Nd-Co多核配合物的电催化水氧化性能

赖安群 吴荞宇 梁晴晴 李奇勇 董国文 丁勇杰 陈佳楠 闫卿 潘中华 肖旺钏

引用本文: 赖安群, 吴荞宇, 梁晴晴, 李奇勇, 董国文, 丁勇杰, 陈佳楠, 闫卿, 潘中华, 肖旺钏. Nd-Co多核配合物的电催化水氧化性能[J]. 无机化学学报, 2025, 41(12): 2527-2535. doi: 10.11862/CJIC.20250151 shu
Citation:  Anqun LAI, Qiaoyu WU, Qingqing LIANG, Qiyong LI, Guowen DONG, Yongjie DING, Jia′nan CHEN, Qing YAN, Zhonghua PAN, Wangchuan XIAO. Electrocatalytic water oxidation properties of Nd-Co polynuclear complexes[J]. Chinese Journal of Inorganic Chemistry, 2025, 41(12): 2527-2535. doi: 10.11862/CJIC.20250151 shu

Nd-Co多核配合物的电催化水氧化性能

    通讯作者: 潘中华, zhpan@fjsmu.edu.cn; 肖旺钏, xwc@fjsmu.edu.cn
  • 基金项目:

    福建省自然科学基金 2024J01313

    福建省自然科学基金 2025J011045

    福建高校产学合作项目 2023H6021

    三明市重大科技创新平台科研专项 2024-G-004

    河南科技攻关项目 242102520035

    三明学院引高项目 23YG06

摘要: 利用2-氨基异丁酸(Haib)和吡啶(py)作为配体,通过分层扩散法合成了一种异金属多核配合物[NdCo6(py)6(aib)6(μ3-O)3(NO3)3]·H2O (NdCo6-py)。该多核金属配合物的金属中心Nd3⁺被2个Co3三角形包裹,整体上呈现三棱柱笼状结构。对其电催化水氧化性能进行了研究。结果表明,NdCo6-py在1.60 V(vs NHE)时催化水氧化的周转频率(TOF)达到279 s⁻1,法拉第效率为92.6%,具有较强的水氧化催化活性。其出色的电催化性能归因于NdCo6-py中易于暴露的双金属协同催化活性位点,避免了高价金属中间体的形成,显著降低了反应过电势。该结果证明了多金属协同催化策略在调控O—O键形成方式上的有效性。

English

  • 经济发展长期以来对传统化石能源的依赖导致煤炭、石油、天然气等不可再生能源过度使用,由此造成的生态危机和能源紧缺等问题正给人类的生存和发展造成巨大的威胁,因此,寻找适合的清洁可再生能源替代传统化石燃料是目前社会发展最为迫切的需求之一[1]。氢能由于自身能量密度高、能量转换效率高以及环境友好性,被视为最有前景的可再生清洁能源[2-4]。通过水分解获取氢气是最为高效环保的方式,但由于水分解反应中的水氧化步骤存在较大的热力学势垒[5],而且涉及了多质子耦合电子转移(proton-coupling electron transfer,PCET)过程[6-8],要想突破利用电解水大规模制氢的瓶颈,必须设计开发高效稳定低成本的水氧化催化剂。受到自然界中光系统Ⅱ(PSⅡ)中天然析氧中心(OEC)上的{CaMn4O5}活性单元的启发,人们把目光投向了设计多核金属团簇来作为水氧化催化剂。通过这些年对{CaMn4O5}活性中心催化水氧化的构效关系以及反应机理的大量研究,尽管对反应过程中的影响因素还未完全阐明,但在水氧化分子催化剂设计方面已经取得了许多进展[9-10]

    以贵金属Ru和Ir为基础的水氧化催化剂在近几十年来得到了很好的发展,并开发出了具有良好活性的分子催化剂[11]。以往报道的一些贵金属基水氧化催化剂大多数为单核或者双核结构,受限于其稀缺性和高成本,高核贵金属催化剂的合成和制备极具挑战[12]。作为替代,近年来人们把目光聚焦于过渡金属上[13],设计合成具有精确氧化还原活性位点的多核过渡金属配合物作为水氧化催化剂,但是催化效率和稳定性问题的存在一定程度上限制了其发展和应用[14-15]。随着纳米材料领域的发展和进步,水氧化催化剂的种类也得到了拓宽,不再局限于纯过渡金属配合物,稀土-过渡金属团簇因稀土金属元素轨道电子排布的独特性、组成的复杂性和结构与性质的多样性,具有灵活可调的催化性能,也被认为是一种潜在的水氧化催化剂[16]

    从Gateschi等[17]报道的第一例稀土-过渡金属钆铜配合物开始,经过这几十年的发展,稀土-过渡金属团簇因其独特的化学性质而受到科研人员的广泛研究和关注[18]。稀土金属元素具有特殊的4f/5d价电子结构,其配位数的可变性决定了它们具有独特的性质[19]。其中的镧系稀土金属具有相似的最外层和次外层电子结构,使稀土元素具有化学性质稳定、化学价态可变、配位形式多样等特点[20],另外特有的镧系收缩特点也影响了其与配体之间的配位成键,因此稀土掺杂的多金属团簇通常表现出特殊的光电特性和催化性能[21-22],在多个领域具有潜在的应用价值[23]

    相比于传统的单核金属配合物和纯过渡金属配合物,掺杂稀土金属元素的多金属配合物不仅拥有能显著促进催化效率的多金属协同催化作用,也会对电子结构和催化活性产生独特的影响,从而显示出优异的水氧化催化性能[24]。Evangelisti等[25]报道了一种掺杂稀土元素的多核立方烷型催化剂[Co3Ln(hmp)4(OAc)5H2O]({Co3Ln(OR)4},Ln=Ho~Yb,hmp=2-(羟甲基)吡啶),通过将具有OEC类似物结构的过渡金属配合物和稀土金属相结合,增强了催化剂的活性和稳定性的同时,也提升了水氧化催化性能。在可见光照射下进行水氧化性能测试,最大周转数(TON)和周转频率(TOF)分别为211和9 s-1,电催化测试显示催化电位大约在1.1 V左右,并且具有不同稀土金属的配合物催化电位略有差异。他们结合谱图分析表征和理论计算证明了含有稀土的金属配合物能在高效催化水氧化的同时保持稳定性。稀土-过渡金属团簇的稳定性不仅因稀土掺杂而提高[26-27],不同类型金属间的协同作用也大大拓展了它的催化应用范围。因此,开发新型稀土-过渡金属多核配合物作为水氧化催化剂是非常有前景的。

    稀土-过渡金属多核配合物因其独特的电子结构、丰富的活性位点、多样的几何配位构型以及结构灵活性和可调性,在能源催化领域表现出优异的性能。由于具有多金属催化位点,稀土-过渡金属多核配合物在高效催化水氧化领域显示出巨大潜力。在本研究中,我们以2-氨基异丁酸(Haib)和吡啶(py)为配体,合成了一种具有三棱柱构型的稀土-过渡金属多核配合物[NdCo6(py)6(aib)6(μ3-O)3(NO3)3]·H2O (NdCo6-py),利用单晶X射线衍射、元素分析、红外光谱和紫外可见光谱等手段对配合物的组成和结构进行了表征,并对NdCo6-py在电催化水氧化反应中的催化性能和反应机理进行了探究。

    Nd(NO3)3·6H2O、Co(ClO4)2·6H2O、Haib和py购自上海麦克林生化科技股份有限公司。冰醋酸购自西陇科学股份有限公司。三乙胺和醋酸钠购自上海阿拉丁生化科技股份有限公司。甲醇和无水乙醚等溶剂购自国药集团化学试剂有限公司。超干乙腈购自安耐吉(上海)医药化学有限公司。高氯酸四乙基胺(Et4NClO4)购自梯希爱(上海)化成工业发展有限公司。所有试剂均为分析纯试剂,未经纯化而直接使用。

    粉末X射线衍射(PXRD)数据由Rigaku Vltima Ⅳ型X射线衍射仪测试得到,测试条件:Cu 靶,λ=0.154 184 nm,电压40 kV,电流40 mA,2θ=5°~60°。晶体数据是在Rigaku SuperNova X射线单晶衍射仪上收集(在100 K下使用石墨单色Cu 辐射,λ=0.154 184 nm),使用多扫描程序SADABS进行吸收校正,结构通过直接法(SHELXTL ver. 5.10)求解。热重分析(TGA)采用METTLER TOLEDO TGA2(SF)热重分析仪。X射线光电子能谱(XPS)测试采用Thermo ScientificK-Alpha XPS测试仪。紫外可见吸收光谱(UV-Vis)的测试是在岛津UV2550紫外可见分光光度计上进行的。红外光谱(IR)通过岛津傅里叶变换红外光谱仪IRTracer-100进行测试。电化学测试是在电化学工作站(CHI660E,上海辰华)上进行的。

    将Co(ClO4)2·6H2O(2 mmol,732 mg)、Nd(NO3)3·6H2O(1 mmol,866 mg)和Haib(2 mmol,206 mg)在甲醇(20 mL)中搅拌5 min,形成淡粉色溶液。随后加入过量的三乙胺溶液(4 mmol),继续搅拌30 min,再加入2 mmol的py,搅拌30 min,将溶液过滤后分装至样品瓶中,用相同体积的无水乙醚进行分层扩散。静置10 min左右在壁上形成紫粉色的微晶,1周左右形成大块紫红色晶体。产率约为42%(以Nd(NO3)3为基准)。元素分析按C54H80Co6N15NdO25计算的理论值(%):C,35.30;H,4.39;N,11.44。实验值(%):C,35.36;H,4.34;N,11.51。部分IR数据(cm-1):3 718(w),3 595(w),3 115(m),2 345(s),1 597(m),1 435(w),1 303(w),1 095(m),684(m)

    电化学测试在装有三电极体系的电解池中进行。采用真空干燥除去晶体中存在的少量易挥发有机溶剂后,将样品(以摩尔质量1 837.15 g·mol-1计算物质的量浓度)溶于醋酸-醋酸钠缓冲液或超干乙腈中分别进行测试。使用电化学工作站(CHI660E)在室温条件下通过循环伏安法(cyclic voltammetry,CV)、差分脉冲伏安法(differential pulsed voltammetry,DPV)、线性扫描伏安法(linear sweep voltammetry,LSV)和控制电位电解法(controlled potential electrolysis,CPE)等方法对样品的电催化性能进行详细研究[28-30]

    参考文献的方法[31],利用Nd(NO3)3·6H2O和Co(ClO4)2·6H2O结合Haib和py配体在甲醇中合成了配合物NdCo6-py。采用乙醚分层扩散至NdCo6-py的甲醇溶液得到了晶体。通过单晶X射线衍射成功测定了所得晶体的结构,NdCo6-py的晶体数据以及选定的部分键长键角数据见表S1~S3(Supporting information)。NdCo6-py展现出三棱柱状构型,其金属核心由中心Nd3+通过O与3个Co2结构紧密相连,构成[NdCo6]结构(图 1)。该金属核心包含2个等边的Co2+三角形,共同形成了一个将Nd3+封装在内的三棱柱。从晶体结构来看,NdCo6-py中Co2+周围形成[O5N]配位球,展现出扭曲的八面体构型。而Nd3+则展现出[O9]配位球,形成三帽三棱柱形的几何构型。该结构中,Co2+与Nd3+之间的距离约为0.35 nm,Nd3+离子位于整个结构的中心位置。三棱柱中的2个Co2+三角形几乎等边,Co…Co之间的距离约为0.54 nm。2个Co2+三角形间距约为0.34 nm,足以将Nd3+离子完全包裹在结构内部。NdCo6-py配合物显示出一种独特的笼状特征,主要功能是将Nd3+中心稳定地固定在结构之中。

    图 1

    图 1.  NdCo6-py的(a) 晶体结构和(b) 核心结构
    Figure 1.  (a) Crystal structure and (b) core structure of NdCo6-py

    Nd, pink; Co, green; O, red; N, blue; C, gray; All H atoms are omitted for clarity.

    为确定NdCo6-py的纯度,对样品进行了PXRD测试。得到的PXRD图与单晶结构模拟图一致,证明了NdCo6-py晶体具有较高的相纯度(图 2a)。为了辅证单晶结构数据解析结果,对样品进行了红外光谱表征(图 2b),图中在1 400和1 600 cm-1附近出现的伸缩振动峰以及1 100 cm-1附近的变形振动峰归属于吡啶环上的C=C键、C=N键和C—H键,而3 100 cm-1附近的中等强度的伸缩振动峰则归属于py和Haib上的C—H键,这表明了具有2种配体的NdCo6-py的成功合成[32-33]。TGA结果表明配合物在室温到230 ℃之间缓慢失重,这与晶体中吸附的溶剂分子和结晶水的失去相关;230 ℃之后配合物结构框架开始缓慢坍塌(图S1)[33]。XPS测试结果(图 2c2d、S2)证明了NdCo6-py中的钴为Co2+。对合成的NdCo6-py在醋酸钠-醋酸缓冲液(pH=6)中的UV-Vis吸收光谱进行了收集。从UV-Vis光谱(图S3a~S3c)观察到在526 nm出现Co2+d-d特征跃迁峰,而372 nm附近吸光度与浓度间良好的线性关系则说明配合物在醋酸钠-醋酸缓冲液中的稳定性。

    图 2

    图 2.  NdCo6-py的(a) PXRD图、(b) 在400~4 000 cm-1的IR谱图、(c) XPS全谱图和(d) Co2p的局部谱图
    Figure 2.  (a) PXRD patterns, (b) IR spectrum in a range of 400-4 000 cm-1, (c) XPS survey spectrum, and (d) local spectrum of Co2p of NdCo6-py

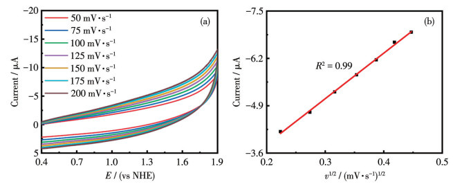
    分别在超干乙腈(含有0.1 mol·L-1的Et4NClO4)和醋酸钠-醋酸缓冲液中,通过CV和DPV研究了NdCo6-py的氧化还原特性。NdCo6-py在乙腈溶液中的CV曲线在1.50 V(vs NHE)后呈现出不可逆的氧化过程(图 3a),氧化电流与扫描速率的平方根呈线性关系(图 3b),表明氧化过程受扩散控制。为进一步验证NdCo6-py在非催化水氧化状态下的氧化还原特性,测试了NdCo6-py的乙腈溶液中加入不同浓度的水后的CV和DPV曲线(图 4a4b)。CV曲线在1.50 V(vs NHE)左右出现了明显的阳极肩峰,随反应体系中水浓度增加,催化氧化峰电流持续上升,这也印证了水氧化的发生。观察DPV曲线发现随着水的浓度的上升,氧化电位不断负移,这表明配合物在催化反应过程中与水的配位有助于降低氧化起始电位。

    图 3

    图 3.  0.25 mmol·L-1NdCo6-py在超干乙腈中的(a) 不同扫速下的CV曲线; (b) 1.50 V时氧化峰电流和扫速平方根的关系图
    Figure 3.  (a) CV curves with different scan rates and (b) plot for the relation of the oxidative peak current and the square root of the scan rate at 1.50 V of 0.25 mmol·L-1 NdCo6-py in superdry acetonitrile

    图 4

    图 4.  NdCo6-py在乙腈(含0.1 mol·L-1的Et4NClO4)中加入不同浓度水后的(a) CV和(b) DPV曲线
    Figure 4.  (a) CV and (b) DPV curves of NdCo6-py in acetonitrile (containing 0.1 mol·L-1 Et4NClO4) after the addition of different concentrations of water

    将超干乙腈替换成醋酸钠-醋酸缓冲液后,CV曲线(图 5a)在1.65 V(vs NHE)处出现了显著提升的催化电流,并在电极表面观察到气泡的产生,以上现象表明了水氧化反应的进行[34]。相较于乙腈溶液,NaOAc-HAc缓冲溶液中的DPV曲线在1.50 V(vs NHE)出现电流强度更大的氧化峰(图 5b),与CV曲线显示的结果一致,进一步说明了水氧化的发生。

    图 5

    图 5.  0.25 mmol·L-1NdCo6-py在醋酸钠-醋酸缓冲液(pH=6)和超干乙腈中的(a) CV和(b) DPV曲线
    Figure 5.  (a) CV and (b) DPV curves of 0.25 mmol·L-1 NdCo6-py in sodium acetate-acetate buffer (pH=6) and superdry acetonitrile

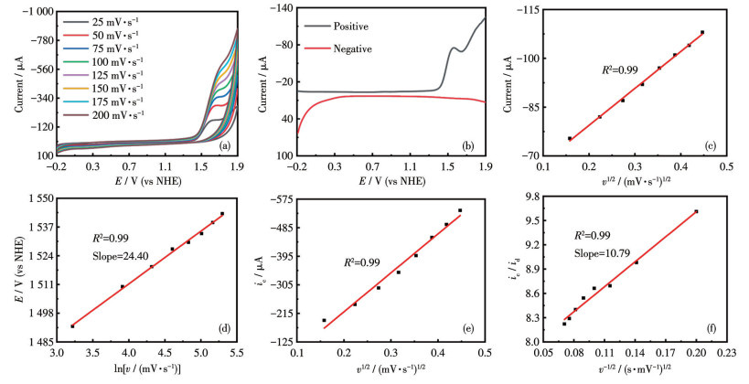
    为了进一步探究NdCo6-py催化水氧化的反应机理,测试了NdCo6-py在醋酸钠-醋酸缓冲液(pH=6)中随扫描速度变化的CV曲线(图 6a),同时也收集了不同扫描方向的DPV曲线(图 6b)。从DPV图可以看出NdCo6-py在1.50 V(vs NHE)处存在一个不可逆的氧化峰,在CV图相应的位置也看到对应的氧化峰,由扩散电流方程(Eq.S3)可知扩散电流与扫速平方根成线性关系[35],将半波电位E1/2(1.45 V)对应的峰电流和扫速平方根进行线性拟合(图 6c),发现峰电流线性依赖于扫描速度的平方根,符合扩散电流方程,因此NdCo6-py催化水氧化的过程是由扩散电流控制的。

    图 6

    图 6.  0.25 mmol·L-1NdCo6-py在醋酸钠-醋酸缓冲液(pH=6)中(a) 不同扫速下的CV曲线; (b) 不同扫描方向的DPV曲线; (c) E1/2=1.45 V时氧化峰电流和扫速平方根的关系图; (d) 1.50 V(vs NHE)处阳极肩峰的半峰电位Ep, 1/2和ln v的线性关系图; (e) 1.60 V(vs NHE)处的催化峰电流与扫速平方根的关系图; (f) 1.60 V(vs NHE)处催化峰电流与1.40 V(vs NHE)处扩散电流比值(ic/id)与v-1/2的关系图
    Figure 6.  (a) CV curves with different scan rates, (b) DPV curves in different scanning directions, (c) plot of the oxidative peak current vs the square root of the scan rate at E1/2=1.45 V, (d) linear plot of Ep, 1/2 of the anode peak at 1.50 V (vs NHE) and ln v, (e) plot of the catalytic peak current at 1.60 V (vs NHE) vs the square root of the scan rate, (f) plot of the ratio of the catalytic peak current at 1.60 V to the diffusion current at 1.40 V (ic/id) vs v-1/2 of 0.25 mmol·L-1 NdCo6-py in sodium acetate-acetate buffer (pH=6)

    进一步,我们利用Laviron方程(Eq.S2)确定氧化过程涉及的电子转移数nd。由于1.50 V(vs NHE)左右的阳极肩峰难以准确定位,为了确定扩散电流对应的nd,利用半峰电位Ep, 1/2和ln v存在的线性关系[36](图 6d),通过线性拟合得到直线的斜率为RT/ [(1-α)ndF],传递系数α取0.5,计算得到nd=2,因此在1.50 V(vs NHE)处发生了双电子氧化转移过程。另外,1.60 V(vs NHE)处催化峰电流与扫描速度的平方根呈现良好的线性关系(图 6e),进一步说明了水氧化反应是由扩散过程控制的[37]。通过以上分析,我们可以确定合成的NdCo6-py中2个Co离子可视为等效的单电子反应基团[38],1.50 V(vs NHE)处的双电子氧化转移过程可以分配给NdCo6/NdCo4Co2氧化反应对,1.50 V(vs NHE)后的不可逆氧化过程表明了水氧化过程的发生,说明NdCo6-py具有催化水氧化性能。

    通过醋酸钠-醋酸缓冲溶液中不同NdCo6-py浓度下的CV和DPV曲线(图S4a和S4b),我们发现催化电流icNdCo6-py浓度间具有良好的线性关系(图S4c),这说明我们可以用准一级速率反应方程(Eq.S3~S5)来计算NdCo6-py催化水氧化的催化速率kcat。根据催化峰电流和扩散电流比值ic/idv-1/2线性拟合直线的斜率(图 6f),计算出NdCo6-py在1.60 V(vs NHE)处的kcat,即为催化剂的TOF,为279 s-1,表明合成的NdCo6-py具有较强的水氧化催化活性。

    通过氧化铟锡(ITO)电极收集NdCo6-py的LSV曲线(图S5),1.40 V(vs NHE)后显著增加的催化电流证明了水氧化反应的进行,达到1 mA·cm-2所需的电势为1.53 V(vs NHE),过电势为654 mV。为了考察氧气的产生,利用气密性双隔室电解池(阴极室和阳极室由Nafion膜隔开),在1.60 V(vs NHE)处进行3 h的CPE实验(图 7a7b)。电解结束后,用气相色谱法检测产生的氧气约为12.6 μmol,法拉第效率为92.6%(Eq.S1),更重要的是还检测到产生的H2和O2的比例为2∶1(图S6),验证了水分解反应的发生[39]

    图 7

    图 7.  NdCo6-py在醋酸钠-醋酸缓冲液(pH=6)中电解3 h的(a) 电量-时间关系图和(b) 产氧量
    Figure 7.  (a) Relation of quantity of electric charge and time, and (b) oxygen production of NdCo6-py electrolyzed in sodium acetate-acetate buffer (pH=6) for 3 h

    在空白实验、无机盐实验和电极冲洗实验(图S7a~S7c)中均未发现明显的催化电流产生,这一结果证实了催化活性来源于配合物本身,而不是其分解产物。进一步,我们对NdCo6-py在电解过程中的稳定性进行了探究(图S8a和S8b)。CPE实验前后的CV曲线和电解实验前后的UV-Vis光谱图均未发生明显变化,这些都表明了NdCo6-py在催化过程中的完整性和稳定性,也证明了是在均相条件下进行催化水氧化的[40]

    为了进一步探究NdCo6-py催化水氧化的机理,我们利用DPV测试了NdCo6-py在不同pH的醋酸钠-醋酸缓冲溶液中的催化性能的变化(图 8a)。从图中可看出随pH减小,1.50 V(vs NHE)附近的氧化峰的峰电位不断增加,这说明反应过程涉及PCET[41]。峰电位的变化表明了在不同pH条件下NdCo6-py的催化水氧化活性存在差异,总体上随pH的增加,催化峰电位不断负移。对氧化峰电位和pH进行线性拟合,得到NdCo6-py在醋酸钠-醋酸缓冲溶液中的Pourbaix图(图 8b),发现在1.50 V附近的氧化电位随pH变化的斜率约为-58 mV,符合2e-/2H+ PCET过程(能斯特理论值为-59 mV)[42],对应了催化水氧化过程的NdCo6/NdCo4Co2氧化反应对。结合电化学实验结果和具有相似结构的配合物的催化机理报道[33, 43-44],我们提出了在弱酸条件下NdCo6-py催化水氧化的可能机理(图 9)。如图所示,催化水氧化过程起始于NdCo6-py上的双金属反应位点[Co2(NO3)]。首先,NO3-解离并与H2O配位,形成催化循环的起始物种[Co2+-OH2-Co2+]。随后经历一次2e-/2H+的PCET过程,转变为中间体[Co3+-O-Co3+]。接着该中间体受到另一H2O分子的亲核攻击,生成[(Co3+-O)(Co3+-H2O)]中间体。然后,再通过另一次2e-/2H+的PCET过程氧化,形成含有O—O键的[Co3+-O-O-Co3+]单元。最后释放出O2,并与一分子水配位,从而恢复到起始状态,完成整个催化循环。

    图 8

    图 8.  在醋酸钠-醋酸缓冲溶液中, 0.25 mmol·L-1NdCo6-py在不同pH下的(a) DPV曲线和(b) Pourbaix图
    Figure 8.  (a) DPV curves and (b) Pourbaix diagram of 0.25 mmol·L-1 NdCo6-py in sodium acetate-acetate buffer at different pH values

    图 9

    图 9.  NdCo6-py催化水氧化的反应机理图
    Figure 9.  Diagram of the reaction mechanism of water oxidation catalyzed by NdCo6-py

    本研究合成了一种新型异金属多核配合物NdCo6-py,结构表征显示其是由3个[NdCo2O2]单元构筑而成的三棱柱构型。电化学测试表明该配合物在均相条件能高效催化水氧化,TOF达到279 s-1,与天然钙锰簇的催化活性(100~400 s-1)相当,具有较高的催化水氧化活性。机理研究表明,[Co2+-OH2-Co2+]活性位点经过2次2e-/2H+的PCET过程实现了O—O键的形成。此外,NdCo6-py中可调控的金属中心和灵活的外围配体设计,为开发类似稀土掺杂的过渡金属多核配合物提供了重要参考。本研究不仅揭示了稀土-过渡金属多核配合物的组成结构与其催化水氧化活性之间的构效关系,也为簇基水氧化催化剂设计提供了新思路。


    Supporting information is available at http://www.wjhxxb.cn
    1. [1]

      WULF C, HAASE M, BAUMANN M, ZAPP P. Weighting factor elicitation for sustainability assessment of energy technologies[J]. Sustain. Energ. Fuels, 2023, 7(3):  832-847. doi: 10.1039/D2SE01170K

    2. [2]

      FU H, WU Y Q, GUO Y H, SAKURAI T, ZHANG Q Q, LIU Y Y, ZHENG Z K, CHENG H F, WANG Z Y, HUANG B B, WANG Q, DOMEN K, WANG P. A scalable solar-driven photocatalytic system for separated H2 and O2 production from water[J]. Nat. Commun., 2025, 16(1):  990. doi: 10.1038/s41467-025-56314-x

    3. [3]

      ODENWELLER A, UECKERDT F. An adjusted strategy is needed to ground green hydrogen expectations in reality[J]. Nat. Energy, 2025, 10(1):  19-20.

    4. [4]

      LIN M S, NIE Q B, CHEN J N, LIU Z Y, WU Q Y, LIU X F, LIU C, PAN Z H, XIAO W C, LUO G G. Synthesis, photophysics and photosensitizing hydrogen evolution of a near-infrared heavy-atom-free sensitizer[J]. New J. Chem., 2025, 49(18):  7647-7654. doi: 10.1039/D5NJ00537J

    5. [5]

      YOU B, SUN Y J. Innovative strategies for electrocatalytic water splitting[J]. Accounts Chem. Res., 2018, 51(7):  1571-1580. doi: 10.1021/acs.accounts.8b00002

    6. [6]

      BERARDI S, DROUET S, FRANCàS L, GIMBERT-SURIñACH C, GUTTENTAG M, RICHMOND C, STOLL T, LLOBET A. Molecular artificial photosynthesis[J]. Chem. Soc. Rev., 2014, 43(22):  7501-7519. doi: 10.1039/C3CS60405E

    7. [7]

      HU C L, ZHANG L, GONG J L. Recent progress made in the mechanism comprehension and design of electrocatalysts for alkaline water splitting[J]. Energy Environ. Sci., 2019, 12(9):  2620-2645. doi: 10.1039/C9EE01202H

    8. [8]

      YANG S J, HAN J X, ZHANG W. Proton-coupled electron transfer in electrocatalytic water splitting[J]. Chem. ‒Eur. J., 2023, 29(69):  e202302770. doi: 10.1002/chem.202302770

    9. [9]

      UMENA Y, KAWAKAMI K, SHEN J R, KAMIYA N. Crystal structure of oxygen-evolving photosystem Ⅱ at a resolution of 1.9 Å[J]. Nature, 2011, 473(7345):  55-60. doi: 10.1038/nature09913

    10. [10]

      KANADY J S, TSUI E Y, DAY M W, AGAPIE T. A synthetic model of the Mn3Ca subsite of the oxygen-evolving complex in photosystem Ⅱ[J]. Science, 2011, 333(6043):  733-736. doi: 10.1126/science.1206036

    11. [11]

      LIU X, CAI X, ZHU Y. Catalysis synergism by atomically precise bimetallic nanoclusters doped with heteroatoms[J]. Accounts Chem. Res., 2023, 56(12):  1528-1538. doi: 10.1021/acs.accounts.3c00118

    12. [12]

      NOLL N, KRAUSE A M, BEUERLE F, WÜRTHNER F. Enzyme-like water preorganization in a synthetic molecular cleft for homogeneous water oxidation catalysis[J]. Nat. Catal., 2022, 5(10):  867-877. doi: 10.1038/s41929-022-00843-x

    13. [13]

      DEN BOER D, HETTERSCHEID D G H. Design principles for homogeneous water oxidation catalysts based on first-row transition metals[J]. Curr. Opin. Electrochem., 2022, 35:  101064. doi: 10.1016/j.coelec.2022.101064

    14. [14]

      HAN L, DONG S J, WANG E K. Transition-metal (Co, Ni, and Fe)-based electrocatalysts for the water oxidation reaction[J]. Adv. Mater., 2016, 28(42):  9266-9291. doi: 10.1002/adma.201602270

    15. [15]

      PEI G X, ZHANG L L, SUN X Y. Recent advances of bimetallic nanoclusters with atomic precision for catalytic applications[J]. Coord. Chem. Rev., 2024, 506:  215692. doi: 10.1016/j.ccr.2024.215692

    16. [16]

      LI S, LI N N, DONG X Y, ZANG S Q, MAK T C W. Chemical flexibility of atomically precise metal clusters[J]. Chem. Rev., 2024, 124(11):  7262-7378. doi: 10.1021/acs.chemrev.3c00896

    17. [17]

      BENCINI A, BENELLI C, CANESCHI A, CARLIN R L, DEI A, GATTESCHI D. Crystal and molecular structure of and magnetic coupling in two complexes containing gadolinium(Ⅲ) and copper(Ⅱ) ions[J]. J. Am. Chem. Soc., 1985, 107(26):  8128-8136. doi: 10.1021/ja00312a054

    18. [18]

      ZHENG B Z, FAN J Y, CHEN B, QIN X, WANG J, WANG F, DENG R R, LIU X G. Rare-earth doping in nanostructured inorganic materials[J]. Chem. Rev., 2022, 122(6):  5519-5603. doi: 10.1021/acs.chemrev.1c00644

    19. [19]

      QI M Q, DU M H, KONG X J, LONG L S, ZHENG L S. Electrospray ionization mass spectrometry insights into the assembly of lanthanide-containing clusters[J]. Accounts Chem. Res., 2025, 58(12):  1867-1877. doi: 10.1021/acs.accounts.5c00151

    20. [20]

      CHEN W P, LIAO P Q, JIN P B, ZHANG L, LING B K, WANG S C, CHAN Y T, CHEN X M, ZHENG Y Z. The gigantic {Ni36Gd102} hexagon: A sulfate-templated "star-of-david" for photocatalytic CO2 reduction and magnetic cooling[J]. J. Am. Chem. Soc., 2020, 142(10):  4663-4670. doi: 10.1021/jacs.9b11543

    21. [21]

      JIA T, CHENG P M, ZHANG M X, LIU W D, LI C Y, SU H F, LONG L S, ZHENG L S, KONG X J. Ln/Cu bimetallic nanoclusters with enhanced NIR-Ⅱ luminescence[J]. J. Am. Chem. Soc., 2024, 146(42):  28618-28623. doi: 10.1021/jacs.4c09447

    22. [22]

      DU M H, ZHENG X Y, KONG X J, LONG L S, ZHENG L S. Synthetic protocol for assembling giant heterometallic hydroxide clusters from building blocks: Rational design and efficient synthesis[J]. Matter, 2020, 3(4):  1334-1349. doi: 10.1016/j.matt.2020.06.020

    23. [23]

      PAN Z H, WENG Z Z, KONG X J, LONG L S, ZHENG L S. Lanthanide-containing clusters for catalytic water splitting and CO2 conversion[J]. Coord. Chem. Rev., 2022, 457:  214419. doi: 10.1016/j.ccr.2022.214419

    24. [24]

      LAN T X, GAO W S, CHEN C N, WANG H S, WANG M, FAN Y H. Two tetranuclear 3d-4f heterometal complexes Mn2Ln2 (Ln=Dy, Gd): Synthesis, structure, magnetism, and electrocatalytic reactivity for water oxidation[J]. New J. Chem., 2018, 42(8):  5798-5805. doi: 10.1039/C8NJ00149A

    25. [25]

      EVANGELISTI F, GÜTTINGER R, MORÉ R, LUBER S, PATZKE G R. Closer to photosystem Ⅱ: A Co4O4 cubane catalyst with flexible ligand architecture[J]. J. Am. Chem. Soc., 2013, 135(50):  18734-18737. doi: 10.1021/ja4098302

    26. [26]

      CHEN R, CHEN C L, DU M H, WANG X, WANG C, LONG L S, KONG X J, ZHENG L S. Soluble lanthanide-transition-metal clusters Ln36Co12 as effective molecular electrocatalysts for water oxidation[J]. Chem. Commun., 2021, 57(29):  3611-3614. doi: 10.1039/D0CC08132A

    27. [27]

      CHEN J N, PAN Z H, QIU Q H, WANG C, LONG L S, ZHENG L S, KONG X J. Soluble Gd6Cu24 clusters: Effective molecular electrocatalysts for water oxidation[J]. Chem. Sci., 2024, 15(2):  511-515. doi: 10.1039/D3SC05849B

    28. [28]

      JIANG X, LI J, YANG B, WEI X Z, DONG B W, KAO Y, HUANG M Y, TUNG C H, WU L Z. A bio-inspired Cu4O4 cubane: Effective molecular catalysts for electrocatalytic water oxidation in aqueous solution[J]. Angew. Chem. ‒Int. Edit., 2018, 57(26):  7850-7854. doi: 10.1002/anie.201803944

    29. [29]

      GARRIDO-BARROS P, FUNES-ARDOIZ I, DROUET S, BENET-BUCHHOLZ J, MASERAS F, LLOBET A. Redox non-innocent ligand controls water oxidation overpotential in a new family of mononuclear Cu-based efficient catalysts[J]. J. Am. Chem. Soc., 2015, 137(21):  6758-6761. doi: 10.1021/jacs.5b03977

    30. [30]

      LU C, DU J L, SU X J, ZHANG M T, XU X X, MEYER T J, CHEN Z F. Cu(Ⅱ) aliphatic diamine complexes for both heterogeneous and homogeneous water oxidation catalysis in basic and neutral solutions[J]. ACS Catal., 2016, 6(1):  77-83. doi: 10.1021/acscatal.5b02173

    31. [31]

      CHEN J N, PAN Z H, SUN F L, WU P X, ZHENG S T, ZHUANG G L, LONG L S, ZHENG L S, KONG X J. Tuning electrocatalytic water oxidation activity: Insights from the active-site distance in LnCu6 clusters[J]. Small, 2024, 20(32):  2401044. doi: 10.1002/smll.202401044

    32. [32]

      XIAO W C, NIE Q B, LUO G G. Secondary hierarchical complexity in double-stranded cluster helicates covered by NNNNN type pincer ligands[J]. Dalton Trans., 2023, 52(19):  6239-6243. doi: 10.1039/D3DT00912B

    33. [33]

      CHEN J N, PAN Z H, SUN F L, LI J P, ZHUANG G L, LONG L S, ZHENG L S, KONG X J. Synergistic mechanisms of oxygen evolution reaction in atomically precise LaCo6 clusters with distinct geometries[J]. Sci. China Chem., 2025, 68(5):  1832-1836. doi: 10.1007/s11426-024-2570-y

    34. [34]

      CHEN F F, WANG N, LEI H T, GUO D Y, LIU H F, ZHANG Z Y, ZHANG W, LAI W Z, CAO R. Electrocatalytic water oxidation by a water-soluble copper(Ⅱ) complex with a copper-bound carbonate group acting as a potential proton shuttle[J]. Inorg. Chem., 2017, 56(21):  13368-13375. doi: 10.1021/acs.inorgchem.7b02125

    35. [35]

      CERONI P, CREDI A, VENTURI M. Electrochemical methods//SCHALLEY C A. Analytical methods in supramolecular chemistry: Vol. 2[M]. 2nd ed. Weinheim: Wiley-VCJ, 2012: 371-457

    36. [36]

      LAVIRON E. General expression of the linear potential sweep voltammogram in the case of diffusionless electrochemical systems[J]. J. Electroanal. Chem., 1979, 101(1):  19-28. doi: 10.1016/S0022-0728(79)80075-3

    37. [37]

      GHOSH T, MAAYAN G. Efficient homogeneous electrocatalytic water oxidation by a manganese cluster with an overpotential of only 74 mV[J]. Angew. Chem. ‒Int. Edit., 2019, 58(9):  2785-2790. doi: 10.1002/anie.201813895

    38. [38]

      CHEN Q F, XIAN K L, ZHANG H T, SU X J, LIAO R Z, ZHANG M T. Pivotal role of geometry regulation on O—O bond formation mechanism of bimetallic water oxidation catalysts[J]. Angew. Chem. ‒Int. Edit., 2024, 63(9):  e202317514. doi: 10.1002/anie.202317514

    39. [39]

      YAN Q, LIU Y, ZHAO Y, ZHOU X, YUAN W. Molten salt-mediated electrosynthesis of MoS2 nanosheet-supported Rh nanoclusters for highly efficient electrocatalytic hydrogen evolution[J]. Chem. Commun., 2025, 61(18):  3700-3703. doi: 10.1039/D4CC06224H

    40. [40]

      DU X, ZHANG J, ZHANG M, WEI H, LIN X, GUO W, ZHANG P, LUO Z H. Deciphering the synergistic role of chemisorbed phosphate on FeOOH for high-efficiency overall water splitting[J]. Green Chem., 2025, 27:  7380-7388. doi: 10.1039/D5GC01624J

    41. [41]

      ZHOU X Y, ZHANG J J, ZHANG M Y, DU X Q, BAO W W, HAN J, LIN X, ZHANG P F, LUO Z H. Active site reconstruction of a metal hydroxide/metal molybdate heterogeneous interface enhances electrochemical water oxidation[J]. Inorg. Chem. Front., 2025, 12(19):  5819-5829. doi: 10.1039/D5QI00418G

    42. [42]

      SCHULZE M, KUNZ V, FRISCHMANN P D, WÜRTHNER F. A supramolecular ruthenium macrocycle with high catalytic activity for water oxidation that mechanistically mimics photosystem Ⅱ[J]. Nat. Chem., 2016, 8(6):  576-583. doi: 10.1038/nchem.2503

    43. [43]

      CHEN Q F, CHENG Z Y, LIAO R Z, ZHANG M T. Bioinspired trinuclear copper catalyst for water oxidation with a turnover frequency up to 20 000 s-1[J]. J. Am. Chem. Soc., 2021, 143(47):  19761-19768. doi: 10.1021/jacs.1c08078

    44. [44]

      SU X J, GAO M, JIAO L, LIAO R Z, SIEGBAHN P E M, CHENG J P, ZHANG M T. Electrocatalytic water oxidation by a dinuclear copper complex in a neutral aqueous solution[J]. Angew. Chem. ‒Int. Edit., 2015, 54(16):  4909-4914. doi: 10.1002/anie.201411625

  • 图 1  NdCo6-py的(a) 晶体结构和(b) 核心结构

    Figure 1  (a) Crystal structure and (b) core structure of NdCo6-py

    Nd, pink; Co, green; O, red; N, blue; C, gray; All H atoms are omitted for clarity.

    图 2  NdCo6-py的(a) PXRD图、(b) 在400~4 000 cm-1的IR谱图、(c) XPS全谱图和(d) Co2p的局部谱图

    Figure 2  (a) PXRD patterns, (b) IR spectrum in a range of 400-4 000 cm-1, (c) XPS survey spectrum, and (d) local spectrum of Co2p of NdCo6-py

    图 3  0.25 mmol·L-1NdCo6-py在超干乙腈中的(a) 不同扫速下的CV曲线; (b) 1.50 V时氧化峰电流和扫速平方根的关系图

    Figure 3  (a) CV curves with different scan rates and (b) plot for the relation of the oxidative peak current and the square root of the scan rate at 1.50 V of 0.25 mmol·L-1 NdCo6-py in superdry acetonitrile

    图 4  NdCo6-py在乙腈(含0.1 mol·L-1的Et4NClO4)中加入不同浓度水后的(a) CV和(b) DPV曲线

    Figure 4  (a) CV and (b) DPV curves of NdCo6-py in acetonitrile (containing 0.1 mol·L-1 Et4NClO4) after the addition of different concentrations of water

    图 5  0.25 mmol·L-1NdCo6-py在醋酸钠-醋酸缓冲液(pH=6)和超干乙腈中的(a) CV和(b) DPV曲线

    Figure 5  (a) CV and (b) DPV curves of 0.25 mmol·L-1 NdCo6-py in sodium acetate-acetate buffer (pH=6) and superdry acetonitrile

    图 6  0.25 mmol·L-1NdCo6-py在醋酸钠-醋酸缓冲液(pH=6)中(a) 不同扫速下的CV曲线; (b) 不同扫描方向的DPV曲线; (c) E1/2=1.45 V时氧化峰电流和扫速平方根的关系图; (d) 1.50 V(vs NHE)处阳极肩峰的半峰电位Ep, 1/2和ln v的线性关系图; (e) 1.60 V(vs NHE)处的催化峰电流与扫速平方根的关系图; (f) 1.60 V(vs NHE)处催化峰电流与1.40 V(vs NHE)处扩散电流比值(ic/id)与v-1/2的关系图

    Figure 6  (a) CV curves with different scan rates, (b) DPV curves in different scanning directions, (c) plot of the oxidative peak current vs the square root of the scan rate at E1/2=1.45 V, (d) linear plot of Ep, 1/2 of the anode peak at 1.50 V (vs NHE) and ln v, (e) plot of the catalytic peak current at 1.60 V (vs NHE) vs the square root of the scan rate, (f) plot of the ratio of the catalytic peak current at 1.60 V to the diffusion current at 1.40 V (ic/id) vs v-1/2 of 0.25 mmol·L-1 NdCo6-py in sodium acetate-acetate buffer (pH=6)

    图 7  NdCo6-py在醋酸钠-醋酸缓冲液(pH=6)中电解3 h的(a) 电量-时间关系图和(b) 产氧量

    Figure 7  (a) Relation of quantity of electric charge and time, and (b) oxygen production of NdCo6-py electrolyzed in sodium acetate-acetate buffer (pH=6) for 3 h

    图 8  在醋酸钠-醋酸缓冲溶液中, 0.25 mmol·L-1NdCo6-py在不同pH下的(a) DPV曲线和(b) Pourbaix图

    Figure 8  (a) DPV curves and (b) Pourbaix diagram of 0.25 mmol·L-1 NdCo6-py in sodium acetate-acetate buffer at different pH values

    图 9  NdCo6-py催化水氧化的反应机理图

    Figure 9  Diagram of the reaction mechanism of water oxidation catalyzed by NdCo6-py

  • 加载中
计量
  • PDF下载量:  0
  • 文章访问数:  1384
  • HTML全文浏览量:  95
文章相关
  • 发布日期:  2025-12-10
  • 收稿日期:  2025-05-01
  • 修回日期:  2025-09-20
通讯作者: 陈斌, bchen63@163.com
  • 1. 

    沈阳化工大学材料科学与工程学院 沈阳 110142

  1. 本站搜索
  2. 百度学术搜索
  3. 万方数据库搜索
  4. CNKI搜索

/

返回文章