Syntheses, crystal structures, catalytic and anti-wear properties of zinc(Ⅱ), nickel(Ⅱ) and cadmium(Ⅱ) complexes constructed from a terphenyl-tricarboxylate ligand

Zhenghua ZHAO Yufeng LIU Qing ZHANG Zifa SHI Jinzhong GU

Citation:  Zhenghua ZHAO, Yufeng LIU, Qing ZHANG, Zifa SHI, Jinzhong GU. Syntheses, crystal structures, catalytic and anti-wear properties of zinc(Ⅱ), nickel(Ⅱ) and cadmium(Ⅱ) complexes constructed from a terphenyl-tricarboxylate ligand[J]. Chinese Journal of Inorganic Chemistry, 2026, 42(1): 170-180. doi: 10.11862/CJIC.20250161 shu

包含三联苯三羧酸配体的锌(Ⅱ)、镍(Ⅱ)和镉(Ⅱ)配合物的合成、晶体结构、催化及抗磨性质

    通讯作者: 师自法, shizf@lzu.edu.cn
    顾金忠, gujzh@lzu.edu.cn
摘要: 采用水热方法, 选用[1, 1′∶3′, 1″-三联苯基]-4, 4″, 5′-三羧酸配体(H3tpta)与吡啶(py)、2, 2′-联咪唑(H2biim)或1, 2-二(4-吡啶基)乙烯(dpe)分别与ZnCl2、NiCl2·6H2O和CdCl2·H2O在160 ℃温度下反应, 合成了3个配合物[Zn(μ-Htpta)(py)2]n (1)、[Ni(H2biim)2(H2O)2][Ni(tpta)(H2biim)2(H2O)]2·3H2O (2)和[Cd3(μ4-tpta)2(μ-dpe)3]n (3)。通过红外光谱、元素分析、热重分析以及单晶X射线衍射对这3个配合物进行了全面表征。单晶X射线衍射分析表明配合物1~3的晶体属于单斜晶系P21/c空间群(1)和三斜晶系P1空间群(23), 分别呈现一维、零维和三维结构。我们对配合物的催化和摩擦性质进行了研究。研究表明, 在室温条件下配合物1作为一种多相催化剂在Knoevenagel缩合反应中显示出较好的催化活性且可重复使用。同时, 配合物1还具有较好的抗磨性能。

English

  • Over the past few decades, there has been extensive investigation into coordination polymers, recognized as a significant class of materials due to their structural diversity[1-5] and exceptional functional capabilities, which include applications in sensing[6-7], gas adsorption[8-9], and catalysis[10-13]. This phenomenon can also be attributed to various characteristics of metal ions and their resultant complexes, which include affordability and availability, as well as bioactivity, photoreactivity, and a complex coordination chemistry that accommodates a wide array of ligand types[14-16]. Among the various options, aromatic carboxylic acids are particularly notable as the most frequently utilized linkers in the construction of coordination polymers and related materials[5, 12-13]. Current investigations are significantly concentrating on the development of innovative carboxylate linkers that possess multiple coordination sites, which are subsequently examined for their role in the creation of metal-organic frameworks.

    As part of our overarching research theme focused on investigating various polycarboxylic acids available in the market, which are infrequently utilized as linkers for the creation of functional coordination polymers[12-13, 17-18], we aim to explore new possibilities. The present study focuses on a tricarboxylic acid based on terphenyl: [1, 1′: 3′, 1″-terphenyl]-4, 4′, 5′-tricarboxylic acid (H3tpta). The complex in question is capable of functioning as a multifaceted semi-flexible linkage in the development of coordination polymers. The choice of this ligand was influenced by several factors: (1) It possesses as many as six oxygen donor sites available for coordination with metallic centers. (2) Moreover, the stability of the tricarboxylic acid under conditions typical of hydrothermal synthesis is a significant advantage, exhibiting a semi-flexible nature due to the linkage provided by C—C bonds that connect neighboring aromatic rings, and may demonstrate various levels of deprotonation along with multiple modes of coordination. (3) The application of H3tpta in coordination polymers remains limited as of now[19-22].

    In light of the aforementioned considerations, our team proceeded to develop and create three complexes of Zn(Ⅱ), Ni(Ⅱ), and Cd(Ⅱ) utilizing H3tpta: [Zn(μ-Htpta)(py)2]n (1), [Ni(H2biim)2(H2O)2][Ni(tpta)(H2biim)2(H2O)]2·3H2O (2), and [Cd3(μ4-tpta)2(μ-dpe)3]n (3), where py=pyridine, H2biim=2, 2′-biimidazole, dpe=1, 2-di(4-pyridyl)ethylene. This study presents the synthesis, crystalline frameworks, and exploration of catalytic and wear-resistant features of these complexes.

    All reagents and solvents utilized were of analytical grade and were used as received, without any additional purification. Carbon, hydrogen, and nitrogen were determined using an Elementar Vario EL elemental analyzer. The IR spectrum was recorded using KBr pellets and a Bruker EQUINOX 55 spectrometer. Thermogravimetric analysis (TGA) data were collected on a LINSEIS STA PT1600 thermal analyzer with a heating rate of 10 ℃·min-1. Powder X-ray diffraction (PXRD) patterns were measured on a Rigaku-Dmax 2400 diffractometer using Cu radiation (λ=0.154 06 nm). The X-ray apparatus operated at a voltage of 40 kV and a current of 40 mA, with data acquired over a range of 5° to 45 °. Additionally, 1H NMR spectra of the solution were captured using a JNM ECS-400M spectrometer.

    In a reaction setup, 0.027 g (0.20 mmol) of ZnCl2 was combined with 0.072 g (0.20 mmol) of H3tpta, along with 0.50 mL (6.05 mmol) of py and 10 mL of water. The mixture was stirred for 15 min at room temperature and then transferred to a 25 mL Teflon-lined stainless steel container. This vessel was heated to 160 ℃ for a duration of three days, after which it was slowly cooled to room temperature at a rate of 10 ℃·h-1. The resulting colourless block-shaped crystals of 1 were selected by hand and rinsed with distilled water, yielding 53% based on H3tpta. Anal. Calcd. for C31H22ZnN2O6(%): C 63.76, H 3.80, N 4.80; Found(%): C 64.03, H 3.77, N 4.82. IR (KBr, cm-1): 1 706m, 1 607s, 1 545m, 1 454w, 1 420w, 1 374s, 1 312w, 1 267w, 1 225m, 1 184w, 1 117w, 1 067w, 1 042w, 1 014w, 914w, 855w, 831w, 785m, 747w, 694w, 636w.

    A mixture of NiCl2·6H2O (0.072 g, 0.30 mmol), H3tpta (0.072 g, 0.20 mmol), H2biim (0.040 g, 0.30 mmol), NaOH (0.024 g, 0.60 mmol), and 10 mL of H2O was gently mixed at ambient temperature for a duration of 15 min, which was then enclosed in a stainless steel container lined with Teflon, totaling 25 mL in capacity, and heating at 160 ℃ for 3 d. Subsequently, the container was allowed to reach ambient temperature at a controlled pace of 10 ℃·h-1. Manually, the distinct purple block-like crystals of complex 2 were obtained, rinsed thoroughly with purified water, and then allowed to dry. Yield: 26% (based on H3tpta). Anal. Calcd. for C39H36Ni1.5N12O9.5(%): C 51.32, H 3.98, N 18.41; Found(%): C 51.06, H 3.96, N 18.64. IR (KBr, cm-1): 3 525w, 3 331w, 3 317w, 1 682w, 1 608w, 1 579s, 1 534s, 1 431w, 1 402w, 1 369s, 1 299w, 1 180w, 1 138w, 1 122w, 1 101w, 990w, 862w, 788w, 763m, 693w, 619w.

    CdCl2·H2O (0.040 g, 0.20 mmol), H3tpta (0.072 g, 0.20 mmol), dpe (0.036 g, 0.20 mmol), NaOH (0.024 g, 0.60 mmol) were mixed, following which, the mixture including H2O (10 mL) was agitated at ambient temperature for 15 min, and subsequently placed into a Teflon-lined stainless steel container with a volume of 25 mL, and heating at 160 ℃ for 3 d, after which the temperature was decreased to ambient conditions at a controlled rate of 10 ℃·h-1. Manually isolated, colourless block-shaped crystals of 3 were obtained, and subsequently rinsed with distilled water. The yield was recorded at 47% (based on H3tpta). Anal. Calcd. for C78H52Cd3N6O12(%): C 58.46, H 3.27, N 5.24; Found(%): C 58.74, H 3.24, N 5.21. IR (KBr, cm-1): 1 678w, 1 604s, 1 584m, 1 546s, 1 406s, 1 315w, 1 295w, 1 250w, 1 220w, 1 180w, 1 134w, 1 101w, 1 068w, 1 014w, 974w, 904w, 862w, 833w, 784m, 767w, 705w, 668w. These complexes are insoluble in water and common organic solvents, such as methanol, ethanol, acetone, and DMF.

    A total of three individual crystals were obtained, measuring 0.11 mm×0.07 mm×0.06 mm (1), 0.08 mm×0.06 mm×0.05 mm (2), and 0.05 mm×0.04 mm×0.03 mm (3), were collected at 293(2) K on a Bruker SMART APEX Ⅱ CCD diffractometer with Mo (λ=0.071 073 nm). The structures were solved by direct methods and refined by full matrix least-squares on F2 using the SHELXTL-2014 program. All non-hydrogen atoms were refined anisotropically. All the hydrogen atoms (except for the ones bound to water molecules) were placed in calculated positions with fixed isotropic thermal parameters in included in structure factor calculations in the final stage of full-matrix least-squares refinement. The hydrogen atoms of water molecules in 2 were located by different maps and constrained to ride on their parent O atoms. A summary of the crystallography data and structure refinements for complexes 1-3 is given in Table S1 (Supporting information). The selected bond lengths and angles for complexes 1-3 are listed in Table S2. Hydrogen bond parameters of complexes 1 and 2 are given in Table S3.

    In a standard experimental setup, a mixture containing a suspension of an aromatic aldehyde (0.50 mmol), 1 mmol of malononitrile was utilized along a catalyst (x=2%, with aromatic aldehyde serving as a reference material) dissolved in methanol (1.0 mL) was utilized. The mixture was agitated at ambient temperature. Upon reaching the desired duration for the reaction, the catalyst was discarded using centrifugation, and the solvent from the filtrate was then removed under reduced pressure, resulting in a rough solid. The resulting mixture was subjected to dissolution in CDCl3 and subsequently analyzed via 1H NMR spectroscopy to quantify the resulting products (Fig.S1). The catalyst was recovered through centrifugation, subsequently cleaned using methanol, and air-dried at ambient temperature before being employed again in the recycling experiment. The following procedures were carried out as outlined previously.

    A powdered form of complex 1 (2 mg), prepared by grinding with a mortar, was incorporated into 4 mL of polyalphaolefin synthetic lubricant (PAO10), featuring a viscosity of 10.1 mm2·s-1 at 100 ℃. The resulting mixture was stirred at 25 ℃ for a duration of 24 h and subsequently subjected to ultrasonic dispersion for 2 h to yield the oil sample (1/PAO10).

    A high-frequency oscillating tribometer (UMT-TRIBOLAB) was employed to assess the frictional and wear properties of the oil samples under conditions that mimic actual operational scenarios. The setup used for these tests included a GCr15 steel sphere with a diameter of 10 mm was chosen to act as the static upper specimen. The reciprocating lower specimen was the GCr15 steel block, featuring a diameter of 25 mm and a thickness of 8 mm. Before the tests, the GCr15 steel balls and blocks underwent ultrasonic cleaning in acetone for 10 min. Before each friction test, 0.1 mL of lubricant was applied to the steel block, ensuring that it covered the complete surface with the assistance of a micro-syringe. The tribometer management program was used to set the testing temperature at 25 ℃. Additionally, the temperature was regulated using a thermocouple positioned just beneath the holder. Each friction test was conducted for 30 min, maintaining a steady load of 200 N, which resulted in a Hertzian contact pressure of approximately 1 602 MPa, with a reciprocating motion of 2 mm at a frequency of 25 Hz.

    2.1.1   Complex 1

    The analysis conducted through single-crystal X-ray diffraction indicates that the structure of complex 1 is classified within the monoclinic space group P21/c. Within the asymmetric unit of this complex, there is a singular Zn(Ⅱ) ion, one μ-Htpta2- block, as well as two py ligands. As depicted in Fig.1, the Zn1 ion forms five coordination bonds, engaging with three oxygen atoms from two separate μ-Htpta2- units as well as a pair of nitrogen atoms contributed by two py ligands, resulting in a distorted trigonal bipyramidal geometry characterized by {ZnN2O3}. The bond lengths of Zn—O exhibit a variation between 0.194 6(2) and 0.226 1(2) nm, while the lengths of the Zn—N bonds are measured between 0.204 8(2) and 0.207 9(2) nm. The measured bonding characteristics align closely with those documented in previously published studies on Zn(Ⅱ) complexes[5, 13, 18]. In this investigation, the Htpta2- ligand follows coordination mode Ⅰ (Fig.2) wherein two deprotonated carboxylate groups can engage in either monodentate or bidentate coordination. The μ-Htpta2- bridges link neighboring Zn(Ⅱ) ions, resulting in the formation of a 1D chain (Fig.3) characterized by a 2C1 topology (Fig.4).

    Figure 1

    Figure 1.  Drawing of the asymmetric unit of complex 1 with 30% probability thermal ellipsoids

    H atoms and lattice water molecules are omitted for clarity; Symmetry code: A: -x+1, y+1/2, -z+1/2.

    Figure 2

    Figure 2.  Coordination modes of Htpta2-/tpta3- ligands

    Figure 3

    Figure 3.  One-dimensional metal-organic chain viewed along the a-axis

    Figure 4

    Figure 4.  Topological representation of a chain with 2C1 topology viewed along the a-axis
    2.1.2   Complex 2

    The structure of the crystal for complex 2 includes a cationic component represented as [Ni(H2biim)2(H2O)2]2+, accompanied by a pair of anions [Ni(tpta)(H2biim)2(H2O)]-, along with three water molecules situated within the lattice (Fig.5). Within the cation, the Ni2 center is characterized by a distorted octahedral {NiN4O2} arrangement, comprising four nitrogen atoms sourced from two auxiliary H2biim ligands alongside two oxygen atoms from terminal water ligands (Fig.5). The Ni1 center is equally coordinated six times and exhibits a similarly distorted octahedral {NiN4O2} coordination sphere, which consists of a pair of auxiliary ligands, each contributing two nitrogen donors from H2biim, an oxygen atom from the carboxyl group of the tpta3- primary ligand, and an oxygen donor from the H2O ligand at the terminal position. The distances between Ni and O vary between 0.210 3(2) and 0.213 2(2) nm; in contrast, the distance between Ni and N spans from 0.207 6(2) to 0.213 7(2) nm. These bond characteristics align with those found in various Ni(Ⅱ) complexes[17, 20]. In complex 2, the tpta3- unit takes on a terminal configuration (mode Ⅱ, as illustrated in Fig.2), where the carboxylate moieties display either monodentate coordination or remain uncoordinated. The adjacent [Ni(H2biim)2(H2O)2]2+ cations and [Ni(tpta)(H2biim)2(H2O)]- anions are interconnected through O—H…O and N—H…O hydrogen bonds, forming a 2D supramolecular structure (Fig.6).

    Figure 5

    Figure 5.  Drawing of the asymmetric unit of complex 2 with 30% probability thermal ellipsoids: (a) [Ni(H2biim)2(H2O)2]2+ cation, (b) [Ni(tpta)(H2biim)2(H2O)]- anion

    Figure 6

    Figure 6.  Two-dimensional supramolecular network viewed along the a-axis
    2.1.3   Complex 3

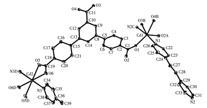
    The asymmetric unit of complex 3 includes two independent Cd(Ⅱ) ions in terms of crystallography (namely Cd1, which exhibits full occupancy, and Cd2, which has a half occupancy), and one μ4-tpta3- block, one and a half dpe ligands. As illustrated in Fig.7, the Cd1 ion is coordinated to six ligands and exhibits a distorted octahedral {CdN2O4} geometry, which is generated by four carboxylate oxygen atoms from three separate μ4-tpta3- units and a pair of nitrogen atoms sourced from two auxiliary dpe ligands. Similarly, the Cd2 center is also coordinated to six ligands and reveals a distorted octahedral {CdN2O4} configuration, which is formed by two main tpta3- ligands contributing four carboxyl O atoms and two N donor atoms from two auxiliary dpe ligands. The distances between Cd and O vary within a range of 0.229 5(2) to 0.244 3(2) nm; in contrast, the distance between Cd and N is measured from 0.230 6(3) to 0.233 8(2) nm; the bonding characteristics observed here correspond with those found in other Cd(Ⅱ) complexes[17-18]. In 3, the tpta3- segment additionally functions as a bridging element (mode Ⅲ, Fig.2), in which the carboxylate moieties demonstrate either a bidentate or a bridging bidentate configuration. The dpe auxiliary ligand coordinates in a bridging manner. Two Cd(Ⅱ) centers are interconnected via two carboxylate moieties derived from distinct μ4-tpta3- blocks, resulting in the creation of a binuclear Cd2 unit (Fig.8). The connecting μ4-tpta3- and μ-dpe units link these Cd2 units into a 3D metal-organic structure (Fig.9). This material reveals a 3D framework characterized by a sql topology (Fig.10).

    Figure 7

    Figure 7.  Drawing of the asymmetric unit of complex 3 with 30% probability thermal ellipsoids

    H atoms and lattice water molecules are omitted for clarity; Symmetry codes: A: -x+2, -y, -z+2; B: -x+2, -y, -z+1; C: x, y-1, z; D: -x-1, -y+1, -z+1.

    Figure 8

    Figure 8.  Cd2 unit of complex 3

    Figure 9

    Figure 9.  Three-dimensional metal-organic framework viewed along the b-axis

    Figure 10

    Figure 10.  Topological representation of a 4, 5-connected framework with a sql topology viewed along the b-axis

    To assess the thermal stability of complexes 1-3, the thermal properties of these complexes were examined using thermogravimetric analysis (TGA) in a nitrogen environment. This is illustrated in Fig.11, the loss of two py ligands from complex 1 occurred within a temperature range of 118 to 258 ℃, resulting in an observed weight reduction of 26.8% (Calcd. 27.1%), which is succeeded by the breakdown occurring at 331 ℃. For 2, the release of four coordinated and three lattice water molecules occurred between 124 and 253 ℃ (Obsd. 7.7%, Calcd. 7.9%). On the other hand, a sample that has undergone dehydration exhibited stability until 287 ℃. Complex 3 is devoid of any crystallization or coordinated water; thus, its structure remained intact up to 348 ℃.

    Figure 11

    Figure 11.  TGA curves of complexes 1-3

    The exploration of various metal(Ⅱ) complexes holds promise as catalysts for facilitating the Knoevenagel condensation process[10, 12-13, 17-18, 23]. The performance of complexes 1-3 was investigated as heterogeneous catalysts in the reaction involving various aldehydes and malononitrile. For this purpose, a model substrate was employed; malononitrile and benzaldehyde were combined in a methanol solution at 25 ℃, yielding a product identified as 2-benzylidenemalononitrile (Scheme 1). The investigation assessed the impact of various reaction conditions, i.e., reaction time, solvent type, the employment of catalyst amounts and their subsequent reusability, and the examination of the substrate range and loading was conducted.

    Scheme 1

    Scheme 1.  Zn-catalyzed the Knoevenagel condensation reaction of benzaldehyde with malononitrile (model substrate)

    The highest level of activity was demonstrated by complex 1, achieving a complete conversion of benzaldehyde into 2-benzylidenemalononitrile (Table 1 and Fig.S1). An investigation was conducted using 1 to examine the effects of various reaction conditions. The yield progressively increased from 53% to 100% as the reaction time was extended from 10 to 60 min (Table 1, entries 1-6). The effect of catalyst quantity was also explored, showing an increase in product yield from 93% to 100% when the catalyst loading (xcat) was raised from 1% to 2% (entries 6 and 11). Besides methanol, various other solvents were evaluated. Solvents such as water, ethanol, acetonitrile, and chloroform exhibited lower efficacy, achieving product yields ranging from 66% to 98%.

    Table 1

    Table 1.  Catalyzed the Knoevenagel condensation reaction of benzaldehyde with malononitrile
    下载: 导出CSV
    Entry Catalyst Time / min xcat / % Solvent Yield* / %
    1 1 10 2.0 CH3OH 53
    2 1 20 2.0 CH3OH 72
    3 1 30 2.0 CH3OH 83
    4 1 40 2.0 CH3OH 90
    5 1 50 2.0 CH3OH 95
    6 1 60 2.0 CH3OH 100
    7 1 60 2.0 H2O 98
    8 1 60 2.0 C2H5OH 96
    9 1 60 2.0 CH3CN 87
    10 1 60 2.0 CHCl3 66
    11 1 60 1.0 CH3OH 93
    12 2 60 2.0 CH3OH 88
    13 3 60 2.0 CH3OH 86
    14 Blank 60 CH3OH 20
    15 ZnCl2 60 2.0 CH3OH 31
    16 H3tpta 60 2.0 CH3OH 28
    * The yield (Y) was calculated by 1H NMR spectroscopy: Y=nproduct/naldehyde×100%.

    Compared to complex 1, the reactivity of complexes 2 and 3 was lower, leading to maximum product yields of 88% and 86%, respectively (Table 1, entries 12 and 13). It is important to note that the Knoevenagel condensation of benzaldehyde with malononitrile showed considerably lower effectiveness without a catalyst, resulting in merely 20% yield. Similarly, the use of H3tpta and ZnCl2 as catalytic agents yielded only 28% and 31%, respectively (Table 1, entries 14-16).

    A variety of substituted benzaldehydes was assessed to examine the range of substrates suitable for the Knoevenagel condensation reaction between benzaldehyde and malononitrile. These experiments were conducted under optimized conditions (x1=2.0%, CH3OH, 25 ℃). The corresponding yields of products were observed to range from 43% to 100% after a duration of 60 min (Table 2). Benzaldehydes that possess a notably strong electron-withdrawing group (for example, nitrogen, and the presence of a chloro group in the aromatic ring) exhibited the highest activity (Table 2, entries 2-5). This observation can be attributed to the enhanced electrophilicity presented by the substrates. Benzaldehydes that feature an electron-donating group (for instance, the presence of methyl or methoxy substituents) were associated with diminished yields of the products (Table 2, entries 6-8)

    Table 2

    Table 2.  Knoevenagel condensation of various aldehydes with malononitrile catalyzed by complex 1a
    下载: 导出CSV
    Entry Substituted benzaldehyde substrate (R-C6H4CHO) Yieldb / %
    1 R=H 100
    2 R=2-NO2 100
    3 R=3-NO2 100
    4 R=4-NO2 100
    5 R=4-Cl 100
    6 R=4-OH 43
    7 R=4-CH3 96
    8 R=4-OCH3 74
    a Reaction conditions: aldehyde (0.5 mmol), malononitrile (1.0 mmol), catalyst 1 (2.0%), and CH3OH (1.0 mL) at 25 ℃; b Calculated by1H NMR spectroscopy.

    Finally, the catalyst 1′s ability to be reused was evaluated. Following each cycle of reaction, the catalyst was isolated using centrifugation, rinsed with CH3OH, dried in air at about 25℃ which was then utilized again in the subsequent cycle. The results obtained demonstrate that complex 1 maintained its catalytic efficiency over at least five consecutive reactions, with yields recorded at 100%, 100%, 97%, and 96% for the second through fifth runs, respectively. Also, the analysis of PXRD patterns illustrates that the integrity of the structure of 1 was preserved (Fig.S2), although there were some new signals that appeared or certain peaks might become broadened. Such changes could occur after several catalytic cycles and may be attributed to the emergence of impurities or a reduction in crystallinity.

    Utilizing inorganic additives offers a novel strategy to improve the lubrication properties of lubricant oils, which can significantly improve operational efficiency in engines[24]. These additives can quickly infiltrate friction zones, preventing direct contact between the friction surfaces. Furthermore, on surfaces subjected to wear due to friction, these complexes generally form or lead to the creation of a shielding layer. Inspired by the common utilization of zinc dialkyl dithiophosphate (ZDDP) in lubricants due to its remarkable wear resistance properties, a coordination polymer of zinc(Ⅱ) was incorporated into a synthetic lubricant based on PAO10, with a kinematic viscosity of 10.1 mm2·s-1 when measured at 100 ℃, to evaluate its wear resistance features.

    Fig. 12 illustrates the relationships between the friction coefficient and sliding duration for the PAO10 and 1/PAO10 samples at 25 ℃. At the beginning, the friction coefficients for both samples remained relatively consistent, situated around 0.08 to 0.09. As time continued to advance, the PAO10 sample displayed a notable rise in its friction coefficient beginning at approximately 1 350 s, subsequently accompanied by varying degrees of change. In contrast, the observed friction coefficient of 1/PAO10 demonstrated a consistent level over the specified duration. This implies that the addition of complex 1 effectively reduces the friction coefficient found in the lubricating oil, suggesting its possible application as an additive in lubrication materials.

    Figure 12

    Figure 12.  Friction coefficient-sliding time curves for PAO10 and 1/PAO10

    To conclude, three complexes involving Zn(Ⅱ), Ni(Ⅱ), and Cd(Ⅱ) have been developed using a terphenyl-tricarboxylate ligand. These complexes exhibit diverse structural forms, including 0D, 1D, or 3D arrangements. Complex 1 demonstrated notable catalytic performance in the Knoevenagel condensation process at ambient temperature. Additionally, complex 1 demonstrated significant performance in reducing wear in PAO10, indicating its promising role as an additive in lubricants.


    Supporting information is available at http://www.wjhxxb.cn
    1. [1]

      GONG W, CHEN Z J, DONG J Q, LIU Y, CUI Y. Chiral metal-organic frameworks[J]. Chem. Rev., 2022, 122(9): 9078-9144 doi: 10.1021/acs.chemrev.1c00740

    2. [2]

      GLASBY L T, CORDINER J L, COLE J C, MOGHADAM P Z. Topological characterization of metal-organic frameworks: A perspective[J]. Chem. Mat., 2024, 36(19): 9013-9030 doi: 10.1021/acs.chemmater.4c00762

    3. [3]

      CHAKRABORTY G, PARK I H, MEDISHETTY R, VITTAL J J. Two-dimensional metal-organic framework materials: Synthesis, structures, properties and applications[J]. Chem. Rev., 2021, 121(7): 3751-3891 doi: 10.1021/acs.chemrev.0c01049

    4. [4]

      ZHENG J, LU Z, WU K, NING G H, LI D. Coinage-metal-based cyclic trinuclear complexes with metal-metal interactions: Theories to experiments and structures to functions[J]. Chem. Rev., 2020, 120(17): 9675-9742 doi: 10.1021/acs.chemrev.0c00011

    5. [5]

      GU J Z, LU W G, JIANG L, ZHOU H C, LU T B. 3D porous metal-organic framework exhibiting selective adsorption of water over organic solvents[J]. Inorg. Chem., 2007, 46(15): 5835-5837 doi: 10.1021/ic7004908

    6. [6]

      DEBSHARMA K, DUTTA S B, DEY S, SINHA C. Metal-organic coordination polymers: A review of electrochemical sensing of environmental pollutants[J]. Cryst. Growth Des., 2024, 24(10): 6503-6530

    7. [7]

      ALSHARABASY A M, PANDIT A, FARRAS P. Recent advances in the design and sensing applications of hemin/coordination polymer-based nanocomposites[J]. Adv. Mater., 2021, 33(2): 2003883 doi: 10.1002/adma.202003883

    8. [8]

      GU Y F, ZHENG J J, OTAKE K I, SHIVANNA M, SAKAKI S, YOSHINO H, OHBA M, KAWAGUCHI S, WANG Y, LI F T, KITAGAWA S. Host-guest interaction modulation in porous coordination polymers for inverse selective CO2/C2H2 separation[J]. Angew. Chem.‒Int. Edit., 2021, 60(21): 11688-11694 doi: 10.1002/anie.202016673

    9. [9]

      ZHAO X, WANG Y X, LI D S, BU X H, FENG P Y. Metal-organic frameworks for separation[J]. Adv. Mater., 2018, 30(37): 1705189 doi: 10.1002/adma.201705189

    10. [10]

      CHAUHAN N P S, PERUMAL P, CHUNDAWAT N S, JADOUN S. Achiral and chiral metal-organic frameworks (MOFs) as an efficient catalyst for organic synthesis[J]. Coord. Chem. Rev., 2025, 533: 216536 doi: 10.1016/j.ccr.2025.216536

    11. [11]

      WEI Y S, ZHANG M, ZOU R Q, XU Q. Metal-organic framework-based catalysts with single metal sites[J]. Chem. Rev., 2020, 120(21): 12089-12174 doi: 10.1021/acs.chemrev.9b00757

    12. [12]

      GU J Z, WEN M, CAI Y, SHI Z F, NESTEROV D S, KIRILLOVA M V, KIRILLOV A M. Cobalt(Ⅱ) coordination polymers assembled from unexplored pyridine-carboxylic acids: Structural diversity and catalytic oxidation of alcohols[J]. Inorg. Chem., 2019, 58(9): 5875-5885 doi: 10.1021/acs.inorgchem.9b00242

    13. [13]

      梅震中, 王鸿宇, 亢秀琪, 邵永亮, 顾金忠. 包含四羧酸配体的配位聚合物的合成及其催化性质[J]. 无机化学学报, 2024, 40(9): 1795-1802MEI Z Z, WANG H Y, KANG X Q, SHAO Y L, GU J Z. Syntheses and catalytic performances of three coordination polymers with tetracarboxylate ligands[J]. Chinese J. Inorg. Chem., 2024, 40(9): 1795-1802

    14. [14]

      WANG Y J, WANG S Y, ZHANG Y, XIA B, LI Q W, WANG Q L, MA Y. Two zinc coordination polymers with photochromic behaviors and photo-controlled luminescence properties[J]. CrystEngComm, 2020, 22(31): 5162-5169 doi: 10.1039/D0CE00725K

    15. [15]

      JEONG A R, SHIN J W, JEONG J H, JEOUNG S, MOON H R, KANG S, MIN K S. Porous and nonporous coordination polymers induced by pseudohalide ions for luminescence and gas sorption[J]. Inorg. Chem., 2020, 59(21): 15987-15999 doi: 10.1021/acs.inorgchem.0c02503

    16. [16]

      ZHANG Q L, XIONG Y, LIU J Q, ZHANG T T, LIU L L, HUANG Y W. Porous coordination/covalent hybridized polymers synthesized from pyridine-zinc coordination compound and their CO2 capture ability, fluorescence and selective response properties[J]. Chem. Commun., 2018, 54(85): 12025-12028 doi: 10.1039/C8CC05930F

    17. [17]

      CHEN Y, KANG X Q, WANG H Y, GU J Z, AZAM M. Co(Ⅱ), Ni(Ⅱ), Mn(Ⅱ) and Cd(Ⅱ) coordination polymers constructed with tetracarboxylic linker: Syntheses, structural investigation and catalytic application[J]. Cryst. Growth Des., 2025, 25(2): 347-358 doi: 10.1021/acs.cgd.4c01394

    18. [18]

      CHENG X Y, GUO L R, WANG H Y, GU J Z, YANG Y, KIRILLOVA M V, KIRILLOV A M. Coordination polymers from biphenyl-dicarboxylate linkers: Synthesis, structural diversity, interpenetration, and catalytic properties[J]. Inorg. Chem., 2022, 61(32): 12577-12590 doi: 10.1021/acs.inorgchem.2c01488

    19. [19]

      WEI L Q, CHEN Q, TANG L L, ZHUANG C, ZHU W R, LIN N. A porous metal-organic framework with a unique hendecahedron-shaped cage: Structure and controlled drug release[J]. Dalton Trans., 2016, 45(9): 3694-3697 doi: 10.1039/C5DT04379D

    20. [20]

      WEI L Q, LI Y, MAO L Y, CHEN Q, LIN N. A series of porous metal organic frameworks with hendecahedron cage: Structural variation and drug slow release properties[J]. J. Solid State Chem., 2018, 257: 58-63 doi: 10.1016/j.jssc.2017.09.021

    21. [21]

      ZHANG X T, CHEN H T, LIU G Z, LI B, LIU X Z. Assembly of one novel coordination polymer built from rigid tricarboxylate ligand and bis(imidazole) linker: Synthesis, structure, and fluorescence sensing property[J]. Inorg. Chem. Commun., 2018, 96: 139-144 doi: 10.1016/j.inoche.2018.04.012

    22. [22]

      WEI L Q, YE B H. Efficient conversion of CO2 via grafting urea group into a Cu2(COO)4-based metal-organic framework with hierarchical porosity[J]. Inorg. Chem., 2019, 58(7): 4385-4393 doi: 10.1021/acs.inorgchem.8b03525

    23. [23]

      LOUZADA L D T, BATALHA P N, DE ALMEIDA F B. Coordination polymers as catalysts in Knoevenagel condensation‒A critical review analysis under synthesis conditions and green chemistry[J]. Cryst. Growth Des., 2025, 25(5): 1708-1723 doi: 10.1021/acs.cgd.5c00033

    24. [24]

      WANG J H, ZHUANG W P, LIANG W F, YAN T T, LI T, ZHANG L X, LI S. Inorganic nanomaterial lubricant additives for base fluids, to improve tribological performance: Recent developments[J]. Friction, 2022, 10(5): 645-676 doi: 10.1007/s40544-021-0511-7

  • Figure 1  Drawing of the asymmetric unit of complex 1 with 30% probability thermal ellipsoids

    H atoms and lattice water molecules are omitted for clarity; Symmetry code: A: -x+1, y+1/2, -z+1/2.

    Figure 2  Coordination modes of Htpta2-/tpta3- ligands

    Figure 3  One-dimensional metal-organic chain viewed along the a-axis

    Figure 4  Topological representation of a chain with 2C1 topology viewed along the a-axis

    Figure 5  Drawing of the asymmetric unit of complex 2 with 30% probability thermal ellipsoids: (a) [Ni(H2biim)2(H2O)2]2+ cation, (b) [Ni(tpta)(H2biim)2(H2O)]- anion

    Figure 6  Two-dimensional supramolecular network viewed along the a-axis

    Figure 7  Drawing of the asymmetric unit of complex 3 with 30% probability thermal ellipsoids

    H atoms and lattice water molecules are omitted for clarity; Symmetry codes: A: -x+2, -y, -z+2; B: -x+2, -y, -z+1; C: x, y-1, z; D: -x-1, -y+1, -z+1.

    Figure 8  Cd2 unit of complex 3

    Figure 9  Three-dimensional metal-organic framework viewed along the b-axis

    Figure 10  Topological representation of a 4, 5-connected framework with a sql topology viewed along the b-axis

    Figure 11  TGA curves of complexes 1-3

    Scheme 1  Zn-catalyzed the Knoevenagel condensation reaction of benzaldehyde with malononitrile (model substrate)

    Figure 12  Friction coefficient-sliding time curves for PAO10 and 1/PAO10

    Table 1.  Catalyzed the Knoevenagel condensation reaction of benzaldehyde with malononitrile

    Entry Catalyst Time / min xcat / % Solvent Yield* / %
    1 1 10 2.0 CH3OH 53
    2 1 20 2.0 CH3OH 72
    3 1 30 2.0 CH3OH 83
    4 1 40 2.0 CH3OH 90
    5 1 50 2.0 CH3OH 95
    6 1 60 2.0 CH3OH 100
    7 1 60 2.0 H2O 98
    8 1 60 2.0 C2H5OH 96
    9 1 60 2.0 CH3CN 87
    10 1 60 2.0 CHCl3 66
    11 1 60 1.0 CH3OH 93
    12 2 60 2.0 CH3OH 88
    13 3 60 2.0 CH3OH 86
    14 Blank 60 CH3OH 20
    15 ZnCl2 60 2.0 CH3OH 31
    16 H3tpta 60 2.0 CH3OH 28
    * The yield (Y) was calculated by 1H NMR spectroscopy: Y=nproduct/naldehyde×100%.
    下载: 导出CSV

    Table 2.  Knoevenagel condensation of various aldehydes with malononitrile catalyzed by complex 1a

    Entry Substituted benzaldehyde substrate (R-C6H4CHO) Yieldb / %
    1 R=H 100
    2 R=2-NO2 100
    3 R=3-NO2 100
    4 R=4-NO2 100
    5 R=4-Cl 100
    6 R=4-OH 43
    7 R=4-CH3 96
    8 R=4-OCH3 74
    a Reaction conditions: aldehyde (0.5 mmol), malononitrile (1.0 mmol), catalyst 1 (2.0%), and CH3OH (1.0 mL) at 25 ℃; b Calculated by1H NMR spectroscopy.
    下载: 导出CSV
  • 加载中
计量
  • PDF下载量:  1
  • 文章访问数:  1444
  • HTML全文浏览量:  131
文章相关
  • 发布日期:  2026-01-10
  • 收稿日期:  2025-05-13
  • 修回日期:  2025-09-29
通讯作者: 陈斌, bchen63@163.com
  • 1. 

    沈阳化工大学材料科学与工程学院 沈阳 110142

  1. 本站搜索
  2. 百度学术搜索
  3. 万方数据库搜索
  4. CNKI搜索

/

返回文章