红光诱导的锰羰基配合物释放一氧化碳性能

闰若惜 朱继开 韩丽霞 肖志音 姜秀娟 金晶

引用本文: 闰若惜, 朱继开, 韩丽霞, 肖志音, 姜秀娟, 金晶. 红光诱导的锰羰基配合物释放一氧化碳性能[J]. 无机化学学报, 2025, 41(12): 2575-2583. doi: 10.11862/CJIC.20250132 shu
Citation:  Ruoxi RUN, Jikai ZHU, Lixia HAN, Zhiyin XIAO, Xiujuan JIANG, Jing JIN. Red light-induced CO-release from manganese carbonyl complexes[J]. Chinese Journal of Inorganic Chemistry, 2025, 41(12): 2575-2583. doi: 10.11862/CJIC.20250132 shu

红光诱导的锰羰基配合物释放一氧化碳性能

    通讯作者: 姜秀娟, E⁃mail:jiangxj@mail.zjxu.edu.cn; 金晶, E⁃mail:jinjing@zjxu.edu.cn
  • 基金项目:

    国家自然科学基金 21807047

    国家自然科学基金 82104197

    浙江省自然科学基金 LY18H300006

    浙江省自然科学基金 bLY23B010002

    嘉兴市科技计划项目 2023AD11046

    国家级大学生创新训练项目 202510354043

    嘉兴大学大学生科研训练计划(SRT)项目 8517241201

    嘉兴市医学重点学科 2023-ZC-013

    嘉兴市泌尿系肿瘤精准诊治重点实验室 2020-mnzdsys

摘要: 采用一步合成法,以喹啉-2-甲醛、卤代苯胺和五羰基溴化锰为原料,合成了3个锰羰基配合物[Mn(CO)3(quino(CH=N)phX)Br],其中X=Cl (1)、Br (2)、I (3)。通过核磁共振、单晶X射线衍射、红外光谱及紫外可见光谱等技术对其结构进行了系统表征。研究表明,该系列配合物在避光条件下具有良好的稳定性,而在LED红光(λ=622~770 nm)照射下可快速分解并释放一氧化碳(CO),展现出低能量光响应特性。动力学研究显示,配合物释放CO过程符合一级动力学模型,且卤素取代基(Cl/Br/I)电子效应对反应速率具有显著调控作用。肌红蛋白实验进一步证实了配合物3在光照下可生成CO气体。生物相容性结果表明,该类配合物对癌细胞表现出显著的细胞毒性(IC50=2~13 μmol·L-1)。

English

  • 一氧化碳(CO)是一种有毒气体,常常被称为“无声杀手”。然而研究表明CO和一氧化氮(NO)一样,是生物体必不可少的信使分子,参与体内许多生理和病理过程[1-2]。随着对CO的深入研究,人们发现CO作为气体递质在体内不仅可以起到抗炎、抗细胞增殖与凋亡、抗氧化应激和抗凝血作用,也可以减少器官移植排斥反应,通过增加细胞内环磷酸鸟苷的含量来保护损伤的血管,对于心血管疾病的治疗具有巨大的潜力[3-6]。当哺乳动物体内的内源性CO代谢功能异常时会引起多种疾病的产生,如高血压、心力衰竭、老年痴呆、败血症、结肠炎和血管炎症[7-9]

    CO的高浓度毒性以及组织特异性不足阻碍了其在临床治疗上的应用。为了实现在组织中特定部位调控CO用量,一氧化碳释放剂(CO-releasing molecules,CORMs)作为一种潜在治疗药物引起了人们极大的兴趣[10-16]。相比直接吸入CO气体的给药方式,CORMs在临床治疗上具有众多优势,如可以避免由于CO浓度过高而产生的生物安全性问题,而且用量和用药时机可控。此外,CORMs分子结构可通过化学修饰和药物载体系统实现靶向递送,进而实现多功能与多目的治疗[17]。CORMs释放CO的方式有许多,较为常见的有光诱导[18-19]、酶诱导[20]、配体取代[21]和电磁加热[22]等。光诱导一氧化碳释放剂(photoCORMs)在合适的光源下可以定点定量释放CO,且无需引入其他物质,这使得其在临床应用中相较于其他CO释放方式具有显著优势。因此,photoCORMs现已成为一种很有前途的一氧化碳释放剂[10, 23-25]。文献报道的photoCORMs大部分采用的是短波长的紫外光,但紫外光对皮肤穿透力有限,且对人体有害,阻碍了其在临床上的实际应用,需要开发基于低能量可见光甚至近红外光的photoCORMs。

    锰是人体必需微量元素,其羰基配合物因优异的光响应特性被广泛用于构建photoCORMs。席夫碱作为具有生物活性的配体在配位化学领域具有重要地位,其金属配合物在生物医药领域展现出广阔应用前景[26]。本工作将具有较大共轭结构的芳香席夫碱配体引入锰羰基配合物中,预期可以赋予配合物良好的生物性能,并提高其光化学性能。我们采用一步法将五羰基溴化锰与不同卤代芳胺以及喹啉-2-甲醛在甲醇中回流,成功合成了含席夫碱配体的锰羰基配合物[Mn(CO)3(quino(CH=N)phX)Br],其中X=Cl (1)、Br (2)、I (3)。这些配合物在低能量LED红光照射下能够快速分解释放CO,展现出作为photoCORMs的应用潜力。

    喹啉-2-甲醛、对氯苯胺、对溴苯胺和对碘苯胺均购买于上海阿拉丁生化科技股份有限公司。[Mn(CO)5Br]购买于凯为化学科技有限试剂公司。肌红蛋白购买于上海弘顺生物科技有限公司。所有药品和试剂不经任何处理直接使用。

    实验中使用的仪器及型号:Varian 400-MR核磁共振仪(美国安捷伦公司)、Cary 640红外光谱仪(美国安捷伦公司)、Thermo EV201紫外可见光谱仪(赛默飞世尔科技公司)、Gemini X单晶衍射仪(Xcalibur,Eos)。

    将对氯苯胺(38 mg,0.3 mmol)和喹啉-2-甲醛(46 mg,0.3 mmol)置于25 mL圆底烧瓶中并加入5 mL甲醇溶解,然后在上述溶液中加入[MnBr(CO)5](82 mg,0.3 mmol)。该反应瓶在避光条件下回流10 h得到大量红色沉淀,待反应液冷却后抽滤,得到配合物1的红色粉末(产率81%)。取适量配合物1用二氯甲烷和正己烷重结晶得到红色晶体。1H NMR(400 MHz,DMSO-d6):δ 9.19(s,1H),8.83(d,J=14.4 Hz,2H),8.27(t,J=9.1 Hz,2H),8.14(s,1H),7.91(s,1H),7.68(d,J=8.1 Hz,2H),7.59(d,J=8.5 Hz,2H)。元素分析按C19H11BrClMnN2O3的计算值(%):C,47.00;H,2.28;N,5.77。实验值(%):C,47.23;H,2.05;N,5.34。FTIR(DMSO,cm-1):2 022,1 933,1 922。UV-Vis(DMSO,λmax/nm):263,348,490。

    配合物23的合成过程与1类似,只是用对溴苯胺和对碘苯胺分别代替对氯苯胺。产率分别为75%和80%。分别取适量配合物23用二氯甲烷和正己烷重结晶得到红色晶体。配合物2的表征结果:1H NMR(400 MHz,DMSO-d6):δ 9.23(s,1H),8.88(s,2H),8.31(s,2H),8.17(s,1H),7.94(s,1H),7.85(s,2H),7.57(s,2H)。元素分析按C19H11Br2MnN2O3的计算值(%):C,43.05;H,2.09;N,5.29。实验值(%):C,43.30;H,2.35;N,5.32。FTIR(DMSO,cm-1):2 022,1 933,1 922。UV-Vis(DMSO,λmax/nm):265,351,490。配合物3的表征结果:1H NMR(400 MHz,DMSO-d6):δ 9.21(s,1H),8.87(s,2H),8.30(d,J=9.3 Hz,2H),8.17(s,1H),8.01(s,2H),7.94(s,1H),7.42(s,2H)。元素分析按C19H11BrIMnN2O3的计算值(%):C,39.55;H,1.92;N,4.85。实验值(%):C,39.15;H,1.65;N, 4.62。FTIR(DMSO,cm-1):2 022, 1 933,1 922。UV-Vis(DMSO,λmax/nm):266,355,490。

    配合物1~3的单晶通过二氯甲烷/正己烷溶剂体系中缓慢扩散法培养获得。在光学显微镜(HSZ-700,HUVITZ)下挑选出尺寸合适的单晶样品,将其固定在Gemini X射线单晶衍射仪(Xcalibur,Eos)上。在293(2) K下,采用Mo 射线(λ=0.071 073 nm)以ω扫描模式收集衍射数据。使用CrysAlisPro软件进行数据还原,并采用ABSPACK进行半经验吸收校正。晶体结构解析采用Olex 2软件平台,通过ShelXT程序解析,并使用SHELXL程序进行精修。非氢原子均采用各向异性精修,氢原子通过理论加氢法生成并采用各向同性精修。

    红外光谱法:将配合物1(5 mg,0.01 mmol)溶于DMSO(3.0 mL)后装入棕色小瓶,在黑暗环境中以LED红光(622~770 nm,3 W)垂直照射(光源距离13 cm)。通过定时取样进行红外光谱分析监测反应进程。配合物23的光分解实验采用相同条件监测。配合物1在绿光下分解实验和上述实验过程一样,只是将光源换为LED绿光(490~577 nm,3 W)。

    可见光谱法:将配合物1的DMSO溶液(3 mL,6×10-5 mol·L-1)置于比色皿中,利用上述LED红光进行照射(方法同上),通过间隔不同时间测试其可见吸收光谱来进行反应监测。配合物23光照下分解的可见光谱变化监测方法和1类似。

    将浓度为60 μmol·L-1的马骨骼肌肌红蛋白的磷酸盐缓冲溶液(PBS,0.1 mol·L-1,pH=7.4)加入1 mL石英比色皿中,再加入过量连二亚硫酸钠(0.1%)使其还原为脱氧肌红蛋白,然后加入适量配合物3的DMSO溶液(配合物3最终浓度为20 μmol·L-1)。溶液上面覆盖一层液体石蜡(50 μL)防止CO逸出以及脱氧肌红蛋白氧化。将比色皿置于LED红光下照射(光源距离13 cm),通过定时检测脱氧肌红蛋白向碳氧肌红蛋白转化的紫外可见光谱变化监测CO释放过程。

    采用MTT法评估了配合物1~3在避光以及红光作用下对人膀胱癌细胞(RT112)的细胞毒性。具体步骤如下:将细胞以每孔5 000个的密度接种于96孔板,37 ℃贴壁培养24 h后,移去培养基,分别加入200 μL含不同浓度配合物的新鲜培养基。其中光照组使用LED红光灯(622~770 nm,3 W)垂直照射30 min,避光组与对照组(仅含0.1% DMSO)在暗室环境中操作。药物培养24 h后弃去培养基,每孔加入RPMI-1640培养液(40 μL,5 mg·mL-1)继续培养4 h,通过DMSO(每孔150 μL)溶解后用酶标仪于570 nm检测吸光度。每组设置6个平行复孔,细胞活性根据每个浓度的样品发色团吸光度计算。利用GraphPad Prism 5软件拟合Logistic曲线计算半数抑制浓度(IC50)。

    配合物1~3通过一步法合成(Scheme 1),以卤代苯胺、喹啉-2-甲醛和五羰基溴化锰为原料,在甲醇中回流制得。该合成方法无需单独合成席夫碱配体来制备锰羰基配合物,具有步骤简便且产率较高的优势。目标产物易溶于二氯甲烷和二甲亚砜,在暗处稳定但光敏性显著,遇光易分解,显示出作为photoCORMs的潜力。这些配合物通过核磁共振、红外光谱、紫外可见光谱以及单晶X射线衍射技术进行了表征。核磁共振氢谱结果(图S1~S3,Supporting information)表明,在配合物1~3中,席夫碱配体的CH=N信号出现在δ约为9.2处,喹啉环和苯环上的质子信号分别处于δ=8.8~7.9和δ=7.7~7.6范围内。红外光谱分析(图 1)显示这些配合物在2 022、1 933、1 922 cm-1处均呈现特征羰基振动峰,而且不同卤素取代基对羰基峰位置影响较小。紫外可见光谱(图 2)表明,配合物在250~650 nm范围内表现出较强紫外可见吸收,其吸收末端延伸至低能量红光区,预期可以作为低能量光诱导的CORMs。配合物在250~400 nm间的紫外吸收主要归因于席夫碱配体间的电荷跃迁(LLCT),并且随着卤素给电子能力的增强(Cl→Br→I),最大吸收发生轻微红移。配合物在可见光区的最大吸收均位于490 nm,主要归结为金属和配体间的电荷跃迁(MLCT),且卤素取代基对吸收峰位置基本无影响。因此,卤素基团的差异主要影响其LLCT跃迁,对MLCT跃迁影响不大,可能是由于配体中卤素基团与金属中心距离较远所致。总之,这些配合物在可见光区有一定强度吸收,而且可以延伸至低能量红光区,预期可以作为低能量光诱导的CORMs。

    Scheme 1

    Scheme 1.  Synthetic route of complexes 1-3

    图 1

    图 1.  配合物1~3在DMSO中的红外光谱图
    Figure 1.  IR spectra of complexes 1-3 in DMSO

    图 2

    图 2.  配合物1~3在DMSO中的紫外可见吸收光谱图
    Figure 2.  UV-Vis absorption spectra of complexes 1-3 in DMSO

    Inset: enlarged spectra in the 430-700 nm range.

    采用单晶X射线衍射技术对配合物1~3的结构进行了测定,其晶体学数据和结构精修参数见表S1,主要键长和键角参数见表S2。结构分析表明所有配合物的锰中心均呈现六配位的扭曲八面体构型(图 3),配位环境由3个羰基配体(CO)、1个溴离子(Br-)以及2个氮原子(N1、N2)构成。其中,N1来自喹啉环的吡啶氮原子,N2来源于席夫碱配体的亚胺基团(—CH=N—)。八面体的赤道平面由2个螯合氮原子(N1、N2)和2个羰基碳原子(C2、C3)组成,溴离子与另一个轴向羰基分别占据八面体的2个顶点位置。键长分析显示,轴向Mn—C键(Mn—C1)长度随卤素取代基变化呈现规律性递增趋势:0.179 8 nm(1,X=Cl) < 0.180 3 nm(2,X=Br) < 0.182 1 nm(3,X=I)。这种键长差异与卤素原子的电负性(Cl > Br > I)及配体给电子能力密切相关,预示着这些配合物随着Mn—C键长度的增加,其金属和羰基间化学键更容易断裂,导致其CO释放速率会更快,后文的红外和可见光谱实验结果也证实了这一点。

    图 3

    图 3.  配合物1 (a)、2 (b)和3 (c)的ORTEP图
    Figure 3.  ORTEP diagram of complexes 1 (a), 2 (b), and 3 (c)

    Thermal ellipsoids: 50%.

    如2.1节所述,配合物1~3的紫外可见光谱数据显示,其在可见光区域的吸收末端可以延伸至低能量红光区(图 2),预期在低能量红光作用下可以分解释放CO。为系统研究配合物1~3的光响应特性,本研究采用红外光谱技术实时监测了其在DMSO溶液中的光解行为。在避光条件下,配合物的羰基特征峰未发生显著变化,展现出优异的暗稳定性(图S4)。当采用LED红光(λ=622~770 nm)照射时,配合物羰基特征峰发生显著变化(图 4),其在2 022 cm-1处红外特征峰高度逐渐下降,而1 933和1 922 cm-1处羰基峰先下降,随后在1 919和1 894 cm-1处出现新峰,推测可能是归属于生成的反应中间体。该峰随着光照时间延长逐渐减弱,表明中间体的进一步分解。此外,这些配合物的紫外可见吸收光谱显示,其最大吸收波长位于490 nm附近,该区域对应较高能量的中短波长绿光区域,相较于红光(622~770 nm)有更高的光子能量。作为对照实验,选取配合物1考察其在LED绿光(490~577 nm)照射下的分解行为(图S5)。和预期一致,绿光激发下配合物的分解速率显著高于红光照射,仅需十几分钟即可实现完全分解。不同的是,配合物的羰基特征吸收峰强度随着照射时间延长逐渐减弱,全过程未出现新的特征吸收峰。这一现象的原因推测是由于绿光能量更高,促使配合物分解反应速率极快,导致反应中间体浓度极低或存在时间极短,难以通过常规光谱手段捕捉。

    图 4

    图 4.  在LED红光作用下, 配合物1~3的DMSO溶液的红外光谱随时间变化图
    Figure 4.  IR spectral variation of complexes 1-3 upon LED red light irradiation in DMSO

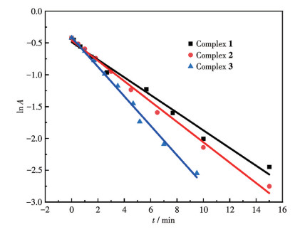
    此外又进一步研究了这些配合物分解的动力学过程。实验结果显示,吸光度的自然对数(ln A)与光照时间(t)呈现良好的线性相关性(R2 > 0.97),表明所有配合物的光解反应均符合一级动力学模型(图 5),其动力学数据见表 1。从表中可以看出,随着配体中卤素取代基给电子能力增强(Cl < Br < I),配合物的光解速率常数(k)呈现递增趋势(k1=0.031 min-1k2=0.047 min-1k3=0.054 min-1),对应半衰期(t1/2)分别为22、15和13 min。配合物1的反应半衰期约为2的1.5倍,为3的1.7倍。这一差异与卤素原子的电负性及配体给电子能力密切相关。单晶衍射数据显示,随着配体中卤素原子给电子能力增强(Cl < Br < I),亚胺氮原子与锰中心的配位键长(Mn—N)逐渐缩短(1:0.204 6 nm→2:0.204 2 nm→3:0.203 4 nm),而轴向羰基C与Mn的键长(Mn—C)则逐渐增长(1:0.179 8 nm→2:0.180 3 nm→3:0.182 1 nm)。这种键长变化趋势与配体给电子能力增强密切相关,即卤素给电子效应(I > Br > Cl)通过共轭体系传递至亚胺基团,增加其电子云密度,从而强化Mn—N配位作用;同时削弱Mn—C键的强度,使其在光激发下更易断裂。与本课题组前期报道的吡啶类衍生物[Mn(CO)3(pyCH=Nph-X)Br](t1/2=150~270 min)相比[27],本研究合成的喹啉基配合物光解速率在相同条件下提升约10倍。这一显著差异归因于喹啉基团的引入进一步增大了配体的共轭程度,有利于配合物中电子云密度的分散,进而降低其电子跃迁的轨道能量,导致可见吸收光谱发生40 nm红移(λmax从450 nm移动到490 nm),从而增强了低能量红光的吸收效率,导致其更容易在低能量红光下分解释放CO。动力学分析进一步证实,配合物1在绿光照射(490~577 nm)下的分解过程符合一级动力学模型(图S5),其反应速率常数(0.158 41 min-1)与半衰期(4.4 min)数据表明,该条件下的分解速率约为红光照射(622~770 nm)时的5倍。这一显著差异揭示,光源能量与配合物的分解效率呈正相关,即更高能量的绿光光子能够提供更强的激发能,促使金属羰基键(M—CO)更快速地断裂,进而加速配合物的光解进程。

    图 5

    图 5.  在LED红光照射下, 配合物1~3的DMSO溶液的红外光谱吸光度(2 022 cm-1处)的自然对数和时间的关系图
    Figure 5.  Logarithmic plots of the IR spectral absorbance at 2 022 cm-1 of complexes 1-3 against time upon LED red light irradiation in DMSO

    表 1

    表 1  通过红外光谱监测红光照射下配合物1~3在DMSO中分解的动力学数据
    Table 1.  Kinetic data of the decomposition of complexes 1-3 in DMSO under LED red light irradiation monitored by infrared spectroscopy
    下载: 导出CSV
    Complex k / min-1 t1/2 / min R2
    1 0.031 22 0.97
    2 0.047 15 0.99
    3 0.054 13 0.98

    进一步通过可见光谱(监测范围:400~800 nm)技术系统研究了配合物光降解过程中可见吸收峰的变化情况(图 6)。实验结果显示,在LED红光(λ=622~770 nm)照射下,所有配合物的最大吸收峰(λmax=490 nm)呈现指数衰减特征,其强度随光照时间延长显著降低。同时,在660 nm附近出现较宽的弱吸收带,推测该吸收带归属于溶剂取代的二羰基锰物种[Mn(CO)2(L)(solvent)Br](L=席夫碱配体)的d-d跃迁。该吸收带强度随光照时间延长逐渐减弱直至完全消失,表明配合物完全分解。该光谱行为与上述红外光谱分析结果高度吻合,均证实光解过程中生成了具有特征吸收的反应中间体。动力学分析显示(图 7),配合物在490 nm处的吸光度变化符合一级动力学模型(R2 > 0.97),其速率常数(kvis)随卤素取代基变化呈现规律性差异(表 2):配合物3的光解速率常数(0.232 min-1)分别为配合物1(0.139 min-1)的1.7倍和配合物2(0.160 min-1)的1.4倍。该趋势与红外光谱揭示的卤素取代基电子效应变化规律一致,有力佐证了卤素取代基对光解动力学的调控作用。需要注意的是,红外光谱(振动跃迁)与紫外可见光谱(电子跃迁)因分子激发机制不同,对配合物分解过程中关键化学物种的响应敏感性存在根本区别,故二者测得的分解速率常数会有明显差异,但所呈现的总体变化规律仍具有一致性。

    图 6

    图 6.  在红光作用下配合物1~3的DMSO溶液的可见吸收光谱变化图
    Figure 6.  Changes of the visible absorption spectra of complexes 1-3 under red light in DMSO

    图 7

    图 7.  在LED红光照射下配合物1~3的DMSO溶液的可见光谱吸光度(490 nm处)的自然对数和时间的关系图
    Figure 7.  Logarithmic plots of the visible spectral absorbance at 490 nm of complexes 1-3 against time upon LED red light irradiation in DMSO

    表 2

    表 2  通过可见吸收光谱监测红光照射下配合物1~3在DMSO中分解的动力学数据
    Table 2.  Kinetic data of the decomposition of complexes 1-3 in DMSO under LED red light irradiation monitored by visible absorption spectrum
    下载: 导出CSV
    Complex kvis / min-1 t1/2, vis / min R2
    1 0.139 5 0.98
    2 0.160 4 0.99
    3 0.232 3 0.99

    为了定性分析锰羰基配合物的CO释放性能,选取配合物3为代表,通过肌红蛋白法研究了其在红光作用下的分解情况。避光条件下,在连二亚硫酸钠还原剂存在时,脱氧肌红蛋白溶液的Q带保持稳定,证实配合物3具有优异的暗稳定性(图S6)。当该溶液用LED红光照射时,其脱氧肌红蛋白在560 nm处的吸收峰快速下降并在540和577 nm处产生2个马鞍形吸收峰,即为碳氧肌红蛋白特征峰(图 8)。该结果表明光激发促使锰配合物分解释放CO,释放的CO随即与脱氧肌红蛋白(deoxy-Mb)结合生成碳氧肌红蛋白(Mb-CO),直接证实了该配合物具备光诱导释放CO能力。

    图 8

    图 8.  在LED红光作用下, 脱氧肌红蛋白溶液中加入配合物3后可见光谱吸光度随时间变化图
    Figure 8.  Changes of the visible spectral absorbance of myoglobin under LED red light irradiation after the addition of complex 3

    Conditions: 20 mmol·L-1 of complex 3 in PBS (0.1 mol·L-1, pH=7.4), 1% sodium dithionite.

    为了评估锰羰基配合物的生物相容性,本研究分别考察了其在避光条件与红光照射下的细胞毒性差异。实验结果显示,这些配合物在避光条件下均表现出显著的细胞毒性(图S7和S8),其IC50范围为2~13 μmol·L-1(表 3)。进一步分析取代基效应发现,卤素取代基按照Cl→Br→I顺序,其配合物细胞毒性呈现递增趋势。这种结构与毒性关系的建立,可以为后续配合物的分子设计提供重要理论依据。另外,在红光照射下这些配合物的细胞毒性未观察到显著变化,表明该类配合物的毒性作用主要源于其自身分子结构,而非光照过程。尽管这类配合物没有很好的生物相容性,但其表现出的高效细胞毒性特征,提示其在抗癌药物开发领域具有潜在应用价值。

    表 3

    表 3  配合物1~3在避光和LED红光作用下的细胞毒性
    Table 3.  Cytotoxicity of complexes 1-3 under dark conditions and LED red light irradiation
    下载: 导出CSV
    Complex IC50 / (μmol·L-1)
    Dark Red light
    1 12.86 13.44
    2 8.27 12.61
    3 2.48 2.83

    本研究采用一步合成策略,以喹啉-2-甲醛、卤代芳胺和五羰基溴化锰为原料,成功制备了3种含芳香席夫碱配体的锰羰基配合物[Mn(CO)3(quino(CH=N)phX)Br],其中X=Cl (1)、Br (2)、I (3)。这些配合物在LED红光照射下可快速分解释放CO,其半衰期约为20 min,展现出作为低能量红光诱导的一氧化碳释放剂的应用潜力。光谱分析结果表明其CO释放过程符合一级动力学反应模型,而且卤素取代基的电子效应可显著影响光解反应速率。这种取代基效应与卤素原子的给电子能力(I > Br > Cl)呈现正相关性,为基于量子化学计算的分子设计优化提供了重要的构效关系依据。肌红蛋白实验进一步证实了配合物分解过程中CO气体的生成。生物相容性结果显示这些配合物具有较高细胞毒性,有望作为潜在的抗癌药物。


    Supporting information is available at http://www.wjhxxb.cn
    1. [1]

      MOTTERLINI R, CLARK J E, FORESTI R, SARATHCHANDRA P, MANN B E, GREEN C J. Carbon monoxide-releasing molecules‒Characterization of biochemical and vascular activities[J]. Circ. Res., 2002, 90(2): E17-E24

    2. [2]

      MARKS G S, BRIEN J F, NAKATSU K, MCLAUGHLIN B E. Does carbon monoxide have a physiological function?[J]. Trends Pharmacol. Sci., 1991, 12: 185-188 doi: 10.1016/0165-6147(91)90544-3

    3. [3]

      OTTERBEIN L E, ZUCKERBRAUN B S, HAGA M, LIU F, SONG R, USHEVA A, STACHULAK C, BODYAK N, SMITH R N, CSIZMADIA E, TYAGI S, AKAMATSU Y, FLAVELL R J, BILLIAR T R, TZENG E, BACH F H, CHOI A M, SOARES M P. Carbon monoxide suppresses arteriosclerotic lesions associated with chronic graft rejection and with balloon injury[J]. Nat. Med., 2003, 9(2): 183-190 doi: 10.1038/nm817

    4. [4]

      NETO J S, NAKAO A, KIMIZUKA K, ROMANOSKY A J, STOLZ D B, UCHIYAMA T, NALESNIK M A, OTTERBEIN L E, MURASE N. Protection of transplant-induced renal ischemia-reperfusion injury with carbon monoxide[J]. Am. J. Physiol. ‒Renal Physiol., 2004, 287(5): F979-F989 doi: 10.1152/ajprenal.00158.2004

    5. [5]

      MOTTERLINI R, OTTERBEIN L E. The therapeutic potential of carbon monoxide[J]. Nat. Rev. Drug Discov., 2010, 9(9): 728-743 doi: 10.1038/nrd3228

    6. [6]

      WU M L, HO Y C, YET S F. A central role of heme oxygenase-1 in cardiovascular protection[J]. Antioxid. Redox Signal., 2011, 15(7): 1835-1846 doi: 10.1089/ars.2010.3726

    7. [7]

      WU L Y, WANG R. Carbon monoxide: Endogenous production, physiological functions, and pharmacological applications[J]. Pharmacol. Rev., 2005, 57(4): 585-630

    8. [8]

      SCHATZSCHNEIDER U. Novel lead structures and activation mechanisms for CO-releasing molecules (CORMs)[J]. Brit. J. Pharmacol., 2015, 172(6): 1638-1650 doi: 10.1111/bph.12688

    9. [9]

      HALILOVIC A, PATIL K A, BELLNER L, MARRAZZO G, CASTELLANO K, CULLARO G, DUNN M W, SCHWARTZMAN M L. Knockdown of heme oxygenase-2 impairs corneal epithelial cell wound healing[J]. J. Cell. Physiol., 2011, 226(7): 1732-1740 doi: 10.1002/jcp.22502

    10. [10]

      MANSOUR A M, KHALED R M, SHEHAB O R. A comprehensive survey of Mn(Ⅰ) carbonyls as CO-releasing molecules reported over the last two decades[J]. Dalton Trans., 2024, 53(48): 19022-19057 doi: 10.1039/D4DT02091J

    11. [11]

      MANSOUR A M, KHALED R M, FERRARO G, SHEHAB O R, MERLINO A. Metal-based carbon monoxide releasing molecules with promising cytotoxic properties[J]. Dalton Trans., 2024, 53(23): 9612-9656 doi: 10.1039/D4DT00087K

    12. [12]

      BAG G, MUSIB D, RAZA M K, CASTONGUAY A, ROY M. Recent advances on the photo-chemotherapeutic potential of manganese carbonyl complexes[J]. Polyhedron, 2024, 249: 116778 doi: 10.1016/j.poly.2023.116778

    13. [13]

      KHAN H, FAIZAN M, NIAZI S U K, MUHAMMAD M N, ZHANG W. Water-soluble carbon monoxide-releasing molecules (CORMs)[J]. Top. Curr. Chem., 2023, 381(1): 3

    14. [14]

      ADACH W, BŁASZCZYK M, OLAS B. Carbon monoxide and its donors‒Chemical and biological properties[J]. Chem. ‒Biol. Interact., 2020, 318: 108973 doi: 10.1016/j.cbi.2020.108973

    15. [15]

      YAN H, DU J, ZHU S, NIE G, ZHANG H, GU Z, ZHAO Y. Emerging delivery strategies of carbon monoxide for therapeutic applications: From CO gas to CO releasing nanomaterials[J]. Small, 2019, 15(49): 1904382 doi: 10.1002/smll.201904382

    16. [16]

      FORD P C. Metal complex strategies for photo-uncaging the small molecule bioregulators nitric oxide and carbon monoxide[J]. Coord. Chem. Rev., 2018, 376: 548-564

    17. [17]

      LIU J, LI R S, HE M, XU Z, XU L Q, KANG Y, XUE P. Multifunctional SGQDs-CORM@HA nanosheets for bacterial eradication through cascade-activated "nanoknife" effect and photodynamic/CO gas therapy[J]. Biomaterials, 2021, 277: 121084

    18. [18]

      MEDE R, LORETT-VELASQUEZ V P, KLEIN M, GOERLS H, SCHMITT M, GESSNER G, HEINEMANN S H, POPP J, WESTERHAUSEN M. Carbon monoxide release properties and molecular structures of phenylthiolatomanganese(Ⅰ) carbonyl complexes of the type (OC)4Mn(μ-S-aryl)2[J]. Dalton Trans., 2015, 44(7): 3020-3033

    19. [19]

      NOMURA N, TANAKA S, HIROTSU M, NISHIOKA T, NAKAJIMA H. Red-light responsive photoCORM activated in aqueous acid solution[J]. J. Organomet. Chem., 2023, 984: 122578

    20. [20]

      HEMMERSBACH L, ADAM R, PLEVNALI C, ZHANG X, YARD B, SCHMALZ H G. Synthesis of bifunctional lipoxin-derived enzyme-triggered CO-releasing molecules (LipET-CORMs)[J]. Eur. J. Org. Chem., 2023, 26(9): e202201424

    21. [21]

      JIANG X J, LONG L, WANG H L, CHEN L M, LIU X M. Diiron hexacarbonyl complexes as potential CO-RMs: CO-releasing initiated by a substitution reaction with cysteamine and structural correlation to the bridging linkage[J]. Dalton Trans., 2014, 43(26): 9968-9975

    22. [22]

      KUNZ P C, MEYER H, BARTHEL J, SOLLAZZO S, SCHMIDT A M, JANIAK C. Metal carbonyls supported on iron oxide nanoparticles to trigger the CO-gasotransmitter release by magnetic heating[J]. Chem. Commun., 2013, 49(43): 4896-4898

    23. [23]

      KOTTELAT E, FABIO Z. Visible light-activated PhotoCORMs[J]. Inorganics, 2017, 5(2): 692-710

    24. [24]

      PIERRI A E, MUIZZI D A, OSTROWSKI A D, FORD P C. Photo-controlled release of NO and CO with inorganic and organometallic complexes//LO K K W. Luminescent and photoactive transition metal complexes as biomolecular probes and cellular reagents. Structure and bonding: Vol. 165[M/OL]. Berlin, Heidelberg: Springer, 2015: 1-45 [2025-10-15]. https://doi.org/10.1007/430_2014_164

    25. [25]

      KHALED R M, FRIEDRICH A, RAGHEB M A, ABDEL-GHANI N T, MANSOUR A M. Cytotoxicity of photoactivatable bromo tricarbonyl manganese(Ⅰ) compounds against human liver carcinoma cells[J]. Dalton Trans., 2020, 49(27): 9294-9305

    26. [26]

      CATALANO A, SINICROPI M S, IACOPETTA D, CERAMELLA J, MARICONDA A, ROSANO C, SCALI E, SATURNINO C, LONGO P. A review on the advancements in the field of metal complexes with Schiff bases as antiproliferative agents[J]. Appl. Sci. ‒Basel, 2021, 11(13): 6027

    27. [27]

      王雪梅, 张俊蝶, 金晶, 李卓芹, 马明慧, 汪慧云, 姜秀娟, 刘小明. 基于席夫碱配体的锰羰基配合物可见光诱导释放一氧化碳性能[J]. 无机化学学报, 2023, 39(4): 680-688.WANG X M, ZHANG J D, JIN J, LI Z Q, MA M H, WANG H Y, JIANG X J, LIU X M. Visible light-induced CO-release from manganese carbonyl complexes based on Schiff base ligand[J]. Chinese J. Inorg. Chem., 2023, 39(4): 680-688

  • Scheme 1  Synthetic route of complexes 1-3

    图 1  配合物1~3在DMSO中的红外光谱图

    Figure 1  IR spectra of complexes 1-3 in DMSO

    图 2  配合物1~3在DMSO中的紫外可见吸收光谱图

    Figure 2  UV-Vis absorption spectra of complexes 1-3 in DMSO

    Inset: enlarged spectra in the 430-700 nm range.

    图 3  配合物1 (a)、2 (b)和3 (c)的ORTEP图

    Figure 3  ORTEP diagram of complexes 1 (a), 2 (b), and 3 (c)

    Thermal ellipsoids: 50%.

    图 4  在LED红光作用下, 配合物1~3的DMSO溶液的红外光谱随时间变化图

    Figure 4  IR spectral variation of complexes 1-3 upon LED red light irradiation in DMSO

    图 5  在LED红光照射下, 配合物1~3的DMSO溶液的红外光谱吸光度(2 022 cm-1处)的自然对数和时间的关系图

    Figure 5  Logarithmic plots of the IR spectral absorbance at 2 022 cm-1 of complexes 1-3 against time upon LED red light irradiation in DMSO

    图 6  在红光作用下配合物1~3的DMSO溶液的可见吸收光谱变化图

    Figure 6  Changes of the visible absorption spectra of complexes 1-3 under red light in DMSO

    图 7  在LED红光照射下配合物1~3的DMSO溶液的可见光谱吸光度(490 nm处)的自然对数和时间的关系图

    Figure 7  Logarithmic plots of the visible spectral absorbance at 490 nm of complexes 1-3 against time upon LED red light irradiation in DMSO

    图 8  在LED红光作用下, 脱氧肌红蛋白溶液中加入配合物3后可见光谱吸光度随时间变化图

    Figure 8  Changes of the visible spectral absorbance of myoglobin under LED red light irradiation after the addition of complex 3

    Conditions: 20 mmol·L-1 of complex 3 in PBS (0.1 mol·L-1, pH=7.4), 1% sodium dithionite.

    表 1  通过红外光谱监测红光照射下配合物1~3在DMSO中分解的动力学数据

    Table 1.  Kinetic data of the decomposition of complexes 1-3 in DMSO under LED red light irradiation monitored by infrared spectroscopy

    Complex k / min-1 t1/2 / min R2
    1 0.031 22 0.97
    2 0.047 15 0.99
    3 0.054 13 0.98
    下载: 导出CSV

    表 2  通过可见吸收光谱监测红光照射下配合物1~3在DMSO中分解的动力学数据

    Table 2.  Kinetic data of the decomposition of complexes 1-3 in DMSO under LED red light irradiation monitored by visible absorption spectrum

    Complex kvis / min-1 t1/2, vis / min R2
    1 0.139 5 0.98
    2 0.160 4 0.99
    3 0.232 3 0.99
    下载: 导出CSV

    表 3  配合物1~3在避光和LED红光作用下的细胞毒性

    Table 3.  Cytotoxicity of complexes 1-3 under dark conditions and LED red light irradiation

    Complex IC50 / (μmol·L-1)
    Dark Red light
    1 12.86 13.44
    2 8.27 12.61
    3 2.48 2.83
    下载: 导出CSV
  • 加载中
计量
  • PDF下载量:  1
  • 文章访问数:  63
  • HTML全文浏览量:  11
文章相关
  • 发布日期:  2025-12-10
  • 收稿日期:  2025-04-18
  • 修回日期:  2025-10-10
通讯作者: 陈斌, bchen63@163.com
  • 1. 

    沈阳化工大学材料科学与工程学院 沈阳 110142

  1. 本站搜索
  2. 百度学术搜索
  3. 万方数据库搜索
  4. CNKI搜索

/

返回文章