Synthesis of stable and porous bimetallic Ti-MOF for photocatalytic oxidation of aromatic sulfides to sulfoxides

Laiyang ZHU Xuze PAN Xiaoying ZHANG Xinyu XU Shiheng LI Fajin CAI Yifan WANG Qingxia YAO Yi QIU Jie SU

Citation:  Laiyang ZHU, Xuze PAN, Xiaoying ZHANG, Xinyu XU, Shiheng LI, Fajin CAI, Yifan WANG, Qingxia YAO, Yi QIU, Jie SU. Synthesis of stable and porous bimetallic Ti-MOF for photocatalytic oxidation of aromatic sulfides to sulfoxides[J]. Chinese Journal of Inorganic Chemistry, 2025, 41(10): 2115-2126. doi: 10.11862/CJIC.20250139 shu

稳定多孔的双金属Ti-MOF的制备及其光催化氧化芳香硫化物生成亚砜性能

    通讯作者: 姚清侠, yaoqingxia@lcu.edu.cn
    苏婕, jie.su@pku.edu.cn
  • 基金项目:

    国家自然科学基金 21501086

    国家自然科学基金 22003003

    山东省自然科学基金 ZR2022MB137

摘要: 我们报道了一例稳定、高度多孔的双金属Ti-MOF材料(Mg2Ti-ABTC), 其由三核钛镁氧簇[Mg2TiO(COO)6]与四齿配体H4ABTC(3, 3′, 5, 5′-偶氮苯四羧酸)构建而成。Mg2Ti-ABTC对氮气、二氧化碳、甲烷、乙炔、乙烯、乙烷等气体展现了永久孔隙性, 而且具有良好的光催化活性。Mg2Ti-ABTC作为一种高效的光催化剂, 能够在空气氛围中实现芳香硫醚向亚砜化合物的高选择性转化。反应机理研究揭示了光生空穴(h+)、超氧自由基(•O2-)、单线态氧(1O2)是参与光催化氧化反应的关键物种。

English

  • Sulfoxides are widely used as valuable reagents in chemistry and as essential bioactive ingredients in pharmaceuticals, such as trifluoromethyl sulfoxides as reagents for metal-free C—H trifluoromethylthiolation and omeprazole as a proton pump inhibitor[1-6]. A traditional methodology to synthesize sulfoxides from sulfides relies on strong oxidants such as hydrogen peroxide or m-chloroperbenzoic acid, often suffering from insufficient selectivity due to harsh reaction conditions or overoxidation[7-11]. Therefore, the synthesis of sulfoxides in a mild and green manner is of great importance. Aerobic photocatalytic oxidation of sulfides into sulfoxides is regarded as one of the greenest pathways, which utilizes light for energy and atmospheric oxygen as an oxidant[12-13]. A series of photocatalytic systems, such as polyoxometalates[14], porphyrins[15], and cyclometalated Ir(Ⅲ) complexes[16], have been explored. However, their application raises issues regarding the usage of expensive metals and wearisome separation of catalysts from products under homogeneous conditions. Thus, it is highly demanded to develop efficient photocatalysts that are cost-effective and reusable.

    In this context, titanium-based metal-organic frameworks (Ti-MOFs) offer an interesting platform for photocatalysis, as they can integrate light-harvesting molecular units and catalytically active sites into a single matrix, resulting in improved charge separation and catalytic activity[17-20]. Emerging Ti-MOFs have shown outstanding performance in oxidizing reactions[21]. For example, Gascon and coworkers reported a visible-light-responsive Ti-MOF (ACM-1), which can be used for the selective oxidation of benzyl alcohol and cyclohexanol[22]. Wang and Zhang′s group employed a sulfonated Ti-MOF (FIR-138) for photocatalytic oxidative phosphonylation of tertiary amines[23]. Our group previously reported a porous Ti-MOF (Mn2Ti-CPCDC) for photocatalytic oxidation of benzylamine in air[24]. In spite of these advances, studies on photo-driven organic transformation by Ti-MOFs are relatively scarce. This could be ascribed to the significant synthetic challenges associated with crystalline Ti-MOFs, because Ti(Ⅳ) precursors could undergo fast hydrolysis, usually leading to the formation of amorphous phases. To overcome the circumstance, one possible method to enrich Ti-MOFs is a heterometallic approach, in which a second metal is introduced into the titanium-oxo cluster during MOF synthesis. For instance, Zhou et al. have successfully used the bimetallic [Ti8Zr2O12(COO)16] cluster to construct photoactive PCN-415 and PCN-416 Ti-MOFs, which showcase not only high stability but also photoactivity of the frameworks[25]. Liu and colleagues have synthesized a bimetallic Ti-MOF (PFC-20-Co2Ti), in which the presence of Ti(Ⅳ) cation in the node of the framework endows the material with ultrahigh photocatalytic activity for O2 evolution[26]. While attempting to generalize this heterometallic approach, we discovered that a combination of Ti(Ⅳ) and other metals into a bimetallic cluster would indeed bring new opportunities to diversify Ti-MOFs and their applications.

    Herein, we present a novel porous bimetallic Ti-MOF ([Mg2Ti(μ3-O)(ABTC)1.5(H2O)3)]·2DMF·5H2O, designated Mg2Ti‑ABTC) constructed by an insitu generated trinuclear [Mg2Ti(μ3-O)(COO)6(H2O)3], abbr. as [Mg2Ti], cluster and a tetradentate ligand H4ABTC (3, 3′, 5, 5′-azobenzene tetracarboxylic acid). Mg2Ti-ABTC exhibited excellent stability and permanent porosity in the adsorption of N2, CO2, CH4, C2H2, C2H4, and C2H6, and showed n-type semiconductor behavior. Moreover, it demonstrates outstanding catalytic activity in the photocatalytic oxidation of benzyl sulfides, with both conversion and selectivity of thioanisole up to 99%. Importantly, Mg2Ti-ABTC maintained good crystallinity and catalytic efficiency even after three consecutive recycles.

    Materials and physical measurements are shown in the Supporting information.

    H4ABTC (30.0 mg, 0.084 mmol), MgCl2·6H2O (15.0 mg, 0.074 mmol), Ti(iOPr)4 (23.0 μL, 0.072 mmol), N,N-dimethylformamide (DMF, 2.0 mL), and glacial acetic acid (1.1 mL) were added to a 23 mL Teflon-lined stainless steel reactor. After reaction at 120 ℃ for 48 h, pale-yellow cubic crystals (Mg2Ti-ABTC) were obtained (Fig.S1). After washing with fresh DMF several times, the crystals were collected by centrifugation and dried in air. Yield: > 38%. Elemental analysis (mass fraction) for C30H39O23N5Mg2Ti: Exp.: C 38.64%, H 4.50%, N 7.87%; Calcd.: C 38.57%, H 4.21%, N 7.50%. IR (KBr, cm-1): 3 368 (br), 2 970 (m), 1 667 (s), 1454 (s), 1 335 (s), 1 086 (w), 1 043 (m), 929 (s), 879 (w), 781 (s), 714 (s), 536 (m), 479 (m).

    Mg2Ti-ABTC can also be prepared under the same conditions except by replacing Ti(iOPr)4 with Cp2TiCl2 or TiCl4. The successful synthesis of Mg2Ti-ABTC can be determined by powder X-ray diffraction (PXRD, Fig.S2).

    The nitrogen adsorption test was conducted under the condition of 77 K using ASAP 2460. Before the test, the MOFs were soaked in ethanol (EtOH) for three days (with EtOH changed three times a day), and then activated at 80 ℃ for 12 h. The tests for CO2, CH4, C2H2, C2H4, and C2H6 adsorption were carried out at 273 and 298 K, respectively, with the activation conditions being the same as those for the nitrogen adsorption activation.

    Firstly, 0.3 mmol aromatic sulphides and 2.0 mL methanol (MeOH) were added to a 10.0 mL light-induced tube. Then, 10 mg Mg2Ti-ABTC was introduced into the above solution at room temperature and under normal pressure. The system was irradiated with blue light (10 W). After the reaction, the crystals of the catalyst were centrifuged, then thoroughly washed with MeOH and used for the next catalytic run. The conversion and selectivity of the reaction were determined by 1H NMR.

    A suitable cubic crystal of Mg2Ti‑ABTC was selected for a single-crystal X-ray diffraction analysis. The structural analysis indicates that Mg2Ti-ABTC crystallizes in the P43n space group (Table S1) and has a three-dimensional open framework (Fig. 1), which is constructed from insitu generated [Mg2Ti] (Fig. 1a) clusters and ABTC4- ligands. The coexistence of Mg and Ti was further corroborated by elemental mappings and energy-dispersive X-ray spectroscopy (EDS) (Fig.S4). The assembly of H4ABTC with different trimeric clusters has produced a handful of MOFs with soc topology, named individually as PFC-M2Ti[26], M-soc-MOF[27], PCN-250[28], and CPM-200[29]. These highly porous MOFs serve as a valuable platform for applications in gas storage and CO2 capture. Therefore, Mg2Ti-ABTC can be viewed as a new member of the soc-MOF based on H4ABTC. [Mg2Ti] cluster is rarely reported in MOF structures. To our knowledge, Mg2Ti-ABTC represents the second MOF structure built on [Mg2Ti] cluster[30]. As shown in Fig. 1a, each [Mg2Ti(μ3-O)(COO)6(H2O)3] consists of three statistically occupied metal atoms (two Mg and one Ti) fused by one central μ3-O atom, six carboxylate groups from six different ABTC4- ligands, and three terminal H2O molecules. The [Mg2Ti] clusters function as triangular prismatic secondary building units (SBUs). Each ABTC4- ligand is deprotonated to connect four [Mg2Ti] clusters (Fig. 1b). As such, each [Mg2Ti] cluster connects to six ABTC4- ligands and each ABTC4- ligand links to four [Mg2Ti] clusters to form a highly open framework (Fig. 1c) with a 4, 6-connected soc network (Fig. 1d). The framework of Mg2Ti-ABTC encloses cuboidal cages (0.96 nm in diameter) composed of eight [Mg2Ti] clusters as vertices and six ABTC4- ligands as faces of the cage (Fig. 1e, 1f). These cages are further interconnected by 1D channels with dimensions of about 0.53 nm. The free volume of Mg2Ti-ABTC estimated by PLATON software was 57.6%, indicating that Mg2Ti-ABTC has a microporous structure that is favorable for gas adsorption. Interestingly, the incorporation of redox-active titanium-oxo clusters and photo-responsive azo ligands into a single structure would enhance the photocatalytic performance of the framework. Furthermore, considering the rich abundance of Ti and Mg elements in the Earth′s crust, it is of industrial interest to scale up and make use of Mg2Ti-ABTC.

    Figure 1

    Figure 1.  Structure of Mg2Ti-ABTC: (a) trinuclear [Mg2Ti(μ3-O)(COO)6(H2O)3] cluster and simplified triangular prismatic SBU; (b) H4ABTC ligand and simplified rectangular SBU; (c) 3D framework; (d) soc topology; (e, f) cuboidal cage

    As shown in Fig. 2, the PXRD pattern of as-synthesized Mg2Ti-ABTC solids is consistent with the simulated one, indicating good phase purity of the MOF. The scanning electron microscope (SEM) showed the uniform morphology of the Mg2Ti-ABTC sample (Fig.S4). Element mapping reflected the uniform distribution of Mg and Ti on the material (Fig.S5). When Mg2Ti-ABTC solids were immersed in different organic solvents, such as tetrahydrofuran (THF), MeOH, EtOH, dichloromethane (DCM), acetone (ACE), and acetonitrile (MeCN) for 48 h, after being filtered, the treated samples were subjected to PXRD experiments. The results showed that the PXRD patterns of the treated samples were in line with the simulated one, showing that Mg2Ti-ABTC was stable in various solvents (Fig. 2). The TGA analysis showed a significant weight loss of about 22.4% before 213 ℃, which can be attributed to the removal of free guest water and DMF molecules. The continuous weight loss from 213 to 350 ℃ can be ascribed to the release of coordinated water (Fig.S6). There was no plateau between 213 to 350 ℃. This is possibly due to the decarboxylation reaction of ABTC4- linkers at high temperature, which has been reported in literature[31]. The above results verify that Mg2Ti-ABTC has good chemical and thermal stability.

    Figure 2

    Figure 2.  PXRD patterns of the simulated, as-synthesized, and soaked Mg2Ti-ABTC in different organic solvents

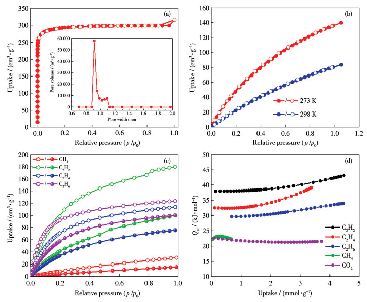
    To investigate the porosity of Mg2Ti-ABTC, a N2 adsorption-desorption experiment was conducted at 77 K. Before gas adsorption, solvent exchange was performed using EtOH. The sample was then vacuum-dried at 80 ℃ for 12 h. As shown in Fig. 3a, the adsorption isotherm was a typical type-Ⅰ isotherm, indicating that Mg2Ti-ABTC was microporous. The Brunauer-Emmett-Teller (BET) specific surface area was determined to be 1 170 m2·g-1, with a pore volume of 0.462 4 cm3·g-1. Non-local density functional theory (NLDFT) pore size distribution analysis revealed a predominant pore size centered around 0.91 nm (Fig. 3a), consistent with its crystal structure. PXRD analysis conducted on the sample of post-N2 adsorption confirmed the retention of high crystallinity, thereby validating the permanent porosity and excellent stability of Mg2Ti-ABTC (Fig.S7).

    Figure 3

    Figure 3.  (a) N2 adsorption-desorption isotherm at 77 K (Inset: pore size distribution); (b) CO2 adsorption isotherms at 273 and 298 K; (c) CH4, C2H2, C2H4, and C2H6 adsorption isotherms at 273 K (hollow line) and 298 K (solid line); (d) Isothermal heats of CO2, CH4, C2H2, C2H4, and C2H6 calculated by using the viral method

    In a and b: solid and hollow curves represent adsorption and desorption, respectively.

    Due to the permanent porosity of Mg2Ti-ABTC, the adsorption performance of CO2, CH4, C2H6, C2H4, and C2H2 was tested at 273 and 298 K. The experimental results showed that at 273 K and 1×105 Pa, the adsorption capacities of CO2, CH4, C2H2, C2H4, and C2H6 in Mg2Ti-ABTC were 139.7, 30.6, 168.4, 105.9, and 123.5 cm3·g-1, respectively; while at 298 K and 1×105 Pa, the adsorption capacities of the above gases were 83.5, 15.3, 100.2, 75.8, and 100.1 cm3·g-1, respectively (Fig. 3b and 3c). Based on these adsorption data, the standard adsorption enthalpies at zero loading (Qst, 0) of each gas at the two temperatures were calculated by the virial equation as follows: 22.6 kJ·mol-1 for CO2, 22.2 kJ·mol-1 for CH4, 40.0 kJ·mol-1 for C2H2, 32.5 kJ·mol-1 for C2H4, and 29.6 kJ·mol-1 for C2H6 (Fig. 3d). All the above gas uptake values were impressive. It is interesting to compare the adsorption performances of Mg2Ti-ABTC with those of other Mg-doping counterparts (CPM-200-M/Mg; M=In3+, Ga3+, Fe3+, V3+, Sc3+)[29]. As shown in Table S2, the CO2, CH4, and C2H2 uptake values of Mg2Ti-ABTC were superior to those of CPM-200-Ga/Mg, V/Mg, and Sc/Mg[29], but inferior to those of CPM-200-Fe/Mg and In/Mg under the same conditions. These results demonstrate that Mg2Ti-ABTC is a highly robust and porous candidate for gas adsorption applications.

    Solid-state ultraviolet-visible (UV-Vis) diffuse reflection test of Mg2Ti-ABTC was conducted at 298 K. There was a broad absorption band in a range of 200-570 nm (Fig. 4a). This could be attributed to the ligand-centered absorption. The band gap was calculated to be 2.36 eV based on the Tauc plot (Fig. 4b). The Mott-Schottky curves recorded at frequencies of 500, 1 000, and 1 500 Hz were measured in a sodium sulfate solution (1.0 mol·L-1) using a standard three-electrode system. All curves exhibited positive slopes, characteristic of n‑type semiconductor behavior[32]. The flat band potential was determined to be -0.62 V (vs Ag/AgCl). Consequently, the conduction band (CB) potential of Mg2Ti-ABTC was calculated at -0.42 V (vs NHE), and the valence band (VB) potential was calculated at 1.94 V (vs NHE) (Fig. 4c), which is very close to the value (2.07 V) obtained from VB-XPS (Fig. 4d).In addition, the obvious photocurrent response of Mg2Ti-ABTC suggested that it had a good separation efficiency of photogenerated carriers (Fig.S8). Based on the high stability, porosity, and light response characteristics of Mg2Ti-ABTC, we speculate that it might be a potential photocatalyst for organic reactions.

    Figure 4

    Figure 4.  (a) Solid-state UV-Vis diffuse reflection spectrum of Mg2Ti-ABTC; (b) Bind gap calculation according to Tauc plot; (c) Mott-Schottky plots for Mg2Ti-ABTC in 1.0 mol•L-1 Na2SO4 (Inset: schematic diagram of the CB and VB energy levels); (d) VB-XPS curve

    The photocatalytic activity of Mg2Ti-ABTC was initially evaluated by the oxidation of aromatic sulfides. Using Mg2Ti-ABTC as the photocatalyst, thioanisole was employed as a model substrate to screen optimum parameters, including solvent and light irradiation time, the reaction is shown in Reaction 1. The results were summarized in Table 1. It is well established that solvents play a crucial role in the photocatalytic oxidation of sulfides[33-34]. To systematically investigate this effect, we examined the influence of various solvents on the photocatalytic oxidation of thioanisole under identical conditions. When a non-protonic solvent such as THF, MeCN, and DCM was used, the conversion of thioanisole was only 2%, 2%, and 46%, respectively. In contrast, when a protonic solvent like MeOH and EtOH was present, the conversion of thioanisole into methyl phenyl sulfoxide (MPSO) was up to 99% and 96%, respectively (entries 1-5, Table 1). Based on these findings, MeOH was selected as the optimal solvent for subsequent experiments due to its superior performance.

    (1)

    Table 1

    Table 1.  Photocatalytic oxidation of thioanisole by Mg2Ti-ABTC under different conditionsa
    下载: 导出CSV
    Entry Light Gas Catalyst Time / h Solvent Conversionb / % Selectivelyc / %
    1 Blue light Air Mg2Ti-ABTC 24 THF < 2% 99%
    2 Blue light Air Mg2Ti-ABTC 24 DCM < 2% 99%
    3 Blue light Air Mg2Ti-ABTC 24 MeCN 46% 99%
    4 Blue light Air Mg2Ti-ABTC 24 EtOH 96% 99%
    5 Blue light Air Mg2Ti-ABTC 24 MeOH 99% 99%
    6 Air Mg2Ti-ABTC 24 MeOH < 2% 99%
    7 Blue light Air 24 MeOH < 2% 99%
    8 Blue light N2 Mg2Ti-ABTC 24 MeOH < 2% 99%
    9 Blue light Air Mg2Ti-ABTC 10 MeOH 21% 99%
    10 Blue light Air Mg2Ti-ABTC 15 MeOH 48% 99%
    11 Blue light Air Mg2Ti-ABTC 20 MeOH 85% 99%
    12 Blue light Air Mg2Ti-ABTC 24 MeOH 99% 99%
    13 Blue light Air H4ABTC 24 MeOH 32% 99%
    14 Blue light Air H4ABTC+MgCl2 24 MeOH 46% 99%
    15d Blue light Air Mg2Ti-ABTC 24 BQ 39% 99%
    16d Blue light Air Mg2Ti-ABTC 24 DABCO < 2% 99%
    17d Blue light Air Mg2Ti-ABTC 24 KI < 2% 99%
    a Reaction conditions: thioanisole (0.3 mmol), catalyst (10 mg), solvent (2.0 mL), gas (1×105 Pa), room temperature, 10 W blue light (400 nm); b The conversion was determined by 1H NMR; c The byproducts were the corresponding sulfones; dBQ, DABCO, and KI were dissolved in MeOH as scavengers of •O2-, 1O2, and h+.

    Then, we investigated the influences of other reaction parameters on the reaction. When any of the parameters, such as Mg2Ti-ABTC catalyst, blue light, and air, were absent, it was difficult to oxidize thioanisole to MPSO even after 24 h (entries 6-8, Table 1). However, when Mg2Ti-ABTC, MeOH, blue light, and air were all present simultaneously at room temperature, thioanisole could be oxidized to MPSO, with the yield gradually increasing from 21% to 99% with irradiation time extension from 10 to 24 h (entries 9-12, Table 1). This indicates that Mg2Ti-ABTC, MeOH, blue light, and air were all indispensable in this catalytic process. Consequently, the optimized conditions for photocatalytic oxidation of anisole into MPSO were determined as follows: using Mg2Ti-ABTC (10 mg) as the photocatalyst, air (1×105 Pa) as the oxidant, MeOH (2.0 mL) as the solvent, and continuous blue light irradiation (10 W) as energy input, thioanisole (35 μL, 0.3 mmol) in MeOH was photooxidized at room temperature, affording 99% conversion of thioanisole and 99% selectivity of product MPSO.

    The recyclability of a catalyst is a critical parameter for assessing its catalytic performance. The recycling experiments demonstrated that Mg2Ti‑ABTC maintained consistent catalytic activity after three consecutive cycles (Fig.S9). SEM images (Fig.S10), PXRD patterns (Fig.S11) of recycled Mg2Ti-ABTC confirmed the integrity of Mg2Ti-ABTC during the catalytic process. To further clarify the heterogeneous nature of the catalysis, control experiments were carried out. When an equivalent H4ABTC ligand or physical mixture of H4ABTC and MgCl2 was employed as photocatalyst, only 32% or 46% conversion of thioanisole was obtained (entries 13 and 14, Table 1), much inferior to that using Mg2Ti-ABTC as catalyst. These results suggest that Mg2Ti-ABTC is a truly heterogeneous catalyst.

    With the optimal reaction conditions in hand, we expand the substrate to other aromatic sulfides. As seen in Table 2, Mg2Ti-ABTC exhibited excellent catalytic activity towards phenyl methyl sulfides regardless of bearing electron-donating groups (e.g., —CH3, —OCH3, entries 2 and 3 in Table 2) or electron‑ withdrawing groups (e.g., —F, —Cl, —Br, —NO2, entries 4-8 in Table 2). However, when the methyl group in sulfides is replaced by a larger ethyl or phenyl group, the conversion of the sulfides significantly decreases (entries 9 and 10 in Table 2). This might be due to the pore size effect of Mg2Ti-ABTC on restricting the diffusion of larger substrates into the pores. The above results demonstrated that Mg2Ti-ABTC had excellent catalytic performance and size selectivity for photocatalytic oxidation of small molecule sulfides, comparable to the best MOF-based photocatalysts[35-38].

    Table 2

    Table 2.  Photocatalytic oxidation of various sulfide substrates by Mg2Ti-ABTCa
    下载: 导出CSV
    Entry Substrate Product Conversionb / % Selectivityc / %
    1 99 99
    2 90 99
    3 99 99
    4 82 99
    5 99 99
    6 91 99
    7 88 99
    8 75 99
    9 22 99
    10 59 99
    a Conditions: phenyl sulfides (0.3 mmol), Mg2Ti-ABTC (10 mg), MeOH (2.0 mL), air (1×105 Pa), room temperature environment with 10 W blue light (400 nm); b The conversion was determined by 1H NMR; c The byproducts were the corresponding sulfones.

    On account of the above catalytic activity, the catalytic mechanism of Mg2Ti-ABTC on the photocatalytic oxidation of sulfides was investigated using thioanisole as a mode compound. As previously mentioned, light, a catalyst, and air were all required for the reaction (entries 6-12, Table 1). Generally, reactive oxygen species (ROS), such as superoxide radical (·O2-) and singlet oxygen (1O2), are vital for the aerobic photo-oxidation process. ROS was first identified by quenching experiments (entries 15-18, Table 1). When 1, 4-benzoquinone (BQ, 1 mmol, a scavenger for ·O2-) or 1, 4-diazabicyclo[2.2.2]octane (DABCO, 1 mmol, a quencher for 1O2) was individually introduced into the reaction system, the conversion of thioanisole decreased significantly to 39% or below 2%, respectively. To further monitor the generation of 1O2 and ·O2- on Mg2Ti-ABTC, 1O2 trapping agent 5, 5-dimethyl-1-pyrroline-N-oxide (DMPO) and ·O2- trapping agent 2, 2, 6, 6-tetramethyl-1-piperinedinyloxy (TEMPO) were employed for electron paramagnetic resonance (EPR) spectroscopy. When the suspension of Mg2Ti-ABTC in MeOH was exposed to illumination, the characteristic EPR signals of DMPO-·O2- and TEMP-1O2 were detected in EPR spectra (Fig. 5), confirming the involvement of 1O2 and ·O2- in the photocatalytic oxidation of thioanisole. Additionally, when KI (a scavenger for h+) was added to the reaction, the conversion of thioanisole decreased sharply to below 2%, suggesting that photoinduced holes would oxidize thioanisole to cationic radicals during the process[39-40].

    Figure 5

    Figure 5.  EPR spectra of Mg2Ti-ABTC to detect 1O2 (a) and •O2- (b) using the DMPO and TEMPO trapping agents with light on and off

    Based on the experimental data and the open literature, we propose a plausible mechanism for the photooxidation of thioanisole on the Mg2Ti-ABTC catalyst[41-44]. As shown in Fig. 6, Mg2Ti-ABTC is excited to be Mg2Ti-ABTC* upon light irradiation, and meanwhile, electron-hole pairs are generated. The photogenerated holes oxidize the thioanisole (A) to cationic radicals (B), while the electrons undergo single-electron transfer to reduce O2 to ·O2-. These two radicals subsequently combine to form per intermediates (C). Another molecule of thioanisole then reacts with these intermediates to produce sulfoxide (D). Additionally, under light irradiation, electrons in the LUMO orbital transition from the singlet sate to the triplet state, facilitating intersystem crossing and energy transfer. This energy transfer process transforms O2 into 1O2. The reaction between thioanisole and 1O2 also leads to the formation of persulfoxide intermediates (C), which further react with another thioanisole molecule to generate sulfoxide.

    Figure 6

    Figure 6.  Possible mechanism of photocatalytic oxidation reaction of thioanisole by Mg2Ti-ABTC in an air atmosphere

    We have provided a new porous bimetallic Ti-MOF (Mg2Ti-ABTC), which combines [Mg2Ti(μ3-O)(COO)6(H2O)3] clusters with the tetradentate ligand H4ABTC. It exhibited excellent stability and permanent porosity in the adsorption of N2, CO2, CH4, C2H2, C2H4, and C2H6, and shows n-type semiconductor behavior. The photocatalytic oxidation of benzyl sulfide demonstrated good photocatalytic activity, with a 99% conversion rate of thioanisole and a 99% selectivity of the product MPSO. Furthermore, Mg2Ti-ABTC retained good crystallinity and catalytic efficiency after three consecutive recycle runs. Mechanism investigations reveal that ROS such as ·O2- and 1O2 are responsible for the excellent photocatalytic activity. Our work suggests that Ti-MOFs are promising photocatalysts for organic transformations.


    Acknowledgements: We thank the financial support from Shandong Provincial Natural Science Foundation (Grant No.ZR2022MB137), National Natural Science Foundation of China (Grants No.21501086, 22003003). Notes: The authors declare no competing financial interest.
    Supporting information is available at http://www.wjhxxb.cn
    1. [1]

      SAITO F. A sulfoxide reagent for one-pot, three-component syntheses of sulfoxides and sulfinamides[J]. Angew. Chem.‒Int. Edit., 2022, 61(52):  13872-13877.

    2. [2]

      ZENG B, SHENG W L, HUANG F W, ZHANG K K, XIONG K H, LANG X J. Cooperative photocatalysis of hafnium-based metal-organic framework and TEMPO for selective oxidation of sulfides[J]. Chem. Eng. J., 2023, 474:  145559. doi: 10.1016/j.cej.2023.145559

    3. [3]

      ANSELMI S, CARVALHO A T P, SERRANO‑SANCHEZ A, ORTEGA-ROLDAN J L, CASWELL J, OMAR I, PEREZ-ORTIZ G, BARRY S M, MOODY T S, CASTAGNOLO D. Discovery and rational mutagenesis of methionine sulfoxide reductase biocatalysts to expand the substrate scope of the kinetic resolution of chiral sulfoxides[J]. ACS Catal., 2023, 13(7):  4742-4751. doi: 10.1021/acscatal.3c00372

    4. [4]

      WANG D, CARLTON C G, TAYU M, MCDOUALL J J W, PERRY G J P, PROCTER D J. Trifluoromethyl sulfoxides: Reagents for metal-free C—H trifluoromethylthiolation[J]. Angew. Chem.‒Int. Edit., 2020, 59(37):  15918-15922. doi: 10.1002/anie.202005531

    5. [5]

      ZHANG F L, HAO H M, DONG X Y, LI X, LANG X J. Olefin-linked covalent organic framework nanotubes based on triazine for selective oxidation of sulfides with O2 powered by blue light[J]. Appl. Catal. B‒Environ., 2022, 305:  121027. doi: 10.1016/j.apcatb.2021.121027

    6. [6]

      WANG Y X, ZHANG F L, HUANG F W, DONG X Y, ZENG B, GU X K, LANG X J. Thiazole-linked isomeric covalent organic frameworks for divergent photocatalysis: Selective oxidation of organic sulfides[J]. Appl. Catal. B‒Environ., 2024, 354:  124103. doi: 10.1016/j.apcatb.2024.124103

    7. [7]

      AZIZI M, MALEKI A, HAKIMPOOR F, GHALAVAND R, GARAVAND A. A mild, efficient and highly selective oxidation of sulfides to sulfoxides catalyzed by Lewis acid-urea-hydrogen peroxide complex at room temperature[J]. Catal. Lett., 2017, 147(8):  2173-2177. doi: 10.1007/s10562-017-2126-1

    8. [8]

      MOORTHY J N, SENAPATI K, PARIDA K N. 6-Membered pseudocyclic IBX acids: Syntheses, X-ray structural characterizations, and oxidation reactivities in common organic solvents[J]. J. Org. Chem., 2010, 75(24):  8416-8421. doi: 10.1021/jo101639j

    9. [9]

      LUO M Y, TIAN J L, LIU S X, ZHANG W. An integrated photothermal-photocatalytic materials for efficient photocatalytic performance boosting by synergistic photothermally[J]. Appl. Surf. Sci., 2022, 593:  1533821.

    10. [10]

      JIN J C, WANG J, GUO J, YAN M H, WANG J, SRIVASTAVA D, KUMAR A, SAKIYAMA H, MUDDASSIR M, PAN Y. A 3D rare cubane-like tetramer Cu(Ⅱ)-based MOF with 4-fold dia topology as an efficient photocatalyst for dye degradation[J]. Colloids Surf. A‒Physicochem. Eng. Asp., 2023, 656:  130475. doi: 10.1016/j.colsurfa.2022.130475

    11. [11]

      LI Y Z, WU S W, WU J C, HU Q Q, ZHOU C Y. Photothermocatalysis for efficient abatement of CO and VOCs[J]. J. Mater. Chem. A, 2020, 8(17):  8171-8194. doi: 10.1039/D0TA00029A

    12. [12]

      WEI L Q, YE B H. Cyclometalated Ir-Zr metal-organic frameworks as recyclable visible-light photocatalysts for sulfide oxidation into sulfoxide in water[J]. ACS Appl. Mater. Interfaces, 2019, 11(44):  41448-41457. doi: 10.1021/acsami.9b15646

    13. [13]

      ZHANG X, RAKESH K P, RAVINDAR L, QIN H L. Visible-light initiated aerobic oxidations: A critical review[J]. Green Chem., 2018, 20(21):  4790-4833. doi: 10.1039/C8GC02382D

    14. [14]

      LIU G, CHEN Y F, CHEN Y L, SHI Y Q, ZHANG M Y, SHEN G D, QI P F, LI J K, MA D L, YU F, HUANG X Q. Indirect electrocatalysis S—N/S—S bond construction by robust polyoxometalate based foams[J]. Adv. Mater., 2023, 35(40):  2304716. doi: 10.1002/adma.202304716

    15. [15]

      WEI H X, GUO Z F, LIANG X, CHEN P Q, LIU H, XING H Z. Selective photooxidation of amines and sulfides triggered by a superoxide radical using a novel visible-light-responsive metal-organic framework[J]. ACS Appl. Mater. Interfaces, 2019, 11(3):  3016-3023. doi: 10.1021/acsami.8b18206

    16. [16]

      YUAN Z L, WANG J, LI H F, LI L N, MA P T, WANG J P, NIU J Y. Visible-light-responsive tetranuclear Ir-based polyoxometalates achieve photocatalytic Baeyer-Villiger oxidation of ketones[J]. Inorg. Chem., 2025, 64(12):  5846-5855. doi: 10.1021/acs.inorgchem.4c03410

    17. [17]

      CHEN B B, MANSOURI A, RUEDA-NAVARRO C M, DOVGALIUK I, BOULLAY P, MELILLO A, RAMÍREZ-HERNÁNDEZ J J, XIAO B, FAN D, FERNANDO L A, PATRIARCHE G, CORNU I, FLORIAN P, MAURIN G, NAVALÓN S, GARCIA H, MOUCHAHAM G, SERRE C. A novel Ti12-based metal-organic framework for photocatalytic hydrogen evolution[J]. Adv. Energy Mater., 2025, 15(26):  2500211. doi: 10.1002/aenm.202500211

    18. [18]

      LIU L F, DU S W, XIAO Y J, GUO X Y, JIN S J, SHAO G S, ZHANG F X. Saturated Ti-coordinated {001} facets-dependent photocatalytic water reduction over NH2-MIL-125(Ti) sheets: Observation and unraveling of facets effect[J]. Appl. Catal. B‒Environ., 2023, 338:  123094. doi: 10.1016/j.apcatb.2023.123094

    19. [19]

      LI H Z, LI S D, WANG F, ZHANG J. A chelating coordination modulation method for the synthesis of Ti-MOF single crystals[J]. Inorg. Chem. Front., 2024, 11(10):  2876-2883. doi: 10.1039/D4QI00436A

    20. [20]

      LI H Z, PAN Y, LIN Q H, LIN Q P, LIN D Y, WANG F, XU G, ZHANG J. Rationally designed titanium-based metal-organic frameworks for visible-light activated chemiresistive sensing[J]. J. Mater. Chem. A, 2023, 11(2):  965-971. doi: 10.1039/D2TA08921A

    21. [21]

      LI J, HUANG J Y, MENG Y X, LI L Y, ZHANG L L, LIANG H L. Zr- and Ti-based metal-organic frameworks: Synthesis, structures and catalytic applications[J]. Chem. Commun., 2023, 59(18):  2541-2559. doi: 10.1039/D2CC06948B

    22. [22]

      CADIAU A, KOLOBOV N, SRINIVASAN S, GOESTEN M G, HASPEL H, BAVYKINA A V, TCHALALA M R, MAITY P, GORYACHEV A, PORYVAEV A S, EDDAOUDI M, FEDIN M V, MOHAMMED O F, GASCON J. A titanium metal-organic framework with visible-light-responsive photocatalytic activity[J]. Angew. Chem.‒Int. Edit., 2020, 59(32):  13468-13472. doi: 10.1002/anie.202000158

    23. [23]

      LU D F, LI S D, GUAN M X, HAN Y P, SUN Y Y, WU X, WANG F, ZHANG J. Visible-light-active titanium sulfonate framework for photocatalytic organic synthesis[J]. ACS Mater. Lett., 2023, 5(10):  2836-2842. doi: 10.1021/acsmaterialslett.3c00861

    24. [24]

      ZHANG X Y, PAN X Z, SI X Z, ZHU L Y, YAO Q X, DUAN W Z, HUANG X Q, SU J. Porous bimetallic Ti-MOFs for photocatalytic oxidation of amines in air[J]. Inorg. Chem., 2024, 63(41):  19408-19417. doi: 10.1021/acs.inorgchem.4c03381

    25. [25]

      YUAN S, QIN J S, XU H Q, SU J, ROSSI D, CHEN Y P, ZHANG L L, LOLLAR C, WANG Q, JIANG H L, SON D H, XU H Y, HUANG Z H, ZOU X D, ZHOU H C. [Ti8Zr2O12(COO)16] cluster: An ideal inorganic building unit for photoactive metal-organic frameworks[J]. ACS Cent. Sci., 2017, 4(1):  105-111.

    26. [26]

      LI L, FANG Z B, DENG W Z, YI J D, WANG R, LIU T F. Precise construction of stable bimetallic metal-organic frameworks with single-site Ti(Ⅳ) incorporation in nodes for efficient photocatalytic oxygen evolution[J]. CCS Chem., 2022, 4(8):  2782-2792. doi: 10.31635/ccschem.021.202101241

    27. [27]

      CAIRNS A J, ECKERT J, WOJTAS L, THOMMES M, WALLACHER D, GEORGIEV P A, FORSTER P M, BELMABKHOUT Y, OLLIVIER J, EDDAOUDI M. Gaining insights on the H2-sorbent interactions: Robust soc-MOF platform as a case study[J]. Chem. Mater., 2016, 28(20):  7353-7361. doi: 10.1021/acs.chemmater.6b02817

    28. [28]

      FENG D W, WANG K C, WEI Z W, CHEN Y P, SIMON C M, ARVAPALLY R K, MARTIN R L, BOSCH M, LIU T F, FORDHAM S, YUAN D Q, OMARY M A, HARANCYZK M, SMIT B, ZHOU H C. Kinetically tuned dimensional augmentation as a versatile synthetic route towards robust metal-organic frameworks[J]. Nat. Commun., 2014, 5(1):  5723. doi: 10.1038/ncomms6723

    29. [29]

      ZHAI Q G, BU X H, MAO C Y, ZHAO X, FENG P Y. Systematic and dramatic tuning on gas sorption performance in heterometallic metal-organic frameworks[J]. J. Am. Chem. Soc., 2016, 138(8):  2524-2527. doi: 10.1021/jacs.5b13491

    30. [30]

      YANG H J, WANG Y X, KRISHNA R, JIA X X, WANG Y, HONG A N, DANG C, CASTILLO H E, BU X H, FENG P Y. Pore-space-partition-enabled exceptional ethane uptake and ethane-selective ethane-ethylene separation[J]. J. Am. Chem. Soc., 2020, 142(5):  2222-2227. doi: 10.1021/jacs.9b12924

    31. [31]

      DRAKE H F, DAY G S, VALI S W, XIAO Z H, BANERJEE S, LI J L, JOSEPH E A, KUSZYNSKI J E, PERRY Z T, KIRCHON A, OZDEMIR O K, LINDAHL P A, ZHOU H C. The thermally induced decarboxylation mechanism of a mixed-oxidation state carboxylate-based iron metal-organic framework[J]. Chem. Commun., 2019, 55(85):  12769-12772. doi: 10.1039/C9CC04555D

    32. [32]

      SEDAGHATI N, HABIBI‑YANGJEH A, ASADZADEH‑ KHANEGHAH S, GHOSH S. Photocatalytic performance of oxygen vacancy rich-TiO2 combined with Bi4O5Br2 nanoparticles on degradation of several water pollutants[J]. Adv. Powder Technol., 2021, 32(2):  304-316. doi: 10.1016/j.apt.2020.12.010

    33. [33]

      ZHANG D S, ZOU X N, WANG X G, SU J, LUAN T X, FAN W L, LI P Z, ZHAO Y L. Highly effective photocatalytic radical reactions triggered by a photoactive metal-organic framework[J]. ACS Appl. Mater. Interfaces, 2022, 14(20):  23518-23526. doi: 10.1021/acsami.2c04331

    34. [34]

      SI X Z, ZHANG Y J, ZHANG X Y, PAN X Z, WANG F D, SHAO X D, YAO Q X, DUAN W Z, HUANG X Q, SU J. A porous carbazolic Al-MOF for efficient aerobic photo-oxidation of sulfides into sulfoxides under air[J]. Inorg. Chem., 2024, 63(10):  4707-4715. doi: 10.1021/acs.inorgchem.3c04359

    35. [35]

      FAN Q W, ZHU L W, LI X H, REN H J, ZHU H B, WU G R, DING J H. Visible-light photocatalytic selective oxidation of amine and sulfide with cspbbr3 as photocatalyst[J]. New J. Chem., 2021, 45(30):  13317-13322. doi: 10.1039/D1NJ02595C

    36. [36]

      LI Q Q, PAN P H, LIU H, ZHOU L, ZHAO S Y, DENG B, HE Y J, SONG J X, LIU P, WANG Y Y, LI J L. Incorporating a D-A-D-type benzothiadiazole photosensitizer into MOFs for photocatalytic oxidation of phenylsulfides and benzylamines[J]. Inorg. Chem., 2023, 62(42):  17182-17190. doi: 10.1021/acs.inorgchem.3c02212

    37. [37]

      YAN X M, SHI Z L, JIAO J C, SI C, HAN Q X. An isopolymolybdate-incorporated metal-organic framework with sulfite oxidase-mimicking activity for photocatalytic oxidation of sulfides utilizing in situ-generated singlet oxygen[J]. Inorg. Chem., 2021, 60(21):  16810-16816. doi: 10.1021/acs.inorgchem.1c02701

    38. [38]

      ZHANG F Y, ZHANG J L, ZHANG B X, ZHENG L R, CHENG X Y, WAN Q, HAN B X, ZHANG J. Improved catalytic performance of Co-MOF-74 by nanostructure construction[J]. Green Chem., 2020, 22(18):  5995-6000. doi: 10.1039/D0GC02048F

    39. [39]

      JIANG J, LUO R C, ZHOU X T, CHEN Y J, JI H B. Photocatalytic properties and mechanistic insights into visible light-promoted aerobic oxidation of sulfides to sulfoxides via tin porphyrin-based porous aromatic frameworks[J]. Adv. Synth. Catal., 2018, 360(22):  4402-4411. doi: 10.1002/adsc.201800730

    40. [40]

      KANG Q, WANG S D, GUO J, MO K L, LV K L, WEN L L. Novel BODIPY-based MOFs toward high-efficiency photocatalytic oxidation of sulfides and arylboronic acids[J]. Inorg. Chem. Front., 2024, 11(15):  4731-4739. doi: 10.1039/D4QI00975D

    41. [41]

      WU B, LIU Y, ZHANG Y X, FAN L, LI Q Y, YU Z Y, ZHAO X S, ZHENG Y C, WANG X J. Molecular engineering of covalent triazine frameworks for highly enhanced photocatalytic aerobic oxidation of sulfides[J]. J. Mater. Chem. A, 2022, 10(23):  12489-12496. doi: 10.1039/D2TA01441F

    42. [42]

      XU T T, LI Y S, ZHAO Z Q, XING G L, CHEN L. N, N'-bicarbazole-based covalent triazine frameworks as high-performance heterogeneous photocatalysts[J]. Macromolecules, 2019, 52(24):  9786-9791. doi: 10.1021/acs.macromol.9b01771

    43. [43]

      YIN L, HUANG J B, YUE T C, WANG L L, WANG D Z. Two 2D metal-organic frameworks based on purine carboxylic acid ligands for photocatalytic oxidation of sulfides and CO2 chemical fixation[J]. Inorg. Chem., 2024, 63(20):  9109-9118. doi: 10.1021/acs.inorgchem.4c00333

    44. [44]

      LI Z, ZHANG F L, ZHAO H X, WANG Y X, ZHU S Q, LANG X J. Carbon-to-nitrogen atom transmutations in a covalent organic framework transform the visible light-triggered selective oxidation of sulfides[J]. J. Mater. Chem. A, 2025, 13(7):  5169-5179. doi: 10.1039/D4TA08403A

  • Figure 1  Structure of Mg2Ti-ABTC: (a) trinuclear [Mg2Ti(μ3-O)(COO)6(H2O)3] cluster and simplified triangular prismatic SBU; (b) H4ABTC ligand and simplified rectangular SBU; (c) 3D framework; (d) soc topology; (e, f) cuboidal cage

    Figure 2  PXRD patterns of the simulated, as-synthesized, and soaked Mg2Ti-ABTC in different organic solvents

    Figure 3  (a) N2 adsorption-desorption isotherm at 77 K (Inset: pore size distribution); (b) CO2 adsorption isotherms at 273 and 298 K; (c) CH4, C2H2, C2H4, and C2H6 adsorption isotherms at 273 K (hollow line) and 298 K (solid line); (d) Isothermal heats of CO2, CH4, C2H2, C2H4, and C2H6 calculated by using the viral method

    In a and b: solid and hollow curves represent adsorption and desorption, respectively.

    Figure 4  (a) Solid-state UV-Vis diffuse reflection spectrum of Mg2Ti-ABTC; (b) Bind gap calculation according to Tauc plot; (c) Mott-Schottky plots for Mg2Ti-ABTC in 1.0 mol•L-1 Na2SO4 (Inset: schematic diagram of the CB and VB energy levels); (d) VB-XPS curve

    Figure 5  EPR spectra of Mg2Ti-ABTC to detect 1O2 (a) and •O2- (b) using the DMPO and TEMPO trapping agents with light on and off

    Figure 6  Possible mechanism of photocatalytic oxidation reaction of thioanisole by Mg2Ti-ABTC in an air atmosphere

    Table 1.  Photocatalytic oxidation of thioanisole by Mg2Ti-ABTC under different conditionsa

    Entry Light Gas Catalyst Time / h Solvent Conversionb / % Selectivelyc / %
    1 Blue light Air Mg2Ti-ABTC 24 THF < 2% 99%
    2 Blue light Air Mg2Ti-ABTC 24 DCM < 2% 99%
    3 Blue light Air Mg2Ti-ABTC 24 MeCN 46% 99%
    4 Blue light Air Mg2Ti-ABTC 24 EtOH 96% 99%
    5 Blue light Air Mg2Ti-ABTC 24 MeOH 99% 99%
    6 Air Mg2Ti-ABTC 24 MeOH < 2% 99%
    7 Blue light Air 24 MeOH < 2% 99%
    8 Blue light N2 Mg2Ti-ABTC 24 MeOH < 2% 99%
    9 Blue light Air Mg2Ti-ABTC 10 MeOH 21% 99%
    10 Blue light Air Mg2Ti-ABTC 15 MeOH 48% 99%
    11 Blue light Air Mg2Ti-ABTC 20 MeOH 85% 99%
    12 Blue light Air Mg2Ti-ABTC 24 MeOH 99% 99%
    13 Blue light Air H4ABTC 24 MeOH 32% 99%
    14 Blue light Air H4ABTC+MgCl2 24 MeOH 46% 99%
    15d Blue light Air Mg2Ti-ABTC 24 BQ 39% 99%
    16d Blue light Air Mg2Ti-ABTC 24 DABCO < 2% 99%
    17d Blue light Air Mg2Ti-ABTC 24 KI < 2% 99%
    a Reaction conditions: thioanisole (0.3 mmol), catalyst (10 mg), solvent (2.0 mL), gas (1×105 Pa), room temperature, 10 W blue light (400 nm); b The conversion was determined by 1H NMR; c The byproducts were the corresponding sulfones; dBQ, DABCO, and KI were dissolved in MeOH as scavengers of •O2-, 1O2, and h+.
    下载: 导出CSV

    Table 2.  Photocatalytic oxidation of various sulfide substrates by Mg2Ti-ABTCa

    Entry Substrate Product Conversionb / % Selectivityc / %
    1 99 99
    2 90 99
    3 99 99
    4 82 99
    5 99 99
    6 91 99
    7 88 99
    8 75 99
    9 22 99
    10 59 99
    a Conditions: phenyl sulfides (0.3 mmol), Mg2Ti-ABTC (10 mg), MeOH (2.0 mL), air (1×105 Pa), room temperature environment with 10 W blue light (400 nm); b The conversion was determined by 1H NMR; c The byproducts were the corresponding sulfones.
    下载: 导出CSV
  • 加载中
计量
  • PDF下载量:  4
  • 文章访问数:  647
  • HTML全文浏览量:  44
文章相关
  • 发布日期:  2025-10-10
  • 收稿日期:  2025-04-22
  • 修回日期:  2025-08-25
通讯作者: 陈斌, bchen63@163.com
  • 1. 

    沈阳化工大学材料科学与工程学院 沈阳 110142

  1. 本站搜索
  2. 百度学术搜索
  3. 万方数据库搜索
  4. CNKI搜索

/

返回文章