Citation: Cuiping HE, Zhuxuan LI, Yuqing SUN, Jie LIU, Shicheng XU, Zhanchao WU. Ca2+ doping induced crystal phase transition and spectral regulation of Ba3P4O13: Eu2+ phosphor[J]. Chinese Journal of Inorganic Chemistry, 2025, 41(11): 2299-2306. doi: 10.11862/CJIC.20250074
Ca2+掺杂诱导Ba3P4O13: Eu2+荧光粉的晶相转变与光谱调控
English
Ca2+ doping induced crystal phase transition and spectral regulation of Ba3P4O13: Eu2+ phosphor
-
Key words:
- phosphor
- / phosphate
- / spectral regulation
- / crystal-phase transformation
-
0. 引言
在当今科技飞速发展的时代下,荧光粉作为一种能够将激发能量转化为可见光发射的功能材料,在照明、显示、生物医学、光学传感等众多领域发挥着不可或缺的作用[1-2]。在照明领域,为了营造舒适、清晰的视觉环境,人们渴望更高能效、更接近自然光且显色性极佳的光源。这一需求有力推动着荧光粉在发光效率、光谱特性等方面不断实现优化升级。荧光粉的性能本质上取决于其微观晶体结构,而晶相转变作为一种能够从根本上改变晶体结构的物理现象,为实现荧光粉性能的精准调控和创新突破提供了一条有效的途径。晶相转变策略是通过在已知物相中引入外来离子,诱导物质发生晶相结构转变,从而实现发光性能调控和优化的方法[3-4]。Li等成功合成了Ca1-xSrxSc2O4∶Ce3+固溶体荧光粉。以该固溶体为例,其基质材料为具有正交晶体结构的CaSc2O4。通过引入不同浓度的Sr2+,对其结构进行精修后发现,该固溶体的晶胞体积随Sr2+浓度的增加呈递增趋势,从而诱发了晶相转变。然而,掺杂后的晶体仍然属于正交晶系,这表明Sr2+取代Ca2+进入了主晶格。在此基础上,以掺杂后的SrSc2O4为基质材料,引入不同浓度的Ce3+合成了Sr1-ySc2O4∶yCe3+系列荧光粉。研究结果表明,在掺杂浓度y=0.01~0.07时,Sr1-ySc2O4∶yCe3+与SrSc2O4的X射线衍射(XRD)图相互匹配,没有产生杂质相。值得注意的是,当y≤0.04时,Sr1-ySc2O4∶yCe3+衍射峰的位置向小角度偏移;而当y > 0.04时,Sr1-ySc2O4∶yCe3+衍射峰的位置向大角度偏移。这表明在合成的荧光粉中,当y≤0.04时,Ce3+取代了基质中Sc3+的位置;而当y > 0.04时,Ce3+又部分占据了Sr2+的位置。在基质中离子不断被Ce3+取代的过程中,晶相发生改变,晶体场分裂以及离子占位也随之产生变化,这成功实现了发射光谱从绿色到青色的可调谐,同时材料的热稳定性也得到了大幅提升[5]。近年来磷酸盐基质被广泛研究,其中Ba3P4O13因其具有合成温度低、稳定性高、工艺流程简单、成本低等优点受到众多研究人员的关注。据报道Ba3P4O13存在2个晶相,即低温相和高温相[6]。Wu等发现通过增加Eu2+浓度可以实现Ba3P4O13∶Eu2+从低温相到高温相的转变,相转变的温度为875 ℃,Ba3P4O13∶Eu2+荧光粉中Eu2+的掺杂不仅可作为荧光粉的激活剂,而且还导致了荧光粉晶相的转变。随着荧光粉晶相由低温相向高温相转变,发光中心Eu2+周围的晶体场环境也发生了相应的变化,成功地将Ba3P4O13∶Eu2+的发光颜色从蓝色调控到穿过白色区域的黄色[7]。
本研究中,我们选择了与基质中Ba2+带有相同电荷但半径却相差较大的同主族元素Ca2+作为掺杂元素,旨在探究半径差异对Ba3P4O13∶Eu2+结构的调控机制。我们采用高温固相法在850 ℃下合成了一系列Ba2.991-3xP4O13∶0.009Eu2+,3xCa2+(x=0.000~0.040)荧光粉。随后,我们讨论了不同浓度的Ca2+掺杂对Ba3P4O13∶Eu2+荧光粉晶相转变的影响,并针对Ca2+诱导荧光粉晶相转变后的光谱调控情况展开了研究。此外,还借助变温光谱探究了合成荧光粉的热稳定性。
1. 实验部分
1.1 实验材料
实验主要试剂包括BaCO3(分析纯,中国医药上海化学试剂公司)、CaCO3(分析纯,国药集团化学试剂有限公司)、NH4H2PO4(分析纯,国药集团化学试剂有限公司)和Eu2O3(高纯试剂,国药集团化学试剂有限公司)。
1.2 样品的制备
采用高温固相法在850 ℃下合成了Ba2.991-3xP4O13∶0.009Eu2+,3xCa2+(x=0.000~0.040)荧光粉。以BaCO3、CaCO3、NH4H2PO4和Eu2O3为原料,通过化学计量比计算得到各个原料的准确用量,将原料在分析天平上进行精确称量,误差控制在0.000 3 g以内;把准确称量的原料混合并转移到玛瑙研钵中,在研钵中充分研磨直至粉体混合均匀;将均匀的粉体混合物转移到刚玉坩埚中,并放入箱式电阻炉中设置程序升温,在还原气氛(CO)中升温3 h,并在850 ℃下保温4 h后关闭电阻炉,使其自然冷却至室温;将制备的样品进行二次研磨并在干燥环境中保存,最终得到Ba2.991-3xP4O13∶0.009Eu2+,3xCa2+荧光粉。
1.3 样品的表征测试
荧光粉的结构表征通过日本理学株式会社的X射线衍射仪(D/MAX 2500/PC,Cu Kα为辐射源,λ=0.154 nm,2θ=10°~60°,工作电压为40 kV,工作电流为150 mA)进行测定。荧光粉在室温下的激发光谱和光致发光光谱通过HITACHI F7000荧光光谱仪进行测定,氙灯作为激发源,光电倍增管电压为600 V。不同温度下的热稳定性发射光谱通过相同的光谱仪外加加热控制器进行测试。
2. 结果与讨论
2.1 荧光粉的XRD分析
将不同Ca2+浓度的Ba2.991-3xP4O13∶0.009Eu2+,3xCa2+荧光粉进行XRD测试,结果如图 1所示。当Ca2+的掺杂浓度为0.000时,样品的主要衍射峰与低温相的Ba3P4O13(LT-Ba3P4O13)标准卡片(PDF No.79-1530)匹配良好,同时,检测到了少量高温相的衍射峰。鉴于制备温度(850 ℃)低于生成高温相及相转变温度阈值,且Eu2+的掺杂浓度(物质的量分数)固定为0.3%,可知Eu2+的引入未引起基质晶格的变化。但随着Ca2+取代浓度的增加,XRD峰的强度和位置开始出现变化,2θ在25°~30°之间的主峰强度逐渐减弱并发散,在23°左右的低温相特征峰强度逐渐降低;与此同时,高温相的特征峰(用*标出)强度则逐渐增加。在x=0.008~0.030区间内,衍射峰出现兼具低温相和高温相特征衍射峰的特点。当x=0.040时,XRD峰与高温相Ba3P4O13(HT-Ba3P4O13)的标准卡片(PDF No.12-0689)匹配较好,低温相的特征峰基本消失。这一系列衍射峰的变化表明,Ca2+浓度的增加引发了低温相Ba3P4O13到高温相Ba3P4O13的相转变过程。在本研究中,我们的制备温度(850 ℃)均未达到生成高温相及相转变温度阈值。然而,XRD结果证实,引入Ca2+会增加晶格无序性,并使晶体结构实现由低温相到高温相的规律变化。进一步探究发现,过渡态的荧光粉是一种固溶体,其中高温相和低温相同时存在。
图 1
图 1. Ba2.991-3xP4O13∶0.009Eu2+, 3xCa2+的XRD图Figure 1. XRD patterns of Ba2.991-3xP4O13∶0.009Eu2+, 3xCa2+ "低温相Ba3P4O13属于三斜晶系,空间群为P1,晶胞参数a=0.575 7 nm、b=0.724 3 nm、c=0.810 0 nm、α=82.75°、β=73.94°、γ=70.71°。而高温相Ba3P4O13为正交晶系,空间群为Pbcm或Pbc2,晶胞参数a=0.710 7 nm、b=1.388 3 nm、c=1.921 9 nm。低温相Ba3P4O13结构由4个顶点共享的P-O四面体构成,结构中包含2个不同的晶格位点,分别是八配位的Ba1和七配位的Ba2。Ba1—O的键长为0.282 nm,Ba2—O的键长为0.276 nm。Ca2+的离子半径和价态与Ba2+较相似,因此在基质中掺杂部分Ca2+后,Ca2+会取代部分Ba2+的位点。通常情况下,阳离子的有效半径与离子的配位数CN密切相关[8],当CN=7时,离子半径
=0.138 nm,$ \begin{equation} R_{\mathrm{Ba}^{2+}} \end{equation}$ =0.106 nm;当CN=8时,$ \begin{equation} R_{\mathrm{Ca}^{2+}} \end{equation}$ =0.142 nm,$ \begin{equation} R_{\mathrm{Ba}^{2+}} \end{equation}$ =0.112 nm[9]。相同的价态和相似的离子半径使得Ca2+部分占据Ba2+的晶格位点,2个离子之间的半径差促进了高温相的生成。$ \begin{equation} R_{\mathrm{Ca}^{2+}} \end{equation}$ 2.2 荧光粉的发光性质
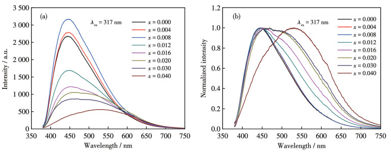
我们对合成的一系列荧光粉进行了光致发光测试。图 2a为不同掺杂浓度的荧光粉在317 nm的激发波长下的室温发射光谱图,所有的谱图在400~650 nm范围内呈宽峰发射,这归因于Eu2+的4f 65d-4f7的允许跃迁。随着x的增加,光谱发射峰的发光强度先增加,在0.008时达到最大值,随后下降,主峰也发生了红移。为了进一步探索发射光谱移动的规律,我们将发射光谱强度进行了归一化处理,结果如图 2b所示。当Ca2+浓度为0时,发射峰为一个不对称的宽峰发射,主峰在450 nm,为低温相Ba3P4O13∶Eu2+荧光粉引起的特征发射。这种不对称的发射峰源于Ba3P4O13基质中的Ba具有2个不同配位环境的晶格位点。2种晶格位点的晶体场配位环境相似,导致了Eu2+占据2个位点以后的发射光谱重叠。但是,随着x的增加,光谱的范围变宽,高温相的Ba3P4O13∶Eu2+荧光粉的特征峰出现,且随着x的增加,强度越来越高;当x=0.030时,荧光粉的发射光谱变化为2个区分明显、强度相当的发射峰,主峰分别在450和500 nm左右,这说明此时的产物中,高温相的发射和低温相的发射同时存在。当x增加到0.040时,由低温相引发的位于450 nm的蓝光发射峰基本消失。这表明,大部分低温相已经转化为高温相。与此同时,高温相引起的发射峰变得极为明显,其主峰位于530 nm,呈现出对称的宽带发射特征。这一结果与Li等[10]报道的high-Ba3P4O13∶Eu2+荧光粉的发射峰略微差别。推测出现这种差异的原因可能是,在当前条件下低温相并没有完全转化为高温相,产物的发射光谱中还有少量低温相的发射峰,进而致使主峰发生了轻微蓝移,这也可以从XRD物相分析结果中得到印证。
图 2
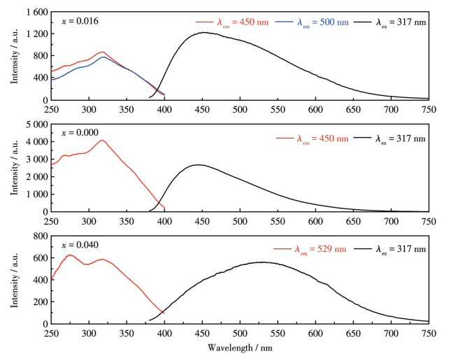
图 3为Ba2.991-3xP4O13∶0.009Eu2+,3xCa2+(x=0.000、0.016、0.040)荧光粉的激发和发射光谱图,其中Ba2.991P4O13∶0.009Eu2+荧光粉的激发峰为250~400 nm近紫外区域的宽带激发,主峰为317 nm。这种大范围的宽带激发与Ba3P4O13基质复杂的晶体场环境和Eu2+占据不同的位点有关[11],同时发射光谱为不对称的蓝光发射峰。然而,相较于x=0.000时,Ba2.871P4O13∶0.009Eu2+,0.120Ca2+荧光粉的激发光谱发生了很大的变化。原本位于317 nm处的强激发峰减弱,同时主峰移动至270 nm的短波长处。这种激发峰的移动现象,是由于Ca2+的引入促使高温相生成,进而导致晶体结构中多面体的变形性增强、结构无序性加剧,最终对Eu2+的跃迁造成了影响。而Ba2.943P4O13∶0.009Eu2+,0.048Ca2+荧光粉在317 nm处的激发峰强度下降,激发和发射光谱同时具有低温相和高温相的激发光谱特性,这表明此时的荧光粉正处于晶相转变的中间阶段。
图 3
荧光粉光谱的变化与其结构的改变密切相关。在本实验中,合成温度设定为850 ℃,当没有Ca2+取代时,生成的是呈现纯蓝光发射特性的低温相,但是随着Ca2+取代浓度的增加,晶相的转变过程依次经历低温相、混合相,最终到达高温相。与此同时,发射峰的形状和主峰都发生了对应的变化。在此过程中,Eu2+的浓度固定不变,Ca2+的引入是导致晶相转变的主要原因。如前文所述,Ca2+的半径(0.106 nm)小于Ba2+(0.134 nm),当半径较小的离子取代基质晶体结构中半径较大的离子时,会引起基质局部结构中的晶胞收缩,同时会缩短Eu—O的键长,从而由结构较疏松的低温相转变为结构较紧密的高温相。这种源于化学成分变化的相转变被称为化学压效应。利用这种通过晶相转变达到光谱调控的方法,在探索与发现新功能材料,调节无机荧光粉的光致发光等方面展现出了极高的有效性[12-13]。
2.3 荧光粉的热稳定性
荧光粉的热稳定性对荧光粉在白光LED中的应用至关重要。这是因为荧光粉要涂敷在LED芯片上,LED芯片产生的热量不仅会对芯片本身产生影响,也会对荧光粉的发光性质产生影响[14]。因此,我们在300~475 K的范围内测试了Ba2.991-3xP4O13∶0.009Eu2+,3xCa2+(x=0.000、0.016、0.040)荧光粉在不同温度下的发射光谱。图 4a为Ba2.991P4O13∶0.009Eu2+荧光粉在不同温度下的发射光谱,从图中可以发现,发射峰的强度随着温度的增加呈现持续递减的变化趋势,这种现象是荧光粉的热猝灭效应(TQ)引起。图 4b和4c为Ba2.991-3xP4O13∶0.009Eu2+,3xCa2+(x=0.040、0.016)荧光粉在不同温度下的发射光谱。从图中可以看出,这些发射光谱均呈现出相同的递减趋势。
图 4
据报道,荧光粉的TQ主要源于温度相关的电子与声子之间的相互作用。荧光粉的温度猝灭可用2种公认的机理来解释:Dorenbos自电离模型和热激活交叉效应[15]。在自电离模型理论中,电子通过热激活到达基质的导带,进而转变为离域化自由移动的电子。随后,这些电子可通过导带上的电子-空穴复合[16]等方式进行非辐射跃迁,最后致使发光强度降低。不过,该理论仅适用于稀土离子的5d能级的位置相较于5d-4f交叉点更接近荧光粉基质导带最小值的情况,因而存在一定的局限性。我们合成的荧光粉的温度猝灭可用热激活交叉效应进行解释。如图 5a所示,电子吸收能量从4f基态跃迁到5d激发态,激发的电子通过辐射跃迁返回到基态,产生发射。但是当温度到达一定值时,强烈的振动使得电子被进一步激发到4f-5d能级交叉点,并通过非辐射的方式释放到基态,使得部分能量损失,这就是制备的荧光粉发光强度随温度上升又下降的原因。TQ发生的概率强烈地依赖于猝灭势垒,即活化能(Ea)。电子在被加热以克服Ea势垒时需要吸收能量,Ea越大,越难跨越势垒,荧光粉越稳定。Ea可以通过下面的Arrhenius公式进行计算。
$ \begin{equation} I_T=\frac{I_0}{1+c \exp \left(-\frac{E_{\mathrm{a}}}{k T}\right)} \end{equation} $ (1) 图 5
公式中I0和IT分别为在300 K(室温)和测试温度(T)下发射光谱的积分强度;c为常数;k为玻尔兹曼常数(8.62×10-5 eV·K-1)。通过作ln(I0/IT-1)-1/(kT)关系图可求得Ea的值。图 5b为Ba2.991-3xP4O13∶0.009Eu2+,3xCa2+(x=0.000、0.040)荧光粉的热猝灭活化能的ln(I0/IT-1)-1/(kT)关系图。如图 5b所示,2种荧光粉的ln(I0/IT-1)-1/(kT)的关系图均为直线,可通过线性拟合得到的斜率计算2种荧光粉的热猝灭活化能。计算得到Ba2.991P4O13∶0.009Eu2+和Ba2.871P4O13∶0.009Eu2+,0.120Ca2+荧光粉的活化能(Ea1和Ea2)分别为0.309和0.264 eV。
从图 4中可以明显看出Ba2.871P4O13∶0.009Eu2+,0.120Ca2+的强度下降速率较Ba2.991P4O13∶0.009Eu2+荧光粉的衰减速率要快,Ba2.943P4O13∶0.009Eu2+,0.048Ca2+的衰减速率位于前二者之间。为了进一步比较低温相、过渡相和高温相的热稳定性,我们将Ba2.991-3xP4O13∶0.009Eu2+,3xCa2+(x=0.000、0.016、0.040)在不同温度下峰强度的变化单独进行了比较,结果如图 6所示。在温度425 K时,低温相Ba2.991P4O13∶0.009Eu2+荧光粉的发射强度维持在室温下发射强度的70.8%,过渡相Ba2.943P4O13∶0.009Eu2+,0.048Ca2+荧光粉的发射强度维持在室温下发射强度的57.8%,而高温相Ba2.871P4O13∶0.009Eu2+,0.120Ca2+荧光粉的发光强度降低至室温下发射强度的36.5%,这与Li等[10]所报道的高温相Ba3P4O13∶Eu2+荧光粉的热稳定性几乎一致。通过比较可以看出,低温相荧光粉相比于高温相荧光粉,具有更好的热稳定性。值得注意的是,Ba2.943P4O13∶0.009Eu2+,0.048Ca2+荧光粉在不同波长处的发光强度随着温度的升高呈现不同的递减速率。其中,500 nm处的峰强度相较于450 nm处的峰强度,下降速度明显更快。这一结果进一步表明,这2个发射峰分别源于Eu2+在低温相Ba2.991P4O13∶0.009Eu2+和高温相Ba2.871P4O13∶0.009Eu2+,0.120Ca2+荧光粉中的发射。
图 6
通常,荧光粉的热稳定性与激活离子-阴离子对的共价性、晶格的结构刚性以及斯托克斯位移密切相关。在一些具有高共价性,高刚性和小斯托克斯位移的荧光粉中,我们可以预期其展现出优异的热稳定性[17]。显然,低温相Ba2.991P4O13∶0.009Eu2+荧光粉比过渡相Ba2.943P4O13∶0.009Eu2+,0.048Ca2+荧光粉的斯托克斯位移稍小,而过渡相荧光粉的斯托克斯位移比高温相Ba2.871P4O13∶0.009Eu2+,0.120Ca2+荧光粉的稍小。因此,低温相Ba2.991P4O13∶0.009Eu2+荧光粉显示出比过渡相Ba2.943P4O13∶0.009Eu2+,0.048Ca2+荧光粉和高温相Ba2.871P4O13∶0.009Eu2+,0.120Ca2+荧光粉更好的热稳定性。
2.4 荧光粉的CIE坐标
表 1为在317 nm波长激发下,Ba2.991-3xP4O13∶0.009Eu2+,3xCa2+荧光粉的CIE色度坐标数据。从表中数据可以清晰地看出,在Eu2+浓度不变的条件下,随着Ca2+浓度从低到高增加,色坐标X、Y的值呈规律性增大趋势,说明了Ca2+的取代会引起色坐标位置的规律性变化。图 7为Ba2.991-3xP4O13∶0.009Eu2+,3xCa2+荧光粉的CIE色坐标图。如图所示,该荧光粉的色坐标坐落在蓝-浅蓝-黄色范围之内,值得注意的是,仅通过调整Ca2+取代Ba2+的浓度,色坐标就从蓝光区域经过青白色区域,最后坐落在黄绿色区域,这一变化与光谱发射峰的移动相对应。这种规律性的移动也进一步证明了外来离子Ca2+能够有效地促进基质高温相的形成。
表 1
表 1 Ba2.991-3xP4O13∶0.009Eu2+, 3xCa2+荧光粉的CIE色坐标值Table 1. CIE chromaticity coordinates of Ba2.991-3xP4O13∶0.009Eu2+, 3xCa2+ phosphorsNumber Phosphor CIE X Y 1 Ba2.991P4O13∶0.009Eu2+ 0.199 0.224 2 Ba2.979P4O13∶0.009Eu2+, 0.012Ca2+ 0.199 0.227 3 Ba2.967P4O13∶0.009Eu2+, 0.024Ca2+ 0.199 0.228 4 Ba2.955P4O13∶0.009Eu2+, 0.036Ca2+ 0.225 0.264 5 Ba2.943P4O13∶0.009Eu2+, 0.048Ca2+ 0.242 0.290 6 Ba2.931P4O13∶0.009Eu2+, 0.060Ca2+ 0.261 0.316 7 Ba2.901P4O13∶0.009Eu2+, 0.090Ca2+ 0.267 0.316 8 Ba2.871P4O13∶0.009Eu2+, 0.120Ca2+ 0.313 0.379 图 7
3. 结论
在850 ℃条件下,我们通过简单的高温固相法合成了一系列不同Ca2+浓度掺杂的Ba2.991-3xP4O13∶0.009Eu2+,3xCa2+荧光粉,并对其进行了一系列的表征和测试。首先,通过XRD测试,对不同Ca2+浓度掺杂的样品进行了物相分析。结果表明,在温度和Eu2+浓度都不变的条件下,仅仅改变Ca2+的浓度就可以实现低温相Ba3P4O13到高温相Ba3P4O13的转变。进一步研究发现,低温相荧光粉较高温相具有更好的热稳定性,这是由于低温相光谱的斯托克斯位移小于高温相光谱的斯托克斯位移。为深入探究其热稳定性机制,我们计算了低温相Ba2.991P4O13∶0.009Eu2+和高温相Ba2.871P4O13∶0.009Eu2+,0.120Ca2+的活化能,结果分别是0.309和0.264 eV。在光谱性能方面,荧光粉在317 nm的激发下,未掺杂Ca2+的荧光粉呈现出主峰位于440 nm左右的不对称发射光谱,这是Eu2+在不同的发光位点上的发光重叠导致的。随着Ca2+浓度的增加,荧光粉发射峰逐渐发生变化,从主峰440 nm逐渐转变为主峰为530 nm左右的宽带发射,且在转变过程中,中间相表现为440和500 nm左右2个发射峰共存的现象。在CIE色度图中,不同Ca2+浓度掺杂的荧光粉的色坐标位置从蓝光区域经过青白光区域最后到达黄绿光区域,这种部分离子取代引起的晶相转变和光谱移动源于化学压效应。鉴于此,这种外来离子部分取代引起的晶相转变策略,具备作为有效光谱调控手段的潜力,值得进一步深入研究。
-
-
AITMELLAL O, OUFNI L, MESSOUS M Y, MATEI E, ROSTAS A M, GALCA A C, SECU M. Temperature-induced phase transition and tunable luminescence properties of Ce3+-Mn2+-Zr4+ tri-doped LaPO4 phosphor[J]. Opt. Mater., 2022, 129: 112567. doi: 10.1016/j.optmat.2022.112567
-
[2]
YANG J, LAI XQ, LUO L H, LI W P, DU P. Regulating the concentration quenching in Eu3+-activated Lu2W3O12 red-emitting phosphors through phase transition for white light-emitting diode and plant growth applications[J]. Ceram. Int., 2024, 50(18): 34403-34411. doi: 10.1016/j.ceramint.2024.06.259
-
[3]
CHEN N M, WANG Y J, LI L F, GENG L, ZHANG M L. Synthesis, photoluminescent characteristics and Eu3+-induced phase transitions in Sr3Zr2O7∶Eu3+ red phosphors[J]. Nanomaterials, 2023, 13(9): 1446. doi: 10.3390/nano13091446
-
[4]
ZHAN J W, PENG S Y, ZHU Y X, ZHU Z H, LIU J L, PENG H N, MENG X Y, YANG L S. Phase transitions and optical properties of Tb3+ activated NaY(WO4)2 phosphors[J]. Ceram. Int., 2024, 50(3): 4896-4906. doi: 10.1016/j.ceramint.2023.11.233
-
[5]
YANG J, ZHANG J W, GAO Z Y, TAO M X, DANG P P, WEI Y, LI G G. Enhanced photoluminescence and thermal stability in solid solution Ca1-xSrxSc2O4∶Ce3+(x=0-1) via crystal field regulation and site-preferential occupation[J]. Inorg. Chem. Front., 2019, 6(8): 2004-2013. doi: 10.1039/C9QI00443B
-
[6]
RUAN W K, ZHANG R R, ZHONG Q, FU Y, YANG Z W, XIE M B. Preparation and wide band emission characteristics of Eu2+/Eu3+ co-doped Ba3P4O13 phosphors[J]. RSC Adv., 2022, 12(23): 14819-14826. doi: 10.1039/D2RA02478K
-
[7]
WU Z C, ZHANG Z M, HUANG C, LIU J, WU M M, XIA Z G. Tuning of photoluminescence by crystal-phase engineering in the Ba3P4O13∶Eu2+ phosphor[J]. J. Alloy. Compd., 2018, 734: 43-47. doi: 10.1016/j.jallcom.2017.11.021
-
[8]
PENG M Y, PEI Z W, HONG G Y, SU Q. The reduction of Eu3+ to Eu2+ in BaMgSiO4∶Eu prepared in air and the luminescence of BaMgSiO4∶ Eu2+ phosphor[J]. J. Mater. Chem., 2003, 13(5): 1202-1205. doi: 10.1039/b211624c
-
[9]
ZHANG X M, MENG F G, LI W L, SEO H J. Investigation of Eu2+ luminescence in barium tetraphosphate Ba3P4O13 polycrystalline ceramics[J]. Ceram. Int., 2013, 39(8): 8975-8978. doi: 10.1016/j.ceramint.2013.04.097
-
[10]
LI Y Y, CHEN W B, WANG Y H. Synthesis and photoluminescence properties of high-Ba3P4O13∶Eu2+—A broadband yellow-emitting phosphor for near ultraviolet white light-emitting diodes[J]. Mater. Res. Bull., 2016, 84: 363-369. doi: 10.1016/j.materresbull.2016.08.029
-
[11]
PIAO X Q, MACHIDA K I, HORIKAWA T, HANZAWA H. Synthesis of nitridosilicate CaSr1-xEuxSi5N8(x=0-1) phosphor by calcium cyanamide reduction for white light-emitting diode applications[J]. J. Electrochem. Soc., 2008, 155(1): J17-J22. doi: 10.1149/1.2801380
-
[12]
HUANG W Y, YOSHIMURA F, UEDA K, SHIMOMURA Y, SHEU H S, CHAN T S, CHIANG C Y, ZHOU W Z, LIU R S. Chemical pressure control for photoluminescence of MSiAl2O3N2∶Ce3+/Eu2+(M=Sr, Ba) oxynitride phosphors[J]. Chem. Mater., 2014, 26(6): 2075-2085. doi: 10.1021/cm404058j
-
[13]
SENN M S, MURRAY C A, LUO X, WANG L H, HUANG F T, CHEONG S W, BOMBARDI A, ABLITT C, MOSTOFI A A, BRISTOWE N C. Symmetry switching of negative thermal expansion by chemical control[J]. J. Am. Chem. Soc., 2016, 138(17): 5479-5482. doi: 10.1021/jacs.5b13192
-
[14]
SHAO Q Y, DONG Y, JIANG J Q, LIANG C, HE J H. Temperature-dependent photoluminescence properties of (Y, Lu)3Al5O12∶Ce3+ phosphors for white LEDs applications[J]. J. Lumin., 2011, 131(5): 1013-1015. doi: 10.1016/j.jlumin.2011.01.013
-
[15]
DORENBOS P. Thermal quenching of Eu2+ 5d-4f luminescence in inorganic compounds[J]. J. Phys.-Condens. Matter, 2005, 17(50): 8103-8111. doi: 10.1088/0953-8984/17/50/027
-
[16]
PAN F J, ZHOU M, ZHANG J H, ZHANG X J, WANG J, HUANG L, KUANG X J, WU M M. Double substitution induced tunable luminescent properties of Ca3-xYxSc2-xMgxSi3O12∶Ce3+ phosphors for white LEDs[J]. J. Mater. Chem. C, 2016, 4(24): 5671-5678. doi: 10.1039/C6TC00761A
-
[17]
JIAO M M, XU Q F, YANG C L, LIU M L. Electronic structure and photoluminescence properties of single component white emitting Sr 3LuNa(PO4)3F∶Eu2+, Mn2+ phosphor for WLEDs[J]. J. Mater. Chem. C, 2018, 6(16): 4435-4443. doi: 10.1039/C8TC00224J
-
-
表 1 Ba2.991-3xP4O13∶0.009Eu2+, 3xCa2+荧光粉的CIE色坐标值
Table 1. CIE chromaticity coordinates of Ba2.991-3xP4O13∶0.009Eu2+, 3xCa2+ phosphors
Number Phosphor CIE X Y 1 Ba2.991P4O13∶0.009Eu2+ 0.199 0.224 2 Ba2.979P4O13∶0.009Eu2+, 0.012Ca2+ 0.199 0.227 3 Ba2.967P4O13∶0.009Eu2+, 0.024Ca2+ 0.199 0.228 4 Ba2.955P4O13∶0.009Eu2+, 0.036Ca2+ 0.225 0.264 5 Ba2.943P4O13∶0.009Eu2+, 0.048Ca2+ 0.242 0.290 6 Ba2.931P4O13∶0.009Eu2+, 0.060Ca2+ 0.261 0.316 7 Ba2.901P4O13∶0.009Eu2+, 0.090Ca2+ 0.267 0.316 8 Ba2.871P4O13∶0.009Eu2+, 0.120Ca2+ 0.313 0.379 -
扫一扫看文章
计量
- PDF下载量: 1
- 文章访问数: 1168
- HTML全文浏览量: 137

下载:
下载:
下载: