力,以FM2、FM4和FM6为光催化活化剂,在模拟太阳光下光催化活化PMS降解盐酸四环素(图 6)。实验过程中共进行了3次平行实验以保证统计置信度,图中的点是结果的平均值,其中误差棒表示平均值的标准偏差。如图 6a所示,所有样品在开始催化反应之前,均在暗室中均匀分散于盐酸四环素溶液中,并保持180 min,以达到盐酸四环素分子在光催化活化剂中的吸附-解吸平衡。180 min的暗吸附过程中,FM4对盐酸四环素的吸附率为7.9%,明显高于FM2的4.7%和FM6的4.6%。FM4在Fe3O4@MIL-100(Fe)中表现出较高的盐酸四环素吸附率,这主要得益于FM4具有更合适的MIL-100(Fe)壳层厚度,即Fe3O4向MIL-100(Fe)的转化程度较为适宜。一方面,MIL-100(Fe)具有高的比表面积,增加其壳层厚度有利于增加复合材料对盐酸四环素的吸附率;另一方面,MIL-100(Fe)壳层的过度生长将会导致纳米粒子之间的团聚,降低吸附性能。所以,FM4是兼顾MIL-100(Fe)的壳层厚度和纳米粒子的单分散性的最优样品。达到吸附-解吸平衡后,加入PMS并开启光照,可以看到,20 min后,FM4对盐酸四环素的降解率为81.2%,明显高于FM2的78.5%和FM6的75.0%。而在50 min后,FM2、FM4和FM6对盐酸四环素的降解率分别为79.5%、83.0%和76.9%。其中FM4的降解率最高,这主要是因为合适的MIL-100(Fe)壳层厚度有助于促进MIL-100(Fe)与Fe3O4之间的光电协同效应,进而能更充分地利用光能来活化PMS,从而促进盐酸四环素的降解,这一点在上述的UV-Vis DRS和PL光谱分析中也得到了证实。此外,通过观察图 6b可以发现,在光照条件下,FM4光催化活化PMS降解盐酸四环素的性能优于纯Fe3O4和MIL-100(Fe),三者对应50 min时的降解率分别是83.0% (FM4)、76.7% (MIL-100(Fe))和22.0% (Fe3O4)。FM4性能最优的原因如下:一方面,MIL-100(Fe)的光催化作用提升了Fe3O4中Fe3+向Fe2+的转化速率,从而促使Fe3O4持续高效地活化PMS;另一方面,Fe3O4对MIL-100(Fe)光生电子的捕获,提高了MIL-100(Fe)的电子-空穴分离效率,使太阳能被利用得更充分。因此,Fe3O4和MIL-100(Fe)之间的协同效应对于提升光催化活化PMS降解盐酸四环素性能具有重要作用。
图 6
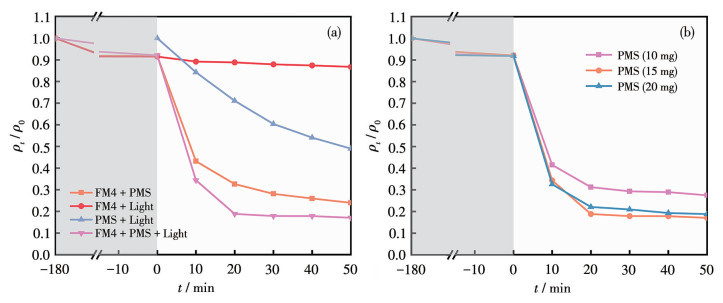
图 6. (a) Fe3O4@MIL-100(Fe)光催化活化PMS降解盐酸四环素曲线; (b) FM4、MIL-100(Fe)和Fe3O4光催化活化PMS降解盐酸四环素对比图Figure 6. (a) Curves of the photocatalytic activation of PMS by Fe3O4@MIL-100(Fe) for tetracycline hydrochloride degradation; (b) Comparation of photocatalytic activation of PMS of FM4, MIL-100(Fe), and Fe3O4 for tetracycline hydrochloride degradation我们进一步系统考察了FM4在不同体系中对盐酸四环素的降解行为(图 7a)。在无光照条件下,FM4+PMS(15 mg)体系表现出了一定的盐酸四环素降解能力,50 min的降解率达到了76.0%。这部分盐酸四环素的降解来源于Fe3O4和MIL-100(Fe)对PMS固有的活化作用。在无PMS的条件下,FM4+Light(光照)体系只表现出了对盐酸四环素的吸附能力,而降解能力微乎其微。很显然,在无PMS的条件下,体系无法产生关键的高级氧化活性物种SO4·-。在无FM4的条件下,光照能够引发一定量的PMS分解产生SO4·-,因此PMS+Light体系对盐酸四环素的50 min降解率为51.1%,其活化效应劣于FM4+PMS+Light体系(83.0%)。这些数据充分说明,FM4+PMS+Light体系可实现最优的光催化活化PMS降解盐酸四环素效率。此外,考察了PMS的投加量对盐酸四环素降解性能的影响(图 7b)。当PMS投加量从10 mg增至15 mg时,盐酸四环素的降解率提升。PMS投加量的增加可产生更多活性氧物种,从而加速盐酸四环素的降解反应。然而,当PMS的投加量进一步提高至20 mg时,盐酸四环素的降解率反而略有下降。值得注意的是,过量的PMS会增加羟基自由基(·OH)与SO4·-之间发生猝灭反应的概率[40]。当PMS投加量过高时,反应式1~3所示的过程会导致可用于盐酸四环素降解的自由基数量减少。同时,在催化剂用量固定的情况下,光生电子和空穴的产量保持恒定,无法满足过量PMS作为电子受体参与式4反应的需求,因此降解率趋于稳定。基于此,我们确定15 mg为PMS的适宜投加量。此外,FM4+PMS+Light体系经过5次光催化活化循环后,对盐酸四环素的降解率仍保持稳定(图 8a),这表明FM4具有良好的可重复使用性和稳定性。
$ 2 \mathrm{SO}_4{ }^{·-} \rightarrow \mathrm{S}_2 \mathrm{O}_8{ }^{2-} $ (1) $2 \cdot \mathrm{OH} \rightarrow \mathrm{H}_2 \mathrm{O}_2 $ (2) $ 2 \mathrm{SO}_4{ }^{·-}+2 \cdot \mathrm{OH} \rightarrow 2 \mathrm{HSO}_4{ }^{-}+\mathrm{O}_2 $ (3) $ \mathrm{HSO}_5{ }^{-}+\mathrm{e}^{-} \rightarrow \mathrm{SO}_4{ }^{·-}+\mathrm{OH}^{-} $ (4) 图 7
图 8
为探究盐酸四环素降解过程中所涉及的活性物种,开展了活性物种捕获实验。如图 8b所示,基于FM4+PMS+Light体系,分别采用L-组氨酸(His,100 mmol·L-1)、叔丁醇(TBA,100 mmol·L-1)、甲醇(MeOH,100 mmol·L-1)、乙二胺四乙酸二钠(EDTA-2Na,100 mmol·L-1)和氮气(N2)作为1O2、·OH、SO4·-、h+和·O2-的捕获剂[41-42]。实验结果表明,MeOH体系的盐酸四环素降解率下降得最为显著,这归因于其通过捕获SO4·-抑制了盐酸四环素的降解。此外,TBA体系中降解率的明显下降揭示了·OH的重要性。最后,可以看到h⁺、1O2和·O2⁻也参与了降解反应。基于此,推测了FM4+PMS+Light体系光催化活化PMS降解盐酸四环素的可能反应机理(图 9)。MIL-100(Fe)的多孔结构和高比表面积能够有效吸附盐酸四环素分子,从而显著缩短自由基的扩散距离,大幅提升受半衰期限制的自由基利用效率。在光激发条件下,MIL-100(Fe)产生的光电子注入Fe3O4,促进了Fe3+向Fe2+的转化。新生成的Fe2+活化PMS产生SO4·-,同时自身重新被氧化为Fe3+,继续接受MIL-100(Fe)的光电子。这种由MIL-100(Fe)光催化作用增强的Fe3+/Fe2+循环转化过程实现了PMS的持续活化,保证了SO4·-的连续生成。同时,SO4·-遇到体系中的水,产生·OH。SO4·-和·OH是降解盐酸四环素的主要活性物种。此外,MIL-100(Fe)在光照下产生的空穴也起到了一定的降解盐酸四环素的作用。很显然,这种优势得益于Fe3O4向MIL-100(Fe)的转化。但需要特别指出的是,Fe3O4向MIL-100(Fe)的转化程度对光催化活化PMS降解盐酸四环素有重要影响。一方面,在Fe3O4向MIL-100(Fe)的转化程度低的情况下,无法建立MIL-100(Fe)的吸附能力与光催化活性优势;另一方面,Fe3O4向MIL-100(Fe)的过度转化,会造成纳米颗粒之间的团聚和光电活性的降低。因此,一个合适的Fe3O4向MIL-100(Fe)的转化程度对光催化活化PMS降解盐酸四环素至关重要。
图 9
3. 结论
通过把Fe3O4纳米粒子表层转化为具有光催化活性的MIL-100(Fe),并控制其转化程度,可增强其活化过硫酸盐降解抗生素的性能。新生成的MIL-100(Fe)壳层有利于提高复合材料比表面积,从而增强其对盐酸四环素分子的吸附性能。此外,MIL-100(Fe)的光催化活性为Fe3O4纳米粒子在活化过硫酸盐过程中Fe3+向Fe2+的转化起到了促进作用,从而形成了持续、高效的光催化活化过硫酸盐降解抗生素体系,为开发高效的高级氧化体系去除环境中抗生素污染物提供了新的思路和重要依据。
-
-
[1]
GAO Y, WANG Q, JI G Z, LI A. Degradation of antibiotic pollutants by persulfate activated with various carbon materials[J]. Chem. Eng. J., 2022, 429: 132387. doi: 10.1016/j.cej.2021.132387
-
[2]
LIU X, STEELE J C, MENG X Z. Usage, residue, and human health risk of antibiotics in Chinese aquaculture: A review[J]. Environ. Pollut., 2017, 223: 161-169. doi: 10.1016/j.envpol.2017.01.003
-
[3]
ZAINAB S M, JUNAID M, XU N, MALIK R N. Antibiotics and antibiotic resistant genes (ARGs) in groundwater: A global review on dissemination, sources, interactions, environmental and human health risks[J]. Water Res., 2020, 187: 116455. doi: 10.1016/j.watres.2020.116455
-
[4]
PONNUSAMI A B, SINHA S, ASHOKAN H, PAUL M V, HARIHARAN S P, ARUN J, GOPINATH K P, LE Q H, PUGAZHENDHI A. Advanced oxidation process (AOP) combined biological process for wastewater treatment: A review on advancements, feasibility and practicability of combined techniques[J]. Environ. Res., 2023, 237: 116944. doi: 10.1016/j.envres.2023.116944
-
[5]
YI X H, WANG C C. Elimination of emerging organic contaminants in wastewater by advanced oxidation process over iron-based MOFs and their composites[J]. Prog. Chem., 2021, 33: 471-489.
-
[6]
张欣怡, 温金龙, 胡玉瑛. 过硫酸盐高级氧化降解双酚A的研究进展[J]. 水处理技术, 2025,51,14-21. ZHANG X Y, WEN J L, HU Y Y. Research progress on persulfate advanced oxidation degradation of bisphenol A[J]. Technology of Water Treatment, 2025, 51: 14-21.
-
[7]
JIANG D N, FANG D, ZHOU Y, WANG Z W, YANG Z H, ZHU J, LIU Z M. Strategies for improving the catalytic activity of metal-organic frameworks and derivatives in SR-AOPs: Facing emerging environmental pollutants[J]. Environ. Pollut., 2022, 306: 119386. doi: 10.1016/j.envpol.2022.119386
-
[8]
SCARIA J, NIDHEESH P V. Comparison of hydroxyl-radical-based advanced oxidation processes with sulfate radical-based advanced oxidation processes[J]. Curr. Opin. Chem. Eng., 2022, 36: 100830. doi: 10.1016/j.coche.2022.100830
-
[9]
DU X D, ZHOU M H. Strategies to enhance catalytic performance of metal-organic frameworks in sulfate radical-based advanced oxidation processes for organic pollutants removal[J]. Chem. Eng. J., 2021, 403: 126346. doi: 10.1016/j.cej.2020.126346
-
[10]
ANIPSITAKIS G P, DIONYSIOU D D. Radical generation by the interaction of transition metals with common oxidants[J]. Environ. Sci. Technol., 2004, 38: 3705-3712. doi: 10.1021/es035121o
-
[11]
GUAN K, ZHOU P J, ZHANG J Y, ZHU L L. Catalytic degradation of acid orange 7 in water by persulfate activated with CuFe2O4@ RSDBC[J]. Mater. Res. Express, 2020, 7: 016529. doi: 10.1088/2053-1591/ab6253
-
[12]
LENG Y Q, GUO W L, SHI X, LI Y Y, WANG A Q, HAO F F, XING L T. Degradation of rhodamine B by persulfate activated with Fe3O4: Effect of polyhydroquinone serving as an electron shuttle[J]. Chem. Eng. J., 2014, 240: 338-343. doi: 10.1016/j.cej.2013.11.090
-
[13]
ZHAO Y S, SUN C, SUN J Q, ZHOU R. Kinetic modeling and efficiency of sulfate radical-based oxidation to remove p-nitroaniline from wastewater by persulfate/Fe3O4 nanoparticles process[J]. Sep. Purif. Technol., 2015, 142: 182-188. doi: 10.1016/j.seppur.2014.12.035
-
[14]
YAN J C, LEI M, ZHU L H, ANJUM M N, ZOU J, TANG H Q. Degradation of sulfamonomethoxine with Fe3O4 magnetic nanoparticles as heterogeneous activator of persulfate[J]. J. Hazard. Mater., 2011, 186: 1398-1404. doi: 10.1016/j.jhazmat.2010.12.017
-
[15]
LIU Z M, LI X, RAO Z W, HU F P. Treatment of landfill leachate biochemical effluent using the nano-Fe3O4/Na2S2O8 system: Oxidation performance, wastewater spectral analysis, and activator characterization[J]. J. Environ. Manage., 2018, 208: 159-168. doi: 10.1016/j.jenvman.2017.12.023
-
[16]
SUN C, ZHOU R, JIANAN E, SUN J Q, SU Y Q, REN H J. Ascorbic acid-coated Fe3O4 nanoparticles as a novel heterogeneous catalyst of persulfate for improving the degradation of 2, 4-dichlorophenol[J]. RSC Adv., 2016, 6: 10633-10640. doi: 10.1039/C5RA22491H
-
[17]
TAN C Q, LU X, CUI X X, JIAN X C, HU Z X, DONG Y J, LIU X Y, HUANG J, DENG L. Novel activation of peroxymonosulfate by an easily recyclable VC@Fe3O4 nanoparticles for enhanced degradation of sulfadiazine[J]. Chem. Eng. J., 2019, 363: 318-328. doi: 10.1016/j.cej.2019.01.145
-
[18]
LI J, WAN Y J, LI Y J, YAO G, LAI B. Surface Fe(Ⅲ)/Fe(Ⅱ) cycle promoted the degradation of atrazine by peroxymonosulfate activation in the presence of hydroxylamine[J]. Appl. Catal. B-Environ., 2019, 256: 117782. doi: 10.1016/j.apcatb.2019.117782
-
[19]
ZHANG J, CHEN M Y, ZHU L. Activation of peroxymonosulfate by iron-based catalysts for orange G degradation: Role of hydroxylamine[J]. RSC Adv., 2016, 6: 47562-47569. doi: 10.1039/C6RA07231C
-
[20]
TAN C Q, JIAN X C, DONG Y J, LU X, LIU X Y, XIANG H M, CUI X X, DENG J, GAO H Y. Activation of peroxymonosulfate by a novel EGCE@Fe3O4 nanocomposite: Free radical reactions and implication for the degradation of sulfadiazine[J]. Chem. Eng. J., 2019, 359: 594-603. doi: 10.1016/j.cej.2018.11.178
-
[21]
YI Q H, BU L J, SHI Z, ZHOU S Q. Epigallocatechin-3-gallate-coated Fe3O4 as a novel heterogeneous catalyst of peroxymonosulfate for diuron degradation: Performance and mechanism[J]. Chem. Eng. J., 2016, 302: 417-425. doi: 10.1016/j.cej.2016.05.025
-
[22]
DONG Y J, CUI X X, LU X, JIAN X C, XU Q L, TAN C Q. Enhanced degradation of sulfadiazine by novel β-alaninediacetic acid-modified Fe3O4 nanocomposite coupled with peroxymonosulfate[J]. Sci. Total Environ., 2019, 662: 490-500. doi: 10.1016/j.scitotenv.2019.01.280
-
[23]
CHEN C, FEI L Y, WANG B Y, XU J J, LI B S, SHEN L G, LIN H J. MOF-based photocatalytic membrane for water purification: A review[J]. Small, 2024, 20: 2305066. doi: 10.1002/smll.202305066
-
[24]
SUTHERLAND C. Exploring the state-of-the-art in metal-organic frameworks for antibiotic adsorption: A review of performance, mechanisms, and regeneration[J]. Environ. Toxicol. Chem., 2025, 44: 880-894. doi: 10.1093/etojnl/vgaf009
-
[25]
安昊天, 韩章烨, 陆慕瑶, 周阿武, 李建荣. 推进MOF产业化应用: 宏量制备与成型[J]. 化工学报, 2025,76,2011-2025. AN H T, HAN Z Y, LU M Y, ZHOU A W, LI J R. Promoting industrial application of MOF: scale-up preparation and shaping[J]. CIESC Journal, 2025, 76: 2011-2025.
-
[26]
WANG Q, GAO Q Y, AL-ENIZI A M, NAFADY A, MA S Q. Recent advances in MOF-based photocatalysis: Environmental remediation under visible light[J]. Inorg. Chem. Front., 2020, 7: 300-339. doi: 10.1039/C9QI01120J
-
[27]
KHAN M S, LI Y X, LI D S, QIU J B, XU X H, YANG H Y. A review of metal-organic framework (MOF) materials as an effective photocatalyst for degradation of organic pollutants[J]. Nanoscale Adv., 2023, 5: 6318-6348. doi: 10.1039/D3NA00627A
-
[28]
XIONG Z K, JIANG Y N, WU Z L, YAO G, LAI B. Synthesis strategies and emerging mechanisms of metal-organic frameworks for sulfate radical-based advanced oxidation process: A review[J]. Chem. Eng. J., 2021, 421: 127863. doi: 10.1016/j.cej.2020.127863
-
[29]
FANG Y, YANG Y, YANG Z G, LI H P, ROESKY H W. Advances in design of metal-organic frameworks activating persulfate for water decontamination[J]. J. Organomet. Chem., 2021, 954-955: 122070.
-
[30]
KHAN S, GUAN Q, LIU Q, QIN Z W, RASHEED B, LIANG X X, YANG X. Synthesis, modifications and applications of MILs metal-organic frameworks for environmental remediation: The cutting-edge review[J]. Sci. Total Environ., 2022, 810: 152279. doi: 10.1016/j.scitotenv.2021.152279
-
[31]
ZHANG Y, ZHOU J B, CHEN X, WANG L, CAI W Q. Coupling of heterogeneous advanced oxidation processes and photocatalysis in efficient degradation of tetracycline hydrochloride by Fe‑based MOFs: Synergistic effect and degradation pathway[J]. Chem. Eng. J., 2019, 369: 745-757. doi: 10.1016/j.cej.2019.03.108
-
[32]
CHEN D D, YI X H, LING L, WANG C C, WANG P. Photocatalytic Cr sequestration and photo-Fenton bisphenol A decomposition over white light responsive PANI/MIL-88A(Fe)[J]. Appl. Organomet. Chem., 2020, 34: e5795. doi: 10.1002/aoc.5795
-
[33]
WANG J W, QIU F G, WANG P, GE C J, WANG C C. Boosted bisphenol A and Cr cleanup over Z-scheme WO3/MIL-100(Fe) composites under visible light[J]. J. Clean. Prod., 2021, 279: 123408. doi: 10.1016/j.jclepro.2020.123408
-
[34]
YANG J L, ZHU M S, DIONYSIOU D D. What is the role of light in persulfate-based advanced oxidation for water treatment?[J]. Water Res., 2021, 189: 116627. doi: 10.1016/j.watres.2020.116627
-
[35]
DU C Y, ZHANG Y, ZHANG Z, ZHOU L, YU G L, WEN X F, CHI T Y, WANG G L, SU Y H, DENG F F, LV Y C, ZHU H. Fe-based metal organic frameworks (Fe-MOFs) for organic pollutants removal via photo-Fenton: A review[J]. Chem. Eng. J., 2022, 431: 133932. doi: 10.1016/j.cej.2021.133932
-
[36]
DENG H, LI X L, PENG Q, WANG X, CHEN J P, LI Y D. Monodisperse magnetic single-crystal ferrite microspheres[J]. Angew. Chem. ‒Int. Edit., 2005, 44: 2782-2785. doi: 10.1002/anie.200462551
-
[37]
CHEN X, ZHANG Y S, ZHAO Y H, WANG S, LIU L Z, XU W Y, GUO Z R, WANG S H, LIU Y X, ZHANG J L. Encapsulating Pt nanoparticles through transforming Fe3O4 into MIL-100(Fe) for well-defined Fe3O4@Pt@MIL-100(Fe) core-shell heterostructures with promoting catalytic activity[J]. Inorg. Chem., 2019, 58: 12433-12440. doi: 10.1021/acs.inorgchem.9b02114
-
[38]
CHEN X, ZHANG Y S, KONG X Y, YAO K, LIU L Z, ZHANG J L, GUO Z R, XU W Y, FANG Z L, LIU Y X. Photocatalytic performance of the MOF-coating layer on SPR-excited Ag nanowires[J]. ACS Omega, 2021, 6: 2882-2889. doi: 10.1021/acsomega.0c05229
-
[39]
XIAO J D, SHANG Q C, XIONG Y J, ZHANG Q, LUO Y, YU S H, JIANG H L. Boosting photocatalytic hydrogen production of a metal-organic framework decorated with platinum nanoparticles: The platinum location matters[J]. Angew. Chem. ‒Int. Edit., 2016, 55: 9389-9393. doi: 10.1002/anie.201603990
-
[40]
ZHANG Q C, JIANG L, WANG J, ZHU Y F, PU Y J, DAI W D. Photocatalytic degradation of tetracycline antibiotics using three- dimensional network structure perylene diimide supramolecular organic photocatalyst under visible-light irradiation[J]. Appl. Catal. B‒Envrion., 2020, 277: 119122. doi: 10.1016/j.apcatb.2020.119122
-
[41]
ZHANG X W, WANG F, WANG C C, WANG P, FU H F, ZHAO C. Photocatalysis activation of peroxodisulfate over the supported Fe3O4 catalyst derived from MIL-88A(Fe) for efficient tetracycline hydrochloride degradation[J]. Chem. Eng. J., 2021, 426: 131927. doi: 10.1016/j.cej.2021.131927
-
[42]
HE W J, LI Z P, LV S C, NIU M X, ZHOU W F, LI J, LU R H, GAO H X, PAN C P, ZHANG S B. Facile synthesis of Fe3O4@MIL-100(Fe) towards enhancing photo-Fenton like degradation of levofloxacin via a synergistic effect between Fe3O4 and MIL-100(Fe)[J]. Chem. Eng. J., 2021, 409: 128274.
-
[1]
-
图 6 (a) Fe3O4@MIL-100(Fe)光催化活化PMS降解盐酸四环素曲线; (b) FM4、MIL-100(Fe)和Fe3O4光催化活化PMS降解盐酸四环素对比图
Figure 6 (a) Curves of the photocatalytic activation of PMS by Fe3O4@MIL-100(Fe) for tetracycline hydrochloride degradation; (b) Comparation of photocatalytic activation of PMS of FM4, MIL-100(Fe), and Fe3O4 for tetracycline hydrochloride degradation
-
扫一扫看文章
计量
- PDF下载量: 6
- 文章访问数: 2213
- HTML全文浏览量: 255

下载:
下载:
下载: