低温电解液添加剂对钴酸锂电池低温性能的影响

刘家赫 唐淦 陈凯 张明道

引用本文: 刘家赫, 唐淦, 陈凯, 张明道. 低温电解液添加剂对钴酸锂电池低温性能的影响[J]. 无机化学学报, 2025, 41(4): 719-728. doi: 10.11862/CJIC.20250023 shu
Citation:  Jiahe LIU, Gan TANG, Kai CHEN, Mingda ZHANG. Effect of low-temperature electrolyte additives on low-temperature performance of lithium cobaltate batteries[J]. Chinese Journal of Inorganic Chemistry, 2025, 41(4): 719-728. doi: 10.11862/CJIC.20250023 shu

低温电解液添加剂对钴酸锂电池低温性能的影响

    通讯作者: 张明道, E-mail: matchlessjimmy@163.com
摘要: 为解决锂离子电池(LIBs)低温性能较差的问题,提出了一种通过调节电解质添加剂配方,提高电池低温性能的有效方法。其中,四氟硼酸锂(LiBF4)+碳酸亚乙烯酯(VC)+1,3-丙烷磺酸内酯(PS)+氟代碳酸乙烯酯(FEC)的添加剂配方对电极有较好的保护作用,能够提高电化学性能。结果表明,目标电解液具有良好的低温性能,在-20和-40℃条件下电极的首圈放电比容量(0.2C)分别为144.65和133.05 mAh·g-1,且具有良好的循环稳定性。研究表明,使用多功能添加剂可以显著提高锂离子的扩散速率,促进其在电极表面的释放。同时,添加剂较好的成膜性能还可以减少电池的极化,最终实现低温条件下高容量、高稳定的电池性能。

English

  • 锂离子电池(LIBs)凭借容量大、能量密度可观、循环性能优异等特点,已经成为移动电子设备和电动汽车首选的新型能源存储和转换装置[1],并逐步替代传统的铅酸电池、镍铬电池,在动力电池和消费电子领域成为市场主流[2-3]。LIBs的有效工作温度范围是影响其实际应用的关键性能之一。然而在低温环境下工作会对LIBs的性能产生负面影响,这些负面影响主要表现在电解液的电导率下降、黏度上升、电解液中锂离子的迁移困难,进而导致电池的放电容量下降,循环寿命缩短,这严重限制了LIBs的实际应用范围[4-5]。目前提升电池在低温下性能的主要方法包括研发低温电解液、对电极材料进行包覆或改性[6]、对电池内外部进行控温[7]等。与其他方法相比,低温电解液的研发更加简便、高效[8]

    从电解液理化性质出发,低温会不可避免地影响电解液的离子电导率和黏度,同时低温下缓慢的分子热运动会导致锂离子(Li+)迁移动力学速率降低,电极-电解质界面的电荷转移受阻[9-10]。电解液主要由溶剂、锂盐和功能性添加剂组成[11],是发生电荷转移和电极反应的关键部位。为提升低温下电解液的性能,增强LIBs在低温下的容量和循环稳定性,研究者通常在电解液中添加功能性添加剂[12]。这些添加剂多以成膜型添加剂为主[13],例如,Lv等[14]开发了一种可以在阴极表面形成多孔且薄的充电电解质界面(CEI)膜的电解液,这对于锂离子的传输非常有利,有效改善了LIBs在不同低温下的性能。氟化物添加剂的应用也较为广泛[15],因为F-具有较高的电负性和较强的吸电子能力,能够帮助形成富含无机化合物氟化锂的界面钝化层,这层致密的钝化层有利于锂离子的迁移,从而提升电池在低温下的电化学性能[4]。目前,研究者提出了许多策略,例如,Fan等[16]开发了适合超低温使用的含氟非极性化合物溶剂,Zheng等[17]研究了CsPF6、LiPF6,Yang等[18]研究了LiPO2F2,这些研究都对含氟化合物的作用进行了肯定。除了氟化物添加剂,含硫添加剂也表现出良好的成膜能力,例如,Hekmatfar等[19]发现1,3-丙磺酸内酯(PS)对CEI膜的生成有着积极的贡献,是提高电池性能的理想添加剂之一。由此可见,为了提高LIBs的在低温下的电化学性能,功能性添加剂的使用很重要。

    我们基于六氟磷酸锂(LiPF6)/双氟磺酰亚胺锂(LiFSI)+碳酸乙烯酯(EC)/碳酸甲乙酯(EMC)/丙酸乙酯(EP)+氟代碳酸乙烯酯(FEC)电解液体系,通过优化溶剂与锂盐配比,构成电解液基本成分。为了进一步提升LIBs在低温下的电化学性能,我们针对电解液中的集流体稳定剂和成膜添加剂的种类和比例分别进行了筛选和研究。结果表明,在LiPF6/LiFSI+EC/EMC/EP+FEC体系的基础上添加四氟硼酸锂(LiBF4)、碳酸亚乙烯酯(VC)、PS作为添加剂,有助于提升电池的容量和循环稳定性。

    二乙二醇二甲醚(G2,电池级)、EP(电池级)、FEC(电池级)、LiFSI(电池级)、二氟草酸硼酸锂(LiDFOB,电池级)均购自阿拉丁;LiPF6(电池级)购自四川上氟科技有限公司;EMC(电池级)、PS(电池级)、EC(电池级)、DEC(电池级)、N-甲基-2-吡咯烷酮(NMP,分析纯)、丁酸甲酯(MB,电池级)、亚硫酸二乙酯(DES,电池级)、VC(电池级)、LiBF4(电池级)均购自Adamas;石墨负极(电池级)购自宁波杉杉股份有限公司;钴酸锂正极(LiCoO2,简称为LCO,电池级)购自厦钨新能源材料股份有限公司;金属锂片(电池级)购自无锡新峰锂业有限公司;隔膜(电池级)购自美国Celgard;铝箔(电池级)、铜箔(电池级)购自广州纳诺新材料科技有限公司;极耳(电池级)购自山东新杰能锂电有限公司。

    电解液配制过程在水、氧含量(质量浓度)均小于10-8的充满氩气的手套箱中进行,选择商用电解液[1 mol·L-1 LiPF6的EC+DEC(1∶1,V/V)溶液]和Y3 Blank电解液进行对照实验,其中Y3 Blank电解液由0.9 mol·L-1的LiPF6+LiFSI(3∶7,n/n)的混合锂盐、体积比为2∶6∶2的EC/EMC/EP三元混合溶剂,以及质量分数为5%的FEC功能添加剂组成。以Y3 Blank体系为基础,调节电解液添加剂的配方,其中集流体钝化剂采用LiBF4、LiDFOB,成膜添加剂采用FEC、VC、PS、DES、G2、MB。

    使用上海雷磁DDS-307电导率测试仪对电解液进行电导率测试。使用型号为SYD-265B的品氏黏度计在手套箱内进行黏度测试。通过扫描电子显微镜(SEM,Zeiss Supra55)测试电池正极的形貌。通过透射电子显微镜(TEM,FEI Tecnai G2 F20,工作电压200 kV)对电池正极表面的微观形貌和成膜情况进行分析。通过X射线衍射仪(XRD,Rigaku MinFlex 600,Cu 辐射,λ=0.154 nm,工作电压为40 kV,电流为150 mA,扫描范围为10°~80°)测试电池使用前后正极表面的物相组成。使用Thermo ESCALAB 250Xi型X射线光电子能谱仪(XPS)分析正极表面元素价态,以Al 为射线源,测试功率为150 W。

    1.4.1   扣式电池的组装

    以商用LCO正极为正极(直径d=1.2 cm,单面涂布,面载量为12 mg·cm-2),锂金属为负极,Celgard 2400为隔膜,组装成2032型LCO||Li纽扣电池。

    1.4.2   性能测试

    分别在低温和室温环境中,对安装好的电池进行倍率和长循环性能测试,测试的电压范围为2.5~4.2 V。使用CHI760E电化学工作站进行循环伏安(CV,0.1 mV·s-1)和电化学阻抗谱(EIS,0.01~105 Hz)测试。另外,将电解液组装成Li||Li对称纽扣电池以测试其极性,即按照设定的电流密度(0.5 mA·cm-2)、截至容量密度(1.0 mAh·cm-2),在不同的温度下进行恒电流充放电测试。

    添加剂配方对不同温度下电解质黏度和电导率的影响见表S1(Supporting information)。其中T1~T12电解液的详细配方见表S2。添加硼酸锂盐的电解液(T2、T3)在低温下的电导率提高,但是与单添加剂电解液(T1)相比,其电解液黏度也增加。另外,具有多种添加剂的电解液(T4~T12)在导电性和黏度方面优于单一添加剂的电解液。特别地,T9电解液在不同温度下都展现出了较为优异的电导率和黏度,其是在Y3 Blank体系的基础上,添加质量分数分别为1%、1%和1%的LiBF4、VC和PS功能添加剂。计算得到T9电解液的活化能为0.211 eV,与其他电解液相比表现最佳。这证明T9电解液改善了离子传输能力,而且其优异的活化能有助于提高电池在低温环境中的容量。

    为评估该T9配方的有效性,对不同配方电解液的电化学性能进行了探索。电池测试分别在-20和-40 ℃下实施,如图 1a~1d所示。由图可知,多种添加剂的使用可以显著提高电池在低温条件下的电化学性能。在-20 ℃的条件下,T9电解液的首圈放电比容量为144.65 mAh·g-1,循环50圈后仍保持在102.31 mAh·g-1,容量保持率为70.7%。在-40 ℃条件下,T9电解液的首圈放电比容量为133.05 mAh·g-1,20个循环后仍保持在76.89 mAh·g-1,容量保持率为57.8%。在-20和-40 ℃条件下,T9电解液均展示出了较好的循环稳定性。这说明T9电解液能够提供更高的锂离子传输速率,这有利于锂离子的迁移,进而能够提供更优的低温性能。另外,通过分析库仑效率可以看出,库仑效率越高,电池在每个充放电循环中损失的容量越小,这表明T9电解液的使用减少了低温循环中锂离子的损失,从而增加了电池的循环寿命。T1~T12在低温下的容量保持率见表S3。

    图 1

    图 1.  以不同电解液制备的LCO||Li电池在(a、b) -20 ℃和(c、d) -40 ℃ (0.2C)下的循环性能曲线及(e) -20 ℃和(f) -40 ℃下的倍率性能曲线
    Figure 1.  Cycling performance curves of LCO||Li batteries prepared with different electrolytes at (a, b) -20 ℃ and (c, d) -40 ℃ (0.2C) and rate performance curves at (e) -20 ℃ and (f) -40 ℃

    图 1e1f显示了采用性能相对优越的T9~T12电解液的LCO||Li电池在低温下的倍率性能测试结果,该结果表明T9电解液仍然表现出一定的优势。然而在低温、高倍率条件下,由于低温使得正负极内部的锂离子扩散速度减慢,严重阻碍了锂离子的脱嵌,从而增加了电荷迁移的阻力,因此,在1C(165 mA·g-1)、2C倍率下电池的容量表现不佳,即使恢复到低倍率,比容量也低于初始0.1C循环时的容量。

    图 1结果可知,使用T9~T12电解液制备的电池在低温下的性能更佳。为了进一步了解电解液的循环稳定性,对T9~T12电解液的极性进行测试。由图 2的极性测试结果可知,T9电解液对应电池的电压曲线表现得相对平滑;相比之下,T10电解液对应电池的电压在-20 ℃下能维持约300 h,-40 ℃下能维持约650 h,并且电压存在较大波动,极性表现最差;而T11、T12电解液对应电池的电压循环稳定时间稍长,二者在-20 ℃的极化电压分别出现在350、800 h处,-40 ℃的极化电压分别出现在400、900 h处;T9电解液对应的电池在电压稳定性方面表现出色,其在-20、-40 ℃下的电压稳定时间最长,分别约为500和1 100 h。实验中观察到的电池极化现象与电极表面产生死锂及CEI膜不断增厚导致的内阻增大密切相关[20]。以上结果说明以VC+PS+FEC作为多元添加剂可以促进更薄、更稳定的CEI膜生成,从而提高电池在低温下的循环稳定性。

    图 2

    图 2.  使用不同电解液制备的Li||Li电池在(a、c) -20 ℃和(b、d) -40 ℃下的极性曲线
    Figure 2.  Polarity curves of Li||Li batteries prepared with different electrolytes at (a, c) -20 ℃ and (b, d) -40 ℃

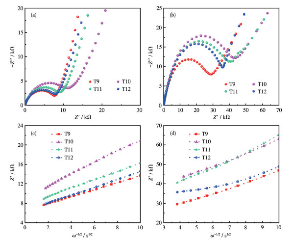
    在-20、-40 ℃下对完成活化(电池在室温下以0.05C低倍率活化2圈)后的电池进行EIS测试,如图 3所示,相应的锂离子扩散系数(DLi +)见表S4。结果表明,在-20和-40 ℃环境下T9电解液在半圆高频区的Rct分别为7 680和28 700 Ω,相应的锂离子扩散系数分别为6.68×10-8和3.75×10-9 cm2·s-1。T9电解液在测试的电解液种类中具有最优秀的锂离子扩散传输能力,这对提高电池低温条件下的容量具有显著的促进作用。

    图 3

    图 3.  使用不同电解液制备的LCO||Li电池在(a) -20 ℃和(b) -40 ℃时的EIS及(c) -20 ℃和(d) -40 ℃时的Z'-ω-1/2曲线
    Figure 3.  EIS at (a) -20 ℃ and (b) -40 ℃ and Z'-ω-1/2 curves at (c) -20 ℃ and (d) -40 ℃ of LCO||Li batteries prepared using different electrolytes

    商用、Y3 Blank和T9电解液对应电池的CV曲线如图 4所示。对比可知,T9电解液对应电池的CV曲线重合度最高,表明其循环稳定性优于商用和Y3 Blank电解液。第3圈的CV曲线显示,电池首圈循环与其后的表现存在一定程度的偏差,这主要是源于首圈充放电过程中电极材料的激活和CEI膜的形成。对于以上3种电解液而言,它们的CV曲线中第3圈的氧化还原峰间距分别达到0.376、0.288、0.262 V。值得注意的是,采用多元添加剂的T9电解液展示了较低的负极电位以及较高的正极电位。这一结果表明,多元添加剂的使用使电池的极化现象得到显著抑制,从而增强了电池的电化学活性并提升了容量的可逆性。另外,T9电解液对应电池的CV曲线在还原阶段呈现出更加锐利且高度集中的峰形,这种特征揭示出其具有强大的电化学反应性能,能够有效地增加锂离子的扩散速度。

    图 4

    图 4.  由(a) 商业、(b) Y3 Blank、(c) T9电解液所制备电池的CV曲线; (d) 三种电池的第3圈室温CV曲线对比
    Figure 4.  CV curves of the batteries prepared with (a) commercial, (b) Y3 Blank, and (c) T9 electrolytes at room temperature; (d) Comparison of the 3rd CV curves of the batteries at room temperature

    通过对比使用不同电解液制备的电池在-40 ℃下循环20圈(0.2C)后的LCO正极的SEM图,探索电解液影响电极表面性质的机理。LCO正极表面在初始状态呈现平滑且均匀的状态(图 5a)。然而,当利用Y3 Blank电解液并在-40 ℃条件下进行循环操作后,正极表面变得粗糙,并出现了无规律的颗粒物以及裂纹(图 5b)。这个现象揭示出,在低温度环境下,Y3 Blank电解液无法形成良好的电极界面膜,从而对正极材料表面的形态造成严重破坏,最终导致其电化学性能的下降,这一结论与电池性能测试结果相符。另一方面,当采用T9电解液时,尽管电极表面仍然可见少量的裂纹和不规则的颗粒物,但相较于其他电解液,其循环后的表面形态显得更加平坦(图 5c)。

    图 5

    图 5.  (a) 未使用的LCO正极的SEM图; 在-40 ℃条件下使用(b) Y3 Blank和(c) T9电解液的电池循环后所对应LCO正极的SEM图
    Figure 5.  (a) SEM image of the unused LCO anode; SEM images of the corresponding LCO anodes after cycling the batteries prepared with (b) Y3 Blank and (c) T9 electrolytes at -40 ℃

    使用Y3 Blank和T9电解液制备的电池在经过循环后其正极的能谱(EDS)如图S1所示,由图可知,随着添加剂的引入,C、O、F、P、S元素的信号峰明显增加。这说明添加剂的存在有助于形成更加稳定的CEI膜,从而提高正极表面的稳定性。表S5中的数据显示,在T9电解液对应的样品中,C、O、F元素的含量(质量分数)分别为36.72%、28.82%、28.03%,相比Y3 Blank电解液对应的样品有着明显提升,证实C、O、F是CEI膜的主要组成元素。这些结果揭示了添加剂对正极表面生成CEI膜的重要影响,有助于改善电池的稳定性。

    对使用T9电解液制备的电池在-40 ℃下循环20圈后所对应的LCO正极进行TEM测试,发现在电极外缘形成了一层厚度约为15 nm的CEI膜(图 6),这一膜层在保护电极方面发挥了重要作用,其稳定且致密,提高了电极的稳定性。CEI膜的存在能够完好地保护正极材料,避免不必要的副反应发生,有助于提高电池电化学性能。

    图 6

    图 6.  使用T9电解液制备的电池在-40 ℃下循环后所对应LCO正极的TEM图
    Figure 6.  TEM images of the LCO anode corresponding to the battery prepared with T9 electrolyte after cycling at -40 ℃

    为了进一步探讨电解液对正极材料结构的影响,对LCO正极的物理化学性质进行了系统的研究和分析。对未使用的LCO正极与使用Y3 Blank、T9电解液制备的电池在-40 ℃下循环后所对应的LCO正极进行了XRD测试,结果如图 7所示。图 7表明原始LCO具有典型的六方型层状结构[21],而循环后的LCO正极在低温下呈现出晶格膨胀的特征(体积增大),表明发生了一系列副反应。Y3 Blank电解液对应正极的峰强度远低于T9电解液,而且LCO的(006)、(012)、(105)、(107)、(018)、(110)晶面几乎无法观察到,说明其结晶度较差。而T9电解液对应的LCO正极的晶面峰强度与未使用的LCO正极相似,晶相完整度更高,这归因于CEI膜的有效保护使得正极具有更好的反应可逆性。总的来看,Y3 Blank、T9电解液对应正极的衍射峰均向低角度移动,说明循环后材料的晶格均存在膨胀现象。与Y3 Blank电解液相比,T9电解液对应的正极在相同条件下仍保持着较高的晶相完整度和较好的反应可逆性,这得益于CEI膜的有效保护。

    图 7

    图 7.  商用LCO正极以及使用Y3 Blank、T9电解液制备的电池在-40 ℃循环后所对应正极的(a) XRD图及(b) 相应的放大图
    Figure 7.  (a) XRD patterns and (b) corresponding magnified patterns of the commercial LCO cathode and LCO cathode from the batteries prepared with Y3 Blank and T9 electrolyte after cycling at -40 ℃

    由XPS全谱图(图S2)可知,经过循环后T9和Y3 Blank电解液对应的LCO正极中均出现F1s、O1s、C1s的峰,表明正极表面存在氟化物及碳酸盐分解生成的含C、O元素的化合物,尤其是前者的F1s峰强度有了明显的提升,这表明含F化合物是构成电极CEI膜的主要成分。与此同时,前者的O1s、C1s峰强度降低,说明碳酸盐产物的量有所下降。另外,XPS全谱图中还显示出微弱的S2p峰,说明CEI膜中存在少量的含硫化合物。

    图 8显示了2种电解液对应的LCO正极中的C1s、O1s、F1s的高分辨谱图。对于T9电解液对应的正极,C1s谱图中存在C—C、C—O、COOR、CO32-四个特征峰(图 8a),表明CEI膜主要由碳酸盐构成;O1s谱图中出现了LiO-和CO32-的特征峰(图 8b),表明该碳酸盐的主要成分是碳酸锂,它是由酯类溶剂以及一些添加剂形成的;在F1s谱图中,位于684.9和687.0 eV的峰分别代表相对较强的LiF峰和相对较弱的C—F峰(图 8c),这进一步证实了LiF是构成CEI膜的重要组成部分。而对于Y3 Blank电解液对应的正极,其C1s谱图中出现了C—C、C—O、COOR、CO32-的特征峰(图 8a),再结合O1s谱图中532.2、533.4 eV处对应的LiO-、C=O特征峰(图 8b)可知,使用Y3 Blank电解液对应的正极的CEI膜中含有烷基羧酸锂[14];F1s谱图中存在较弱的LiF峰和强C—F峰(图 8c),说明LIBs正极材料与电解液之间形成的CEI中的氟化锂含量较低。同时,在2种电解液对应的正极的O1s谱图中都发现了Co2O3的特征峰(这可能是由LCO正极材料在低温循环过程中的不可逆损耗引起的),而且T9电解液对应正极中的Co2O3的相对含量较低,这证明了正极材料与电解液之间形成的完整、致密CEI膜对正极的保护作用。总体来看,T9电解液有助于形成完整、致密的CEI膜,对电池性能的提升具有重要促进作用。从XPS分析结果来看,由T9电解质组成的电池的CEI膜形成过程可以被概括为3个步骤:首先,FEC在电极表面转化成LiF;随后,VC在电极表面发生聚合反应,从而推动更多成膜物质的生成;最后,PS生成了诸如Li2S、Li2SO4、ROSO2Li等物质来加强膜的稳定性[22]

    图 8

    图 8.  -40 ℃下使用T9、Y3 Blank电解液制备的电池循环后的LCO正极的(a) C1s、(b) O1s和(c) F1s XPS谱图
    Figure 8.  (a) C1s, (b) O1s, and (c) F1s XPS spectra of LCO anodes after cycling of the batteries prepared with T9 and Y3 Blank electrolytes at -40 ℃

    通过对不同添加剂的筛选,确定了最佳电解液配方T9。实验证明,T9电解液在电导率和黏度方面表现出色。特别的是,其高锂离子扩散系数促进了锂离子的溶解和扩散,改善了电池在低温条件下的电化学性能。对低温循环后正极的形貌和化学结构分析发现,T9电解液对正极材料的形貌及化学结构产生了积极影响,循环后正极表面形貌保持完整,CEI膜完整致密,而且LCO的晶相完整,晶格膨胀程度低。这归因于这种致密的固体电解质膜促进了电池在低温条件下的电化学性能。

    Supporting information is available at http://www.wjhxxb.cn


    1. [1]

      HARPER G, SOMMERVILLE R, KENDRICK E, DRISCOLL L, SLATER P, STOLKIN R, WALTON A, CHRISTENSEN P, HEIDRICH O, LAMBERT S, ABBOTT A, RYDER K, GAINES L, ANDERSON P. Recycling lithium-ion batteries from electric vehicles[J]. Nature, 2019, 575(7781):  75-86.

    2. [2]

      LU Y, HOU X S, MIAO L C, LI L, SHI R J, LIU L J, CHEN J. Cyclohexanehexone with ultrahigh capacity as cathode materials for lithiumion batteries[J]. Angew. Chem.-Int. Edit., 2019, 58(21):  7020-7024.

    3. [3]

      XIE J, LU Y C. A retrospective on lithiumion batteries[J]. Nat. Commun., 2020, 11(1):  2499.

    4. [4]

      SHI J L, EHTESHAMI N, MA J L, ZHANG H, LIU H D, ZHANG X, LI J, PAILLARD E. Improving the graphite/electrolyte interface in lithium ion battery for fast charging and low temperature operation: Fluorosulfonyl isocyanate as electrolyte additive[J]. J. Power Sources, 2019, 429:  67-74.

    5. [5]

      WANG C S. Electrolyte design for ultra-stable, low-temperature lithium-ion batteries[J]. Matter, 2023, 6(8):  2610-2612. doi: 10.1016/j.matt.2023.07.006

    6. [6]

      MENG F B, XIONG X Y, TAN L, YUAN B, HU R Z. Strategies for improving electrochemical reaction kinetics of cathode materials for subzero temperature Liion batteries: A review[J]. Energy Storage Mater., 2022, 44:  390-407.

    7. [7]

      WANG B, YAN M Y. Research on the improvement of lithium ion battery performance at low temperatures based on electromagnetic induction heating technology[J]. Energies, 2023, 16(23):  7780. doi: 10.3390/en16237780

    8. [8]

      ZHANG C H, HUO S D, SU B, BI C J, ZHANG C, XUE W D. Challenges of film-forming additives in low-temperature lithium-ion batteries: A review[J]. J. Power Sources, 2024, 606:  234559. doi: 10.1016/j.jpowsour.2024.234559

    9. [9]

      ASSAT G, TARASCON J M. Fundamental understanding and practical challenges of anionic redox activity in Li ion batteries[J]. Nat. Energy, 2018, 3(5):  373-386. doi: 10.1038/s41560-018-0097-0

    10. [10]

      KOLETI U R, ZHANG C, MALIK R, DINH T Q, MARCO J. The development of optimal charging strategies for lithium-ion batteries to prevent the onset of lithium plating at low ambient temperatures[J]. J. Energy Storage, 2019, 24:  100798. doi: 10.1016/j.est.2019.100798

    11. [11]

      XIAO P, YUN X R, CHEN Y F, GUO X W, GAO P, ZHOU G M, ZHENG C M. Insights into the solvation chemistry in liquid electrolytes for lithium based rechargeable batteries[J]. Chem. Soc. Rev., 2023, 52(15):  5255-5316. doi: 10.1039/D3CS00151B

    12. [12]

      HUBBLE D, BROWN D E, ZHAO Y Z, FANG C, LAU J, McCLOSKEY B D, LIU G. Liquid electrolyte development for lowtemperature lithium-ion batteries[J]. Energy Environ. Sci., 2022, 15(2):  550-578.

    13. [13]

      MING J, CAO Z, WU Y Q, WAHYUDI W, WANG W X, GUO X R, CAVALLO L, HWANG J Y, SHAMIM A, LI L J, SUN Y K, ALSHAREEF H N. New insight on the role of electrolyte additives in rechargeable lithium ion batteries[J]. ACS Energy Lett., 2019, 4(11):  2613-2622.

    14. [14]

      LV W X, ZHU C J, CHEN J, OU C X, ZHANG Q, ZHONG S W. High performance of low-temperature electrolyte for lithium-ion batteries using mixed additives[J]. Chem. Eng. J., 2021, 418:  129400.

    15. [15]

      WANG Y K, LI Z M, HOU Y P, HAO Z M, ZHANG Q, NI Y X, LU Y, YAN Z H, ZHANG K, ZHAO Q, LI F J, CHEN J. Emerging electrolytes with fluorinated solvents for rechargeable lithium-based batteries[J]. Chem. Soc. Rev., 2023, 52(8):  2713-2763. doi: 10.1039/D2CS00873D

    16. [16]

      FAN X L, JI X, CHEN L, CHEN J, DENG T, HAN F D, YUE J, PIAO N, WANG R X, ZHOU X Q, XIAO X Z, CHEN L X, WANG C S. All-temperature batteries enabled by fluorinated electrolytes with non-polar solvents[J]. Nat. Energy, 2019, 4(10):  882-890.

    17. [17]

      ZHENG J M, YAN P F, MEI D H, ENGELHARD M H, CARTMELL S S, POLZIN B J, WANG C M, ZHANG J G, XU W. Highly stable operation of lithium metal batteries enabled by the formation of a transient high-concentration electrolyte layer[J]. Adv. Energy Mater., 2016, 6(8):  1502151.

    18. [18]

      YANG B W, ZHANG H, YU L, FAN W Z, HUANG D H. Lithium difluorophosphate as an additive to improve the low temperature performance of LiNi0.5Co0.2Mn0.3O2/graphite cells[J]. Electrochim. Acta, 2016, 221:  107-114.

    19. [19]

      HEKMATFAR M, HASA I, EGHBAL R, CARVALHO D V, MORETTI A, PASSERINI S. Effect of electrolyte additives on the LiNi0.5Mn0.3Co0.2O2 surface film formation with lithium and graphite negative electrodes[J]. Adv. Mater. Interfaces, 2020, 7(1):  1901500.

    20. [20]

      ZHENG J X, LU J, AMINE K, PAN F. Depolarization effect to enhance the performance of lithium ion batteries[J]. Nano Energy, 2017, 33:  497-507.

    21. [21]

      PHAM H Q, CHUNG G J, HAN J, HWANG E H, KWON Y G, SONG S W. Interface stabilization via lithium bis (fluorosulfonyl) imide additive as a key for promoted performance of graphite||LiCoO2 pouch cell under -20 ℃[J]. J. Chem. Phys., 2020, 152(9):  094709.

    22. [22]

      LIN Y C, YUE X P, ZHANG H, YU L, FAN W Z, XIE T. Using phenyl methanesulfonate as an electrolyte additive to improve performance of LiNi0.5Co0.2Mn0.3O2/graphite cells at low temperature[J]. Electrochim. Acta, 2019, 300:  202-207.

  • 图 1  以不同电解液制备的LCO||Li电池在(a、b) -20 ℃和(c、d) -40 ℃ (0.2C)下的循环性能曲线及(e) -20 ℃和(f) -40 ℃下的倍率性能曲线

    Figure 1  Cycling performance curves of LCO||Li batteries prepared with different electrolytes at (a, b) -20 ℃ and (c, d) -40 ℃ (0.2C) and rate performance curves at (e) -20 ℃ and (f) -40 ℃

    图 2  使用不同电解液制备的Li||Li电池在(a、c) -20 ℃和(b、d) -40 ℃下的极性曲线

    Figure 2  Polarity curves of Li||Li batteries prepared with different electrolytes at (a, c) -20 ℃ and (b, d) -40 ℃

    图 3  使用不同电解液制备的LCO||Li电池在(a) -20 ℃和(b) -40 ℃时的EIS及(c) -20 ℃和(d) -40 ℃时的Z'-ω-1/2曲线

    Figure 3  EIS at (a) -20 ℃ and (b) -40 ℃ and Z'-ω-1/2 curves at (c) -20 ℃ and (d) -40 ℃ of LCO||Li batteries prepared using different electrolytes

    图 4  由(a) 商业、(b) Y3 Blank、(c) T9电解液所制备电池的CV曲线; (d) 三种电池的第3圈室温CV曲线对比

    Figure 4  CV curves of the batteries prepared with (a) commercial, (b) Y3 Blank, and (c) T9 electrolytes at room temperature; (d) Comparison of the 3rd CV curves of the batteries at room temperature

    图 5  (a) 未使用的LCO正极的SEM图; 在-40 ℃条件下使用(b) Y3 Blank和(c) T9电解液的电池循环后所对应LCO正极的SEM图

    Figure 5  (a) SEM image of the unused LCO anode; SEM images of the corresponding LCO anodes after cycling the batteries prepared with (b) Y3 Blank and (c) T9 electrolytes at -40 ℃

    图 6  使用T9电解液制备的电池在-40 ℃下循环后所对应LCO正极的TEM图

    Figure 6  TEM images of the LCO anode corresponding to the battery prepared with T9 electrolyte after cycling at -40 ℃

    图 7  商用LCO正极以及使用Y3 Blank、T9电解液制备的电池在-40 ℃循环后所对应正极的(a) XRD图及(b) 相应的放大图

    Figure 7  (a) XRD patterns and (b) corresponding magnified patterns of the commercial LCO cathode and LCO cathode from the batteries prepared with Y3 Blank and T9 electrolyte after cycling at -40 ℃

    图 8  -40 ℃下使用T9、Y3 Blank电解液制备的电池循环后的LCO正极的(a) C1s、(b) O1s和(c) F1s XPS谱图

    Figure 8  (a) C1s, (b) O1s, and (c) F1s XPS spectra of LCO anodes after cycling of the batteries prepared with T9 and Y3 Blank electrolytes at -40 ℃

  • 加载中
计量
  • PDF下载量:  18
  • 文章访问数:  3247
  • HTML全文浏览量:  435
文章相关
  • 发布日期:  2025-04-10
  • 收稿日期:  2025-01-18
  • 修回日期:  2025-03-13
通讯作者: 陈斌, bchen63@163.com
  • 1. 

    沈阳化工大学材料科学与工程学院 沈阳 110142

  1. 本站搜索
  2. 百度学术搜索
  3. 万方数据库搜索
  4. CNKI搜索

/

返回文章