硫化铋对铁电极电化学性能的影响
English
Influence of bismuth trisulfide on the electrochemical performance of iron electrode
-
Key words:
- iron-air battery
- / bismuth trisulfide
- / graphite
- / passivation
- / hydrogen evolution reaction
-
0. Introduction
Given the limitations of fossil fuels and their environmental impact, global attention has been given to the importance of new energy development, and metal-air batteries have been identified as one of the ideal alternatives to fossil fuels[1-6]. Among them, the iron-air battery (IAB) also received attention due to the high theoretical specific capacity of 960 mAh·g-1 of the iron electrode[7-12]. As an energy storage device, IABs release energy during discharge through the oxidation of iron electrodes and the reduction of oxygen on air electrodes. In the opposite charging process, oxidized iron species are reduced to zero-valent iron while an oxygen evolution reaction occurs on the air electrode. Moreover, iron, as the main raw material for iron-based battery systems, is one of the most abundant metals on Earth and has the characteristics of low mining cost, high safety, recyclability, and environmental friendliness[7-13]. When applied to iron-based batteries, iron electrodes are known to be durable during repeated cycles of charge and discharge and do not produce dendrite effects during the charging process of iron electrodes. However, the overall discharge/charge efficiency (i.e., energy efficiency) and long-term cycling capacity of IABs are far less than those of the most advanced lithium-ion batteries[14-15]. This is mainly related to the intrinsic hydrogen evolution reaction (HER) on iron, spontaneous stripping, and passivation of the iron electrode. Compared with the zinc-air and lithium-air batteries, the development of IAB is lagging seriouslybecause the formation of dense iron oxide (or hydroxide) during the anodic oxidation process leads to easy passivation of the iron anode.
The iron negative electrode is usually made of the active material iron or iron oxide, a conductive agent, binder, and solvent in a certain proportion[16]. For an IAB, in addition to its iron electrode being easily corroded and passivated in an alkaline electrolyte, the electrolyte also absorbs carbon dioxide via the air electrode, resulting in a decrease in battery performance. In addition, the evolution of hydrogen at an iron electrode during the charging period and idle stand of the battery also leads to a great decline in battery performance[17-21]. This is attributed to the lower standard reduction potential of the iron electrode compared to that of the parasitic HER. In general, electrolytes containing additives such as Bi2S3, Bi2O3, and Na2S can enhance the stability of the iron electrode in alkaline media, which is attributed to their inhibitory effect on HER[9, 14, 17, 22-23]. Moreover, the effectiveness of delaying iron passivation is verified by chemical and electrochemical measurements as well as SEM (scanning electron microscope) measurements. However, the mechanism by which additives can improve the performance of iron electrodes is quite complex. The relationship between electrode passivation, discharge rate capacity, and sulfide passivation mechanisms has not been fully understood. Many researchers have noticed that, in addition to certain additives that can improve the stability of iron electrodes[24], sulfides can also reduce electrode passivation and contribute to increasing the electrical conductivity of the electrode[25-26]. Also, sulfides cause an increase in the solubility of the discharge product, therefore weakening the passivation of the electrode and maintaining a higher discharge rate of the iron electrode. Manohar et al. fabricated iron electrodes from carbonyl iron, iron sulfide, and bismuth oxide additives and found that the prepared iron electrode did not show any capacity fade during charge/discharge cycles[27]. Posada and Hall prepared iron electrodes by hot-pressing iron-polyethylene-based formulations on nickel foam stripes and investigated the effect of additives (Bi, Bi2S3, K2S, and FeS) on the performance of the iron electrodes[28]. They confirmed that both Bi2S3 and FeS favored the process of charge/ discharge of the iron electrodes. The benefits of bismuth additives in reducing hydrogen evolution have also been widely reported in the literature, and it was found that bismuth inhibited the HER because of the high overpotential of hydrogen evolution observed on bismuth[18, 29-31].
In this work, the mixtures of Fe nanoparticles, graphite (Gr), and bismuth trisulfide (Bi2S3) were first subjected to the high-energy ball milling treatment to fabricate corresponding iron electrodes (Bi2S3@Fe-Gr). During the ball milling process, the weakening of interlayer forces in Gr leads to an increase in the dispersity and real surface area of Gr, which is conducive to the uniform dispersing of Fe and Bi2S3 particles and their firm immobilization on Gr. In addition, Fe particles, as electro-active species, are effectively coated with the fragmented Gr, which further benefits the stability of the iron electrode. The hydrogen evolution curves and passivation polarization curves of the prepared iron electrodes in different electrolytes (neutral and alkaline) were obtained to investigate their electrochemical performance. Herein, the performances of iron electrodes were studied both in a typical alkaline electrolyte (6 mol·L-1 KOH solution) and a quasi-neutral electrolyte (4 mol·L-1 NH4Cl+1 mol·L-1 KCl solution). Compared with alkaline electrolytes commonly used in metal-air batteries, neutral electrolytes greatly reduce the carbonation of solutions and have relative environmental friendliness. It was found that the prepared iron electrodes exhibited a great impact on inhibiting hydrogen evolution and iron passivation. This can be attributed to the presence of Gr fragments and Bi2S3. This work adopted a simple all-solid-state synthesis method to prepare iron electrodes, which is beneficial for the high efficiency and large-scale preparation of iron electrodes.
1. Experimental
1.1 Materials
Nano-scale Fe powder (99.9%, ca. 100 nm), Bi2S3, polyvinylidene difluoride (PVDF), Gr powder, potassium chloride, ammonium chloride, N-methyl-2-pyrrolidone (NMP, 98%), potassium hydroxide, and Pt/C (40%) were purchased from Sinopharm, China. All chemicals or materials were used as received without further treatment. The water used in the experiment was ultrapure (18.2 MΩ·cm).
1.2 Preparation of the electrodes
300 mg nano-scale Fe powder, 60 mg Gr powder, and different amounts of Bi2S3 (0, 1.5, 3, and 6 mg) were put into the ball tanks of a high-energy planetary ball mill, respectively, and 40 g ball mill beads were added to each ball tank. After running at 350 r·min-1 for 6 h, the samples were collected and dried at 70 ℃ for 24 h to obtain the samples Fe-Gr, Bi2S3-1.5@Fe-Gr, Bi2S3-3@Fe-Gr, and Bi2S3-6@Fe-Gr, corresponding to 0, 1.5, 3, and 6 mg Bi2S3, respectively.
2 mg of the sample powder, 5 mg of PVDF, and 40 μL of NMP were mixed and stirred thoroughly to form a highly dispersed black paste. The paste was then evenly coated on the conductive carbon cloth with a smearing area of 0.5 cm2 to obtain the sample loading of 4 mg·cm-2. After the coated conductive carbon cloth was dried completely in a 60 ℃ vacuum drying box, it was wrapped with tin foil paper and subjected to the hot pressing treatment at 120 ℃ and 25 kN. After removing the tin foil paper, the required Fe-Gr, Bi2S3-1.5@Fe-Gr, Bi2S3-3@Fe-Gr, and Bi2S3-6@Fe-Gr electrodes were obtained.
1.3 Characterization of electrodes
X-ray diffraction (XRD) measurement was performed on a Bruker D8 Advance A25X instrument at 40 kV and 40 mA, with a scanning rate of 5 (°)·min-1 over a diffraction angle ranging from 20° to 60°. SEM images were acquired on an emission scanning electron microscope (FEI Inspect F50) with an accelerating voltage of 10 kV. X-ray photoelectron spectroscopy (XPS) data were obtained on a Thermo Scientific Nexsa K- Alpha instrument with a monochromatic Al Kα source at 15 kV and 10 mA. Based on the XPSPEAK41 software, all XPS results were calibrated using the C1s peak at 284.8 eV.
Electrochemical measurement was carried out in an electrochemical workstation of the AutoLab PGSTAT30/FRA electrochemical system (Netherlands). A conventional three-electrode system wasemployed, utilizing a platinum wire, an Ag/AgCl electrode in a saturated KCl solution, and the prepared iron electrode as the auxiliary, reference, and working electrodes, respectively. Potentials related to the Ag/AgCl electrode (E′) in this work were transferred to the potentials related to the reversible hydrogen electrode (E) based on the equation: E=E′+0.197+0.059 2pH. The electrolytes tested were an alkaline solution of 6 mol·L-1 KOH and a neutral solution of 4 mol·L-1 NH4Cl+1 mol·L-1 KCl, respectively. The preparation and performance test of the iron electrodes are schematically shown in Fig. 1.
Figure 1
2. Results and discussion
2.1 Morphology and composition of the electrodes
SEM images of pure Fe nanoparticles and Bi2S3-3@Fe-Gr are shown in Fig. 2. It was found from Fig. 2a that pure Fe nanoparticles presented a spherical structure, and most particles had a diameter of around 100 nm. For Bi2S3-3@Fe-Gr as indicated in Fig. 2b and 2c, there were lots of disturbed and small fragments due to the high‑energy ball milling treatment. And Fe nanoparticles were immobilized on Gr sheets, retarding their agglomeration. Ball milling reduces the interlayer forces of Gr, which is beneficial for the encapsulation of Fe particles by Gr fragments. It is further found from the elemental mapping images of Bi2S3‑3@Fe‑Gr (Fig. 3) that Fe and Bi2S3 particles were well dispersed on the surface of Gr sheets after the ball milling. Comparison of colors between Fig. 3a and 3f further manifested that most Fe particles were wrapped in carbon.
Figure 2
Figure 3
XRD pattern of Bi2S3-3@Fe-Gr is shown in Fig. 4a. Bi2S3-3@Fe-Gr had two distinct diffraction peaks at 44.7° and 65.0°, belonging to the (110) and (200) crystal planes of Fe (PDF No.06-0696)[18], respectively. The diffraction peak at 44.9° corresponds to the (031) crystal plane of FeC (PDF No.06-0686). The diffraction peaks at ca. 82.3° and 82.6° are attributed to Fe and FeC (Inset of Fig. 4a). The diffraction peaks at 26.5° and 54.5° are attributed to the (002) and (004) crystal planes of C, respectively (PDF No.26-1079). The diffraction peak at 35.5° can be ascribed to the (240) crystal plane of Bi2S3 (PDF No.17-0320).
Figure 4
Further, XPS was used to determine the chemical state of the elements in Bi2S3-3@Fe-Gr, as indicated in the survey XPS spectrum of Fig. 4b, which confirms the presence of Fe, S, C, and Bi elements. The high‑ resolution C1s XPS spectrum in Fig. 4c reveals the presence of C—C (284.8, 285.4 eV), C—O (286.6 eV), and O—C=O (293.1 eV) bonds[22]. Fig. 4d shows that the peaks at 161.2 and 160.8 eV originate from the S2p1/2 and S2p3/2, the peaks at 159.7 and 164.9 eV belong to Bi3+4f7/2 and Bi3+4f5/2, and the peaks at 158.8 and 163.9 eV correspond to the Bi04f7/2 and Bi04f5/2, respectively[32]. As for the Fe2p XPS spectrum (Fig. 4e), it can be deconvoluted into nine peaks, with the peaks at 710.8 and 724.3 eV representing Fe2+2p3/2 and Fe2+2p1/2, the peaks at 712.3 and 726.2 eV representing Fe3+2p3/2 and Fe3+2p1/2, and the peaks at 716.5, 720.1, 729.6, and 733.5 eV being the satellite peaks of the four peaks mentioned above, respectively. There is only a weak peak at 707.2 eV (Fig. 4e) that indicates the existence of metallic Fe[22], manifesting that the surface of iron particles is almost completely oxidized. The XPS results indicate that the high-energy ball milling process caused interaction between Fe nanoparticles and Bi2S3, resulting in the formation of FeS shown by Reaction 1. Therefore, XRD and XPS analysis fully demonstrate the interaction among Gr, Fe nanoparticles, and Bi2S3, as well as the changes in the surface state of Fe nanoparticles by the high-energy ball milling.
$ 3 \mathrm{Fe}+\mathrm{Bi}_2 \mathrm{~S}_3 \rightarrow 3 \mathrm{FeS}+2 \mathrm{Bi} $ (1) 2.2 Electrochemical behavior of electrodes
Fig. 5 shows the cyclic voltammetry (CV) curves of four samples in a 6 mol·L-1 KOH solution. It can be seen from Fig. 5a that the oxidation peak of Fe-Gr appeared at the potential of 0.41 Ⅴ, corresponding to the oxidation of Fe into Fe3+. This wide and strong oxidation peak was involved in two possible steps, including the oxidation of Fe to Fe2+ and Fe2+ to Fe3+ [28]. Bi2S3-1.5@Fe-Gr (Fig. 5b) showed an oxidation peak at apotential of 0.79 Ⅴ, which is related to the oxidation of Fe2+ to Fe3+. In addition, a weak oxidation peak at ca. 0.33 Ⅴ (Fig. 5b) may be ascribed to the oxidation of Fe to Fe2+. Fig. 5c indicates that Bi2S3-3@Fe-Gr also exhibited two oxidation peaks at ca. 0.25 and 0.86 Ⅴ, originating from the oxidation reactions of Fe to Fe2+ and Fe2+ to Fe3+, respectively. Considering the alkaline electrolyte applied, Fe2+ and Fe3+ ions exist in the form of Fe(OH)2 and Fe(OH)3, which is more conducive to the oxidation of Fe or Fe2+. The oxidation peak of Bi2S3-6@Fe-Gr (Fig. 5d) occurred at a potential of ca. -0.11 Ⅴ, which may be attributed to the oxidation of Fe to the adsorbed hydroxy iron [Fe(OH)]ads[33]. The subsequent oxidation peak at 0.07 Ⅴ is due to the oxidation of [Fe(OH)]ads to Fe2+. Reactions related to the anodic oxidation of iron electrodes are shown in Eq.2-5[28, 34]:
$ \mathrm{Fe}+\mathrm{OH}^{-} \rightarrow[\mathrm{Fe}(\mathrm{OH})]_{\mathrm{ads}}+\mathrm{e}^{-} $ (2) $ [\mathrm{Fe}(\mathrm{OH})]_{\mathrm{ads}}+\mathrm{OH}^{-} \longrightarrow \mathrm{Fe}(\mathrm{OH})_2+\mathrm{e}^{-} $ (3) $ \mathrm{Fe} \rightarrow \mathrm{Fe}^{2+}+2 \mathrm{e}^{-} $ (4) $ \mathrm{Fe}^{2+}+3 \mathrm{OH}^{-} \rightarrow \mathrm{Fe}(\mathrm{OH})_3+\mathrm{e}^{-} $ (5) During the negative scan of the CV curves (Fig. 5a), the Fe-Gr electrode revealed a wide and strong cathodic peak, which would be caused by the superposition of two reactions, e.g., Fe3+ to Fe2+ and Fe2+ to Fe. As for the other three electrodes containing Bi2S3 as indicated in Fig. 5b-5d, however, a well-defined cathodic peak is distinguished at ca. -0.04-0.04 Ⅴ, being ascribed to the reduction of Fe3+ to Fe2+. The subsequent weak peak corresponds to the deposition of metallic Fe from Fe2+. Comparing Fe-Gr with Bi2S3-1.5@Fe-Gr, Bi2S3-3@Fe-Gr, and Bi2S3-6@Fe-Gr, it was found that the redox processes of iron in the presence of Bi2S3 were severely inhibited, indicating that the stability of the iron electrode has been improved by the additive Bi2S3.
Figure 5
Electrochemical behaviors of the prepared iron electrodes in a quasi-neutral 4 mol·L-1 NH4Cl+1 mol·L-1 KCl solution were further investigated with the CV technique, as shown in Fig. 6. Compared to the manifestation in alkaline electrolytes (Fig. 5), the samples revealed homologous redox behaviors in neutral mediums. Fe-Gr (Fig. 6a) displayed a wider and strongeroxidation peak at ca. 0.25 Ⅴ, which would be mainly ascribed to the oxidation of Fe to Fe2+. The subsequent anodic process is caused by the oxidation of Fe2+ to Fe3+. During the negative scan, two well-defined reduction peaks are attributed to the reverse processes of Eq.4-5. As for Bi2S3-1.5@Fe-Gr and Bi2S3-3@Fe-Gr (Fig. 6b and 6c), the redox processes involved in iron species were greatly restrained. When the content of Bi2S3 increased to 6 mg (Fig. 6d), however, the redox processes of Fe were strengthened again, indicated by the increment of redox currents. This phenomenon is consistent with that in alkaline electrolytes, as shown in Fig. 5d, which may be due to the possible reaction between Fe and Bi2S3 during the high-energy ball milling process and the subsequent promoting effect on iron redox processes.
Figure 6
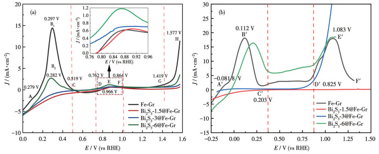
The anodic polarization method was also applied to test the passivation behaviors of the prepared samples in an alkaline solution of 6 mol·L-1 KOH and a neutral solution of 4 mol·L-1 NH4Cl+1 mol·L-1 KCl, as indicated in Fig. 7. It was found from Fig. 7a that for the sample Fe-Gr in the absence of Bi2S3, its polarization curve was similar to that of a typical iron anode[35]. The potential ranging from point A (0.279 Ⅴ) to point B1 (0.297 Ⅴ) is called the active region; the potential 0.279 Ⅴ corresponding to point A is the natural corrosion potential of the metal iron. The transition zone is from point B1 (0.297 Ⅴ) to point C (0.519 Ⅴ, showing the transition from the active state to a passive state. The potential of 0.297 Ⅴ at point B1 means the critical potential of metal iron, and the corresponding current Jp was 14.5 mA·cm-2. After a cliff-like descent of current from point B1 to C, the anodic electrode entered the passivation zone from C to G, characterized by a very small passivation current. The subsequent increase in current from point G to H means thedestruction of the passivation layer and further oxidation of iron. Interestingly, Bi2S3-1.5@Fe-Gr and Bi2S3-3@Fe-Gr revealed completely different polarization curves from Fe-Gr. The anodic oxidation region A-B-C disappeared for the two samples, showing that the oxidation of metal Fe was well inhibited by Bi2S3. However, Bi2S3-6@Fe-Gr exhibited a well-defined active region A-B-C, further manifesting that more additive Bi2S3 promotes the oxidation of Fe. Generally, the passivation current value of the nano-iron electrode greatly affects its discharge rate[36]. In alkaline media, although all samples exhibited relatively small passivation current densities in the region C-G, the passivation current density of the Bi2S3-6@Fe-Gr was higher than those of other samples (the Inset of Fig. 7a). Results showed that adding an appropriate amount of Bi2S3 was beneficial for inhibiting iron redox, but too much Bi2S3 would weaken this inhibitory effect.
Figure 7
In the neutral solution of 4 mol·L-1 NH4Cl+1 mol·L-1 KCl as indicated in Fig. 7b, the Fe-Gr exhibited a similar anodic polarization curve to that in Fig. 7a. Compared to Fig. 7a and 7b, however, Fe-Gr revealed higher passivation current densities in the neutral medium than in the alkaline medium. Surprisingly, it was observed from Fig. 7b that Bi2S3-6@Fe-Gr even presented much higher passivation currents than Fe-Gr. On the contrary, the passivation degree of Bi2S3-1.5@Fe-Gr and Bi2S3-3@Fe-Gr was much higher than that of Fe-Gr and Bi2S3-6@Fe-Gr. The high passivation currents of the Bi2S3-6@Fe-Gr mean its high discharge rate when it is applied as an iron anode to iron-based batteries like the IAB[37-39]. Weinrich et al. considered that the FeS formed by the reaction between Fe and Bi2S3 particles can eliminate passivation caused by the discharge product ferric oxide with electrical insulation[37]. Moreover, the interaction of Bi2S3 with Fe particles leads to an increase in the porosity of the Fe particles and delays the further formation of the passivation layer. Thus, the existence of iron sulfide species improves electrical conductivity at the interface, thus allowing the discharge reaction to be sustained at higher rates, which is why Bi2S3-6@Fe-Gr exhibits high passivation currents. A similar observation can also be found in alkaline electrolytes as indicated in the inset of Fig. 7a, where the Bi2S3-6@Fe-Gr also had slightly higher passivation currents than other samples. Results demonstrate that the additive Bi2S3 delivers different impacts on alkaline and neutral electrolytes.
The HER on the prepared Fe-Gr, Bi2S3-1.5@Fe-Gr, Bi2S3-3@Fe-Gr, and Bi2S3-6@Fe-Gr electrodes was further investigated to show the inhibitory effect of Bi2S3 on HER. Results were also compared with the benchmark Pt/C as indicated in Fig. 8. It is observed from Fig. 8 that whether in alkaline (Fig. 8a) or neutral (Fig. 8b) solution, the onset potentials of HER on the prepared samples exhibited a significant shift in a negative direction compared to the Pt/C. Among the prepared samples, however, Bi2S3-3@Fe-Gr presented the best inhibitory effect on hydrogen evolution both in neutral and alkaline media, characterized by the smallest hydrogen evolution current and the most negative hydrogen evolution potential. The Tafel curves extracted from the corresponding LSV curves are shown in Fig. 8c and 8d. In 6 mol·L-1 KOH solution, Pt/C delivered a Tafel slope of 94.36 mV·dec-1, while the prepared samples Fe-Gr, Bi2S3-1.5@Fe-Gr, Bi2S3-3@Fe-Gr, and Bi2S3-6@Fe-Gr showed much higher Tafel slopes of 655.19, 1 047.04, 1 422.03, and 1 051.76 mV·dec-1, respectively. Similar to that in neutral solution, Pt/C also presented the smallest Tafel slope of 169.45 mV·dec-1, as shown in Fig. 8d. And Bi2S3-3@Fe-Gr also had the highest Tafel slope of 437.45 mV·dec-1 compared to other samples Fe-Gr (256.69 mV·dec-1), Bi2S3-1.5@Fe-Gr (319.63 mV·dec-1), and Bi2S3-6@Fe-Gr (349.93 mV·dec-1). The results from Fig. 8 indicate that adding an appropriate amount of Bi2S3 to the iron electrode can effectively suppress hydrogen evolution, whether in alkaline or neutral electrolytes. This would be attributed to the fact that the presence of Bi2S3 is not conducive to the formation of adsorbed hydrogen intermediates on the surface of the iron electrode, thereby increasing the overpotential of hydrogen evolution[27-28, 39]. As for Bi2S3-6@Fe-Gr with a high Bi2S3 content, on the contrary, it presented a poorer inhibitory performance on hydrogen evolution than Bi2S3-3@Fe-Gr. This would be ascribed to the formation of more FeS on the Bi2S3-6@Fe-Gr, which may facilitate the adsorption of hydrogen species on the electrode surface, thereby reducing the overpotential of HER. However, the influence of the amount of Bi2S3 added to the specific mechanism of inhibiting hydrogen evolution in different electrolyte solutions still needs to be further studied. Results show that when the Bi2S3-3@Fe-Gr is applied to the IAB as an anode, the corresponding battery will exhibit excellent stability in the idle state and higher charging efficiencies.
Figure 8
3. Conclusions
In this work, iron electrodes were fabricated by mixing nano-iron, graphite, and Bi2S3 in a high-energy planetary ball mill. The ball milling treatment is conducive to the uniform and tight dispersion between graphite sheets. The existence of Bi2S3 significantly influences the redox behaviors of iron for the prepared electrodes. In summary, adding an appropriate amount of Bi2S3 to the iron electrode is beneficial for suppressing hydrogen evolution, while more Bi2S3 is beneficial for increasing the passivation current during anodization. Therefore, for the rechargeable IAB, the design of efficient iron electrode materials plays a key role in the practical application of these sustainable energy devices and technologies[40]. Among the prepared samples, Bi2S3-3@Fe-Gr showed the best effect on inhibiting hydrogen evolution. Although the effect of Bi2S3-6@Fe-Gr on inhibiting hydrogen evolution was not significant, it released high passivation currents in neutral electrolytes, probably due to the changes in the surface state of Fe nanoparticles. This means that the neutral IAB using the Bi2S3-6@Fe-Gr as the anode will deliver larger discharge currents and power densities. The results provide a new strategy for inhibiting hydrogen evolution and passivation of iron electrodes.
Acknowledgments: The corresponding author gratefully acknowledges the financial support of the National Natural Science Foundation of China (Grant No.22379042). -
-
[1]
WANG Y P, YI R W, FAN W X, LI G, YI Q F. Ultra-stable air electrodes based on different carbon materials for zinc-air battery[J]. J. Power Sources, 2024, 624: 235518. doi: 10.1016/j.jpowsour.2024.235518
-
[2]
ZHANG W C, FENG B W, HUANG L, LIANG Y H, CHEN J P, LI X Z, SHI Z C, WANG N G. Fe/Cu diatomic sites dispersed on nitrogendoped mesoporous carbon for the boosted oxygen reduction reaction in Mg-air and Zn-air batteries[J]. Appl. Catal. B-Environ., 2024, 358: 124450. doi: 10.1016/j.apcatb.2024.124450
-
[3]
FANG C, TANG X M, YI Q F. Adding Fe/dicyandiamide to Co-MOF to greatly improve its ORR/OER bifunctional electrocatalytic activity[J]. Appl. Catal. B-Environ., 2024, 341: 123346. doi: 10.1016/j.apcatb.2023.123346
-
[4]
GUO S H, CHEN Y P, SONG Y, WANG W, LI C Q, SHI Z C, WANG N G. Discharge and corrosion behavior of Mg-Al-Sn anodes: An in-depth study of the morphological impact of Mg2Sn phase[J]. J. Power Sources, 2025, 628: 235935. doi: 10.1016/j.jpowsour.2024.235935
-
[5]
WANG Y B, CHEN A L, FANG C, YI Q F. Nitrogen/phosphorus/ boron-codoped hollow carbon spheres as highly efficient electrocatalysts for Znair batteries[J]. Ind. Eng. Chem. Res., 2022, 61: 10969-10981. doi: 10.1021/acs.iecr.2c01350
-
[6]
FANG C, YI Q F, CHEN A L, WANG Y B, WANG Y P, LI X F. Fabrication of FeCo/multidimensional carbon-based nanocomposites as excellent cathodic catalysts of Zn-air battery[J]. J. Electrochem. Soc., 2022, 169: 110538. doi: 10.1149/1945-7111/aca2e3
-
[7]
WANG Y P, YI R W, LI G, YI Q F, FAN W X. Impact of diffusion layer structure of air electrodes on their performance in neutral zinc/ iron-air batteries[J]. J. Alloy. Compd., 2025, 1010: 177492. doi: 10.1016/j.jallcom.2024.177492
-
[8]
CHEN A L, YI Q F, SHENG K, WANG Y B, CHEN J C, ZHANG Q L, TAN G H. Mesoporous N-P codoped carbon nanosheets as superior cathodic catalysts of neutral metal-air batteries[J]. Langmuir, 2021, 37(43): 12616-12628. doi: 10.1021/acs.langmuir.1c01947
-
[9]
HANG B T, THANG D H, KOBAYASHI E. Fe/carbon nanofiber composite materials for Fe-air battery anodes[J]. J. Electroanal. Chem., 2013, 704: 145-152. doi: 10.1016/j.jelechem.2013.06.018
-
[10]
IKEUBA A I, IWUJI P C, NABUK I E, OBONO O E, CHARLIE D, ETIM A A, NWABUEZE B I, AMAJAMA J. Advances on lithium, magnesium, zinc, and iron-air batteries as energy delivery devices-A critical review[J]. J. Solid State Electrochem., 2024, 28(9): 2999-3025. doi: 10.1007/s10008-024-05866-x
-
[11]
WEINRICH H, DURMUS Y E, TEMPEL H, KUNGL H, EICHEL R A. Silicon and iron as resource-efficient anode materials for ambienttemperature metal-air batteries: A review[J]. Materials, 2019, 12: 2134. doi: 10.3390/ma12132134
-
[12]
WEINRICH H, GEHRING M, TEMPEL H, KUNGL H, EICHEL R A. Electrode thickness-dependent formation of porous iron electrodes for secondary alkaline iron-air batteries[J]. Electrochim. Acta, 2019, 314: 61-71. doi: 10.1016/j.electacta.2019.05.025
-
[13]
TAN W K, ASAMI K, MAEGAWA K, KUMAR R, KAWAMURA G, MUTO H, MATSUDA A. Fe3O4-embedded rGO composites as anode for rechargeable FeOx-air batteries. mater[J]. Today Commun., 2020, 25: 101540.
-
[14]
VILLANUEVA-MARTÍNEZ N I, ALEGRE C, RUBÍN J, MCKERRACHER R, DE LEÓN C P, RODRÍGUEZ H A F, LÁZARO M J. Investigation of the properties influencing the deactivation of iron electrodes in ironair batteries[J]. Electrochim. Acta, 2023, 465: 142964. doi: 10.1016/j.electacta.2023.142964
-
[15]
LI Y G, LU J. Metalair batteries: Will they be the future electrochemical energy storage device of choice?[J]. ACS Energy Lett., 2017, 2(6): 1370-1377.
-
[16]
尹玉华, 方灿, 易清风, 李广. 不同碳导电剂对铁-空气电池性能的影响[J]. 化工学报, 2024,75,(2): 685-694. YIN Y H, FANG C, YI Q F, LI G. Impact of different carbon conductive agents on performance of iron-air battery[J]. CIESC J., 2024, 75(2): 685-694.
-
[17]
POSADA J O G, HALL P J. Multivariate investigation of parameters in the development and improvement of NiFe cells[J]. J. Power Sources, 2014, 262: 263-269. doi: 10.1016/j.jpowsour.2014.03.145
-
[18]
WANG Y B, YI R W, CHEN A L, FANG C, WANG Y Q, YI Q F, LIU M Y, LIU S J, ZHAN S Q, ZHONG B. Hollow carbon sphere and polyhedral carbon composites supported iron nanoparticles as excellent bifunctional electrocatalysts of Zn-air battery[J]. Energy Technol., 2022, 10(5): 2200057. doi: 10.1002/ente.202200057
-
[19]
FLIS-KABULSKA I, FLIS J, ZAKROCZYMSKI T. Promotion of hydrogen entry into iron from NaOH solution by iron-oxygen species[J]. Electrochim. Acta, 2007, 52(24): 7158-7165. doi: 10.1016/j.electacta.2007.05.053
-
[20]
YANG B, MALKHANDI S, MANOHAR A K, PRAKASH G K S, NARAYANAN S R. Organo-sulfur molecules enable iron-based battery electrodes to meet the challenges of large-scale electrical energy storage[J]. Energy Environ. Sci., 2014, 7(8): 2753-2763. doi: 10.1039/C4EE01454E
-
[21]
FIGUEREDO-RODRÍGUEZ H A, McKERRACHER R D, INSAUSTI M, LUIS A G, DE LEΌN C P, ALEGRE C, BAGLIO V, ARICÒ A S, WALSH F C. A rechargeable, aqueous iron air battery with nanostructured electrodes capable of high energy density operation[J]. J. Electrochem. Soc., 2017, 164(6): A1148-A1157. doi: 10.1149/2.0711706jes
-
[22]
FANG C, TANG X M, WANG J Y, YI Q F. Performance of iron-air battery with iron nanoparticle-encapsulated C-N composite electrode[J]. Front. Energy, 2024, 18(1): 42-53. doi: 10.1007/s11708-023-0913-5
-
[23]
CASELLATO U, COMISSO N, MENGOLI G. Effect of Li ions on reduction of Fe oxides in aqueous alkaline medium[J]. Electrochim. Acta, 2006, 51(26): 5669-5681. doi: 10.1016/j.electacta.2006.01.057
-
[24]
MALKHANDI S, YANG B, MANOHAR A K, PRAKASH G K S, NARAYANAN S R. Self-assembled monolayers of n-alkanethiols suppress hydrogen evolution and increase the efficiency of rechargeable iron battery electrodes[J]. J. Am. Chem. Soc., 2013, 135: 347-353. doi: 10.1021/ja3095119
-
[25]
VIJAYAMOHANAN K, SHUKIA A K, SATHYANARAYANA S. Role of sulphide additives on the performance of alkaline iron electrodes[J]. J. Electroanal. Chem., 1990, 289(1): 55-68.
-
[26]
BALASUBRAMANIAN T S, SHUKLA A K. Effect of metal-sulfide additives on charge/discharge reactions of the alkaline iron electrode[J]. J. Power Sources, 1993, 41(1): 99-105.
-
[27]
MANOHAR A K, YANG C G, NARAYANAN S R. The role of sulfide additives in achieving long cycle life rechargeable iron electrodes in alkaline batteries[J]. J. Electrochem. Soc., 2015, 162(9): A1864-A1872. doi: 10.1149/2.0741509jes
-
[28]
POSADA J O G, HALL P J. Post-hoc comparisons among iron electrode formulations based on bismuth, bismuth sulphide, iron sulphide, and potassium sulphide under strong alkaline conditions[J]. J. Power Sources, 2014, 268: 810-815. doi: 10.1016/j.jpowsour.2014.06.126
-
[29]
HANG B T, THANG D H. Effect of additives on the electrochemical properties of Fe2O3/C nanocomposite for Fe/air battery anode[J]. J. Electroanal. Chem., 2016, 762: 59-65. doi: 10.1016/j.jelechem.2015.12.012
-
[30]
TIAN B, ŚWIATOWSKA J, MAURICE V, ZANNA S, SEYEUX A, MARCUS P. The effect of Na2S additive in alkaline electrolyte on improved performances of Fe-based air batteries[J]. Electrochim. Acta, 2018, 259: 196-203. doi: 10.1016/j.electacta.2017.10.136
-
[31]
RAJAN A S, SAMPATH S, SHUKLA A K. An in situ carbon-grafted alkaline iron electrode for iron-based accumulators[J]. Energy Environ. Sci., 2014, 7(3): 1110-1116. doi: 10.1039/c3ee42783h
-
[32]
MAJUMDER S, GU M, KIM K H. Facile fabrication of BiVO4/Bi2S3/ NiCoO 2 for significant photoelectrochemical water splitting[J]. Appl. Surf. Sci., 2022, 574: 151562. doi: 10.1016/j.apsusc.2021.151562
-
[33]
ČERNY J, MICKA K. Voltammetric study of an iron electrode in alkaline electrolytes[J]. J. Power Sources, 1989, 25(2): 111-122. doi: 10.1016/0378-7753(89)85003-7
-
[34]
HANG B T, DANG T V, QUY N V. Effect of the charging conditions on the cycle performance of Fe2O3/C composite anodes for ironair batteries[J]. J. Electron. Mater., 2022, 51: 2168-2177. doi: 10.1007/s11664-022-09472-3
-
[35]
何伟春, 邵海波, 陈权启, 王建明, 张鉴清. 铁阳极在浓NaOH溶液中的极化特征[J]. 物理化学学报, 2007,23,(10): 1525-1530. HE W C, SHAO H B, CHEN Q Q, WANG J M, ZHANG J Q. Polarization characteristic of iron anode in concentrated NaOH solution[J]. Acta Phys. -Chim. Sin., 2007, 23(10): 1525-1530.
-
[36]
MANOHAR A K, YANG C G, MALKHANDI S, PRAKASH G K S, NARAYANAN S R. Enhancing the performance of the rechargeable iron electrode in alkaline batteries with bismuth oxide and iron sulfide additives[J]. J. Electrochem. Soc., 2013, 160(11): A2078-A2084. doi: 10.1149/2.066311jes
-
[37]
WEINRICH H, GEHRING M, TEMPEL H, KUNGL H, EICHEL R A. Impact of the charging conditions on the discharge performance of rechargeable iron-anodes for alkaline iron-air batteries[J]. J. Appl. Electrochem., 2018, 48: 451-462. doi: 10.1007/s10800-018-1176-4
-
[38]
McKERRACHER R D, DE LEON C P, WILLS R G A, SHAH A A, WALSH F C. A review of the ironair secondary battery for energy storage[J]. ChemPlusChem, 2015, 80: 323-335. doi: 10.1002/cplu.201402238
-
[39]
MANOHAR A K, MALKHANDI S, YANG B, YANG C, PRAKASH G K S, NARAYANAN S R. A highperformance rechargeable iron electrode for large-scale battery-based energy storage[J]. J. Electrochem. Soc., 2012, 159(8): A1209-A1214. doi: 10.1149/2.034208jes
-
[40]
FU J, LIANG R L, LIU G H, YU A P, BAI Z Y, YANG L, CHEN Z W. Recent progress in electrically rechargeable zinc-air batteries[J]. Adv. Mater., 2019, 31(31): 1805230. doi: 10.1002/adma.201805230
-
[1]
-
-
扫一扫看文章
计量
- PDF下载量: 0
- 文章访问数: 1243
- HTML全文浏览量: 81

下载:
下载:
下载: