Citation: Yanxi LIU, Mengjia XU, Haonan CHEN, Quan LIU, Yuming ZHANG. A fluorescent-colorimetric probe for peroxynitrite-anion-imaging in living cells[J]. Chinese Journal of Inorganic Chemistry, 2025, 41(6): 1112-1122. doi: 10.11862/CJIC.20240423
一例成像活细胞内过氧亚硝酸根阴离子的荧光-比色双模式探针
English
A fluorescent-colorimetric probe for peroxynitrite-anion-imaging in living cells
-
Key words:
- fluorescent probe
- / peroxynitrite anion
- / cell imaging
-
0. 引言
过氧亚硝酸根阴离子(ONOO-)是超氧阴离子(·O2-)与一氧化氮(NO)反应生成的一种活性氮物种[1-2],在细胞信号传导、体内稳态调节以及多种疾病的发生和发展中具有重要的作用[3-5]。生物体内ONOO-浓度异常升高会干扰细胞的正常功能,加速器官老化,诱发类风湿关节炎[6-7]、癌症[8-9]以及其他免疫性疾病[10-11]。迄今为止,ONOO-在生命系统中的深层作用机制尚未完全明晰。由于ONOO-在生命体内低稳态浓度和短暂的半衰期,原位活体检测这一物种变得尤为困难[12]。为了深入理解该物种的生理病理功能,促进相关疾病的诊断和治疗,开发一种高选择性、高灵敏度的原位无损检测技术尤为必要。
研究者开发了多种分析技术检测ONOO-,包括电化学分析法[13-14]、电子自旋共振光谱法[15-16]、紫外可见光谱法[17]以及色谱分析法[18-19]。尽管上述方法均可应用于ONOO-的检测,但它们普遍存在着仪器成本高昂、样品预处理过程繁琐、检测效率低、生物相容性差、无法原位无损检测等局限性,因此不适宜于生命体内ONOO-的检测。荧光成像技术因其高选择性、高时空分辨率以及良好的生物相容性,被认为是极具前景的生命体物种检测手段[20-24]。
近年来,研究者以花菁染料、荧光素、罗丹明以及氟硼二吡咯化合物等[25-27]为信号基团,构建了检测ONOO-的荧光探针。Liu等[28]开发了一种新型的荧光探针HCA-OH,探针响应底物后548 nm处的荧光增强,能够对HepG2细胞和活体秀丽隐杆线虫中的ONOO-进行实时监测。Chai等[29]构建了一款近红外荧光探针QCy7-DP,对ONOO⁻的响应可在12 min内达到平衡,能够无创实时监测肝损伤小鼠模型中ONOO-的生成。Khan等[30]报导了一种基于芘酰亚胺的荧光探针PMI-BE,可用于活细胞内源性ONOO-的超灵敏和选择性示踪。尽管这些探针实现了细胞或活体内ONOO-的原位成像,但仍存在一些局限性,包括探针的制备过程复杂或响应时间较长等。因此开发一种制备简单、选择性高、响应速度快的新型ONOO-荧光探针具有重要现实意义。
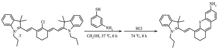
本研究中,基于吲哚盐杂合硫杂蒽荧光团,我们成功构建了一例新型近红外荧光探针NSHD(图 1)。该探针制备简单,可以由商业原料一锅法合成得到,产率较高。在生命体pH范围内探针的荧光性质稳定,能快速响应ONOO-,具有高灵敏度和高选择性,不受生命体常见金属离子和其他活性氧/氮物种的干扰。在ONOO-存在的情况下,探针785 nm下的荧光发射迅速减弱,同时溶液颜色由蓝色转变为无色,实现荧光-比色双模式检测。电喷雾质谱测试结果表明,ONOO-存在时探针NSHD的大共轭结构发生氧化裂解,导致探针荧光和颜色发生改变。此外,该探针生物毒性小,成功实现了对活细胞中ONOO-的成像。
图 1
1. 实验部分
1.1 仪器与试剂
化合物合成中的常用药品、常规溶剂,如二氯甲烷、甲醇、乙醇、石油醚等均为分析纯,购自国内试剂供应商。光谱性质测试中,试剂二甲亚砜(DMSO)为光谱纯级别,购自伊诺凯公司,水为Milli- pore Direct-Q 3UV处理过的超纯水。IR780(2-(2-{2- 氯-3-[(1,3-二氢-3,3-二甲基-1-丙基-2H-吲哚-2-亚基)亚乙基]-1-环己烯-1-基}乙烯基)-3,3-二甲基-1-丙基吲哚鎓碘化物)购于Sigma-Aldrich公司,3-氨基噻吩购于安耐吉公司。磷酸盐缓冲溶液(PBS)为武汉塞维尔生物科技有限公司生产的1×PBS,pH=7.40。紫外可见光谱在UV-3600紫外可见光谱仪上收集。荧光光谱在Spectrofluorometer(Edinburgh FS5)荧光光谱仪上收集。pH用METTLER TOLEDO pH计测试。1H NMR和 13C NMR谱图在Bruker DRX-400核磁仪上收集,以TMS作内标(298 K)。高分辨质谱(HRMS)数据在Triple TOF™5600上采集。MTT细胞增殖及细胞毒性检测试剂盒购于碧云天公司。细胞毒性实验中吸光度在Read Max 1500酶标仪上读取。细胞成像使用Nikon-Ti 2显微镜完成。荧光和紫外可见光谱数据使用Origin 2021软件包处理。细胞中的平均面积强度由NIS Elements软件读出,图片使用软件Image J进行处理。
1.2 探针NSHD的合成及表征
探针NSHD的合成路线如图 1所示。在250 mL三颈烧瓶中,将IR780(1.0 g,1.5 mmol)和3-氨基噻吩(0.37 g,3.0 mmol)溶于30 mL甲醇,在氩气保护下搅拌回流6 h。随后,缓慢加入浓HCl溶液(10 mL),回流反应8 h。反应结束后,冷却至室温,减压蒸馏脱溶剂,将所得粗产物溶于CH2Cl2,有机相用饱和食盐水洗3次,无水MgSO4干燥,抽滤去除干燥剂,减压旋蒸脱溶剂,硅胶柱层析分离提纯,洗脱剂:CH2Cl2/ CH3OH(体积比97∶3),得到蓝绿色粉末(0.5 g,产率60%)。探针NSHD的核磁氢谱和碳谱表征如图 2和3所示。1H NMR(400 MHz,methanol-d4):δ 8.32(d,J= 13.8 Hz,1H),7.59(d,J=7.4 Hz,1H),7.50~7.40(m,4H),7.35(t,J=7.4 Hz,1H),6.91(s,1H),6.85(d,J=8.6 Hz, 1H),6.39(d,J=13.8 Hz,1H),4.20(t,J=7.3 Hz,2H),2.80(t,J=7.3 Hz,2H),2.70(t,J=6.1 Hz,2H),1.96~1.88 (m,4H),1.78(s,6H),1.06(t,J=7.4 Hz,3H)。13C NMR (101 MHz,methanol - d4):δ 174.40,156.84,152.46,142.40, 142.11, 141.38, 140.12, 138.45,133.36,129.96,128.62, 125.67, 124.89, 122.21, 119.89,116.55,111.43,106.58, 101.30, 49.61, 45.48, 31.87, 27.49,26.10,20.53,10.24,7.81。HRMS(m/z,正离子模式):实验值427.221 7,拟合值427.220 2([C28H31N2S]+)。
图 2
图 3
1.3 光谱性质测试
将NSHD用光谱纯DMSO配成2 mmol·L-1的储备液,放在-20 ℃下备用。紫外可见与荧光测试时,配成含20 µmol·L-1探针的PBS(φDMSO=30%,pH= 7.40)。荧光光谱测试时激发波长为680 nm,激发和发射狭缝宽度均为20 nm。选择性测试的所有样品均现配现用,将NaCl、KCl、MgCl2、ZnCl2、CuCl2、NaClO、H2O2、·OH、Na2CO3溶于超纯水配成相应浓度的储备液。Na+、K+、Mg2+终浓度为2 mmol·L-1,H2O2、·OH、CO32-、ClO-终浓度为100 µmol·L-1,Zn2+、Cu2+、ONOO-终浓度为50 µmol·L-1。ONOO-溶液的配制方法[31]:将2 mL NaNO2溶液(0.3 mol·L-1)置于冰水浴中,搅拌下加入70 µL的H2O2溶液(10 mol·L-1) 和1 mL HCl溶液(0.6 mol·L-1)。快速加入2 mL NaOH溶液(1.5 mol·L-1),快速搅拌,得到ONOO-的储备液。采用紫外光谱标定的方法对储备液进行浓度标定,在302 nm处测吸光度,计算ONOO-的浓度。公式:c=A302 nm/1.67,单位:mmol·L-1。用HCl和NaOH调节溶液pH依次至4.5、5.5、6.5、7.5、8.5。调节时使用梯度浓度的酸碱,控制每次所加HCl或NaOH的体积小于2.5 µL。
1.4 细胞毒性实验
选用人类宫颈癌细胞(HeLa细胞),在含有10% 胎牛血清(FBS)、1% 青霉素-链霉素(PS)的Dulbecco改良Eagle培养基(DMEM)中培养。将细胞用胰酶消化并吹打成单细胞悬浮液后接种到96孔细胞培养板中,接种的细胞密度约为每孔1×104个,并于37 ℃、CO2体积分数5%(下同)的培养箱中继续培养24 h,使HeLa细胞贴壁生长。随后,去除原有培养基,用PBS洗涤3次,加入预先配好含有不同浓度NSHD(0、1、2、3、4、5、8、10 µmol·L-1)的100 µL培养基,在37 ℃、5%CO2的培养箱中继续培养6和12 h。培养结束后每孔中加入10 µL(5 mg·mL-1)MTT(3-(4,5-二甲基噻唑-2)-2,5-二苯基四氮唑溴盐)溶液,继续培养4 h。随后每孔加入100 µL的Formazan溶解液,在37 ℃、5%CO2培养箱中继续孵化3~4 h。将96孔板放在振荡器上振荡5 min左右,待紫色结晶完全溶解后用酶标仪测定每个孔在570 nm处的吸光值(OD值)。
1.5 细胞成像实验
细胞内ONOO-的荧光成像实验在HeLa细胞中进行,细胞放置于37 ℃、5%CO2的培养箱中生长。细胞每2~3天以1∶3比例用胰酶消化传代。做荧光成像实验前,将细胞接种到14 mm玻璃底的细胞爬片上并继续培养24 h。荧光成像实验分为3组:第1组:空白对照(细胞未经处理),用PBS洗3次后进行成像。第2组:HeLa细胞用5 µmol·L-1的探针NSHD孵化15 min,用PBS洗3次后成像。第3组:先将HeLa细胞与5 µmol·L-1的探针孵化15 min,随后用不同浓度SIN-1(3-morpholinosydnonimine,0、5、10、30、50 µmol·L-1),在37 ℃条件下孵化0.5 h,用PBS洗3次后成像。内源性ONOO-的荧光成像实验,细胞分为3组,第1组:空白对照(细胞未经处理),用PBS洗3次后成像。第2组:细胞用5 µmol·L-1的探针NSHD孵化15 min,用PBS洗3次后成像。第3组:细胞先用LPS(脂多糖,2 µg·mL-1)和IFN-γ(γ干扰素,100 ng·mL-1)共同孵化12 h,之后用5 µmol·L-1的探针NSHD孵化15 min,用PBS洗3次后成像。成像激发波长为665~715 nm,收集波长为760~824 nm,曝光时间为50 ms。
2. 结果与讨论
2.1 探针NSHD对ONOO-的荧光及紫外可见光谱响应
在含探针NSHD的PBS中(pH=7.40,10 mmol· L-1)进行ONOO-滴定实验。荧光滴定结果如图 4a所示,用680 nm的光激发后,NSHD探针本身在785 nm附近出现强发射峰,随着ONOO-滴加,785 nm处的荧光信号逐渐减弱并消失。以ONOO-浓度对785 nm下荧光强度作图,可见在0~20 µmol·L-1范围内荧光强度与ONOO-浓度的线性关系良好(图 4b)。紫外可见光谱测试结果显示,NSHD探针在680和732 nm处有2个强吸收峰,随着ONOO-滴加,732和680 nm处吸收峰均逐渐减弱(图 4c),在0~20 µmol·L-1范围内,732 nm处的吸光度与ONOO-浓度间的线性关系良好,同时溶液的颜色由蓝色迅速变为无色(图 4d)。采用公式LOD=3σ/k计算(σ为标准差,k为斜率),得到探针的检出限(LOD)为0.58 µmol·L-1。这表明探针NSHD可以通过荧光和比色双模式响应ONOO-。
图 4
图 4. 含20 µmol·L-1 NSHD探针的PBS(10 mmol·L-1, pH=7.40, φDMSO=30%)加入不同浓度ONOO-的(a) 荧光和(c) 紫外可见吸收光谱图; (b) 探针在785 nm处荧光强度随ONOO-浓度变化图(插图: 荧光强度和浓度的线性关系拟合图); (d) 探针在732 nm处的吸光度随ONOO-浓度变化图(插图: 探针溶液加入ONOO-前后的颜色变化)Figure 4. (a) Fluorescence spectra and (c) UV-Vis absorption spectra of 20 µmol·L-1 probe NSHD in PBS (10 mmol·L-1, pH=7.4, φDMSO=30%) upon the addition of ONOO- with different concentrations; (b) Plot of fluorescence intensity of the probe at 785 nm as a function of ONOO- concentration (Inset: the fitted linear relationship); (d) Plot of UV-Vis absorbance at 732 nm as a function of ONOO- concentration (Inset: color change before and after the addition of ONOO-)2.2 探针NSHD对ONOO-的响应时间
由于生命体内ONOO-半衰期短暂,快速响应是探针的重要性能。我们采用荧光光谱法探究了NSHD探针对ONOO-的响应时间。如图 5所示,在680 nm光激发下,探针NSHD在785 nm处出现显著的荧光发射峰。当引入探针浓度2倍的ONOO-后,探针荧光强度急剧下降并迅速达到平衡状态,同时溶液颜色由蓝色变为无色。如图 5b所示,探针785 nm处荧光强度在3 min左右趋于稳定,之后保持基本不变。这一结果表明探针NSHD具备对ONOO-快速响应的能力。
图 5
图 5. (a) 含20 µmol·L-1 NSHD的PBS(10 mmol·L-1, pH=7.4, φDMSO=30%)中加入40 µmol·L-1 ONOO-后, 荧光光谱随时间的变化; (b) 加入40 µmol·L-1 ONOO-后探针在785 nm处荧光强度随时间变化图Figure 5. (a) Changes in fluorescence spectra over time after adding 40 µmol·L-1 ONOO- to PBS (10 mmol·L-1, pH=7.4, φDMSO=30%) containing 20 µmol·L-1 NSHD; (b) Time-dependent fluorescence intensities of the probe at 785 nm after the addition of 40 µmol·L-1 ONOO-2.3 探针NSHD的选择性
对底物的高选择性响应是探针的重要性能之一。我们测试了探针NSHD对生命体内常见物种的响应性能。在探针溶液中分别加入Na+、K+、Mg2+、Zn2+、Cu2+、ClO-、H2O2、·OH、CO32-、ONOO-,在光信号稳定之后分别收集溶液的荧光发射和紫外可见吸收光谱图。如图 6a所示,探针的最大发射峰在785 nm附近,加入Na+、K+、Mg2+、Zn2+、Cu2+、ClO-、H2O2、·OH、CO32-后溶液的荧光光谱没有发生明显的变化,只有加入ONOO-后,溶液荧光发射发生明显变化,探针NSHD在785 nm附近的荧光信号显著降低(图 6c)。如图 6b所示,探针本身在680和720 nm附近有明显的双吸收峰。加入ONOO-后,这2个吸收峰都明显降低,而其他物种加入后探针吸收峰都没有出现显著变化。这些结果表明NSHD探针能够选择性识别ONOO-,不受生命体内常见金属离子和活性氧物种的干扰。
图 6
图 6. 含20 µmol·L-1 NSHD的PBS(10 mmol·L-1, pH=7.4, φDMSO=30%)在ONOO-和其他生命体常见物种存在时的(a) 荧光发射谱图和(b) 紫外可见吸收光谱图; (c) ONOO-和其他生命体常见物种存在下NSHD在785 nm处的荧光强度Figure 6. (a) Fluorescence emission spectra and (b) UV-Vis absorption spectra of PBS (10 mmol·L-1, pH=7.4, φDMSO=30%) containing 20 µmol·L-1 NSHD in the presence of ONOO- and other common species of living systems; (c) Fluorescence intensity of NSHD at 785 nm in the presence of ONOO- and other common species of living systems2.4 pH对探针NSHD光谱性质的影响
为研究pH对探针NSHD光谱性质的影响,我们采集了生理pH范围内NSHD探针的光谱。如图 7a所示,在pH=4.5~8.5范围内,NSHD探针的荧光发射光谱未发生显著变化,在785 nm处的荧光发射峰保持相对稳定(图 7c)。在该pH范围内探针的吸收光谱也没有出现明显的波动(图 7b)。这些结果表明在生理pH范围内,pH变化不会影响探针的光谱性质,该探针适用于生物体内物种的检测。
图 7
图 7. 含20 µmol·L-1 NSHD的PBS(10 mmol·L-1, φDMSO=30%)在不同pH下的(a) 荧光光谱图和(b) 紫外可见吸收光谱图; (c) 不同pH下探针在785 nm处荧光强度变化图Figure 7. (a) Fluorescence emission and (b) UV-Vis absorption spectra of PBS (10 mmol·L-1, φDMSO=30%) containing 20 µmol·L-1 NSHD with various pH values; (c) Fluorescence intensity changes of the probe at 785 nm at various pH values2.5 探针NSHD对ONOO-响应的机理
为了从分子层面揭示识别机制,我们用HRMS技术研究了探针NSHD对ONOO-的响应机理。如图 8a所示,探针NSHD的分子离子峰位于m/z= 427.221 7处,在ONOO-加入后,质谱图出现了显著变化,探针的分子离子峰消失,同时在m/z为204.136 2和230.154 1处出现新的分子离子峰,这些峰可以分别指认为[IND+H] +和[TSH+H] +(图 8b和8c)。据此,我们推测探针分子在ONOO-的作用下发生了氧化裂解。探针中的吲哚盐与硫杂蒽通过碳碳双键相连,而ONOO-作为一种活性氮物种,与探针发生氧化反应,导致双键两头都发生了断裂。图 9显示了探针NSHD与ONOO-可能的响应机理。这一结果不仅为理解探针的响应行为提供了分子层面的解释,也为设计新型的活性氮/氧物种探针提供了重要的参考。
图 8
图 9
2.6 细胞毒性实验
溶液实验结果表明,探针NSHD能快速响应ONOO-,是潜在的生命体荧光成像探针,所以我们继续测试了探针对细胞内ONOO-的成像能力。首先通过MTT实验评估了探针对HeLa细胞的生物相容性。用不同浓度的NSHD探针处理HeLa细胞6或12 h后,对细胞存活率进行测定,结果如图 10所示。在加入4 µmol·L-1的探针NSHD到细胞培养液中时,细胞存活率在各个时间段均保持在95% 以上。当探针NSHD的浓度达到5 µmol·L-1时,在12 h实验组的细胞存活率也高于80%。这些结果表明,探针NSHD的生物毒性较小,可应用于活细胞成像,具有较好的生物应用潜能。
图 10
2.7 探针对细胞中ONOO-的荧光成像性能
根据MTT细胞毒性实验,我们选用5 µmol·L-1的探针进行细胞内ONOO-的成像实验。SIN-1是一种细胞内ONOO-供体,在细胞内会发生分解,释放出一氧化氮(NO)和超氧阴离子(·O2-),这2种物质迅速反应生成ONOO- [32]。如图 11A所示,未经药品孵化、作为空白对照组的HeLa细胞中观察不到荧光信号。在37 ℃下,用5 µmol·L-1探针孵化15 min后,HeLa细胞内出现明显的荧光信号;继续用SIN-1孵化,细胞内的荧光信号显著降低。图 11B表明,孵化液中加入的SIN-1浓度越高,细胞内平均荧光强度越低。细胞成像结果与溶液测试结果一致,证实了NSHD探针能够有效检测细胞中ONOO-的存在,并对其含量变化具有较高灵敏度。
图 11
图 11. 探针对HeLa细胞内ONOO-的荧光成像: (A) 5 µmol·L-1探针NSHD孵化细胞15 min, 再加入不同浓度的SIN-1(0~50 µmol·L-1)继续孵化30 min的图像; (B) 各孵化条件下细胞内平均荧光强度量化图Figure 11. Fluorescence imaging of ONOO- in HeLa cells using the probe: (A) images for the cells incubated with 5 µmol·L-1 probe NSHD for 15 min, then treated with different concentrations of SIN-1 (0-50 µmol·L-1) for 30 min; (B) quantitative graph of average fluorescence intensities in the cells under various incubation conditionsBlank: cells without any treatment; the first lines a-c are bright field diagrams; the second line d-f is the fluorescence channel diagram; the third line g-i is the overlay of the first two.
在LPS和INF-γ刺激下,细胞能够生成内源性ONOO- [33]。为了评估探针NSHD对细胞内源性ONOO-的响应能力,细胞用LPS(2 µg·mL-1)和IFN-γ (100 ng·mL-1)预孵化12 h促使生成内源性ONOO-,再用探针孵化,结果如图 12所示。仅探针NSHD孵化的细胞在红色通道呈现出明显的荧光信号,而用LPS和IFN-γ预处理的细胞,红色通道荧光信号显著降低,这表明在LPS和IFN-γ刺激下细胞内产生ONOO-,导致探针荧光信号下降,即探针NSHD能够响应细胞中内源性ONOO-。
图 12
图 12. 探针对HeLa细胞中内源性ONOO-的荧光成像: (A) 5 µmol·L-1探针NSHD孵化细胞15 min, 或用LPS(2 µg·mL-1) 和IFN-γ (100 ng·mL-1)预处理12 h, 再用5 µmol·L-1探针NSHD孵化15 min; (B) 对应的细胞内平均荧光强度量化图Figure 12. Fluorescence imaging of endogenous ONOO- in HeLa cells using the probe: (A) images of the cells treated by 5 µmol·L-1 NSHD for 15 min, or incubated with LPS (2 µg·mL-1) and IFN-γ (100 ng·mL-1) for 12 h, and then incubated with NSHD (5 µmol·L-1) for 15 min before imaging; (B) corresponding quantitative graph of average fluorescence intensities within the cellsBlank: cells without any treatment; the first lines a-c are bright field diagrams; the second line d-f is the fluorescence channel diagram; the third line g-i is the overlay of the first two.
3. 结论
本研究设计并合成了一种吲哚盐杂合硫杂蒽结构的新型近红外荧光探针NSHD。溶液测试结果表明,该探针能以荧光- 比色双模式快速响应ONOO-,在0~20 µmol·L-1范围内,探针的荧光强度与ONOO-浓度间存在较好的线性关系。这一识别不受生命体常见物种的干扰,生理范围内的pH变化也不影响探针的光谱性质。质谱测试结果表明了ONOO-使探针发生氧化裂解的响应机理。探针具有良好的生物相容性,能对细胞中ONOO-进行荧光成像,这为其在生物医学诊断领域的应用提供了可能。
-
-
[1]
HAN H H, SEDGWICK A C, SHANG Y, LI N, LIU T T, LI B H, YU K Q, ZANG Y, BREWSTER J T, ODYNIEC M L, WEBER M. Protein encapsulation: A new approach for improving the capability of small-molecule fluorogenic probes[J]. Chem. Sci, 2020, 11(4): 1107-1113. doi: 10.1039/C9SC03961A
-
[2]
WEI L C, ZHANG P, YU T, REN N X, CHEN J, YANG F T, SHU W. A highly sensitive and specific fluorescent probe for detecting ONOOin liver-injured cells and tissues[J]. Microchem. J., 2024, 205: 111209. doi: 10.1016/j.microc.2024.111209
-
[3]
FERRER-SUETA G, RADI R. Chemical biology of peroxynitrite: Kinetics, diffusion, and radicals[J]. ACS Chem. Biol., 2009, 4(3): 161-177. doi: 10.1021/cb800279q
-
[4]
BARTESAGHI S, RADI R. Fundamentals on the biochemistry of per-oxynitrite and protein tyrosine nitration[J]. Redox Biol., 2018, 14: 618-625. doi: 10.1016/j.redox.2017.09.009
-
[5]
WU G L, LI Z H, HUANG P, L IN, W Y. Shedding light on ONOOdetection: The emergence of a fast-response fluorescent probe for biological systems[J]. J. Mater. Chem. B, 2024, 12(14): 3436-3444. doi: 10.1039/D3TB02994H
-
[6]
CHAN P H. Oxygen radicals in focal cerebral ischemia[J]. Brain Pathol., 1994, 4(1): 59-65. doi: 10.1111/j.1750-3639.1994.tb00811.x
-
[7]
JOO Y B, PARK K S. Gold thread acupuncture for rheumatoid arthritis[J]. N. Engl. J. Med., 2017, 377(19): e27. doi: 10.1056/NEJMicm1706737
-
[8]
GRAHAM P M, LI J Z, DOU X G, ZHU H, MISRA H P, JIA Z Q, LI Y B. Protection against peroxynitrite-induced DNA damage by mesalamine: Implications for anti-inflammation and anti-cancer activity[J]. Mol. Cell. Biochem., 2013, 378: 291-298. doi: 10.1007/s11010-013-1620-z
-
[9]
CHENG D, XU W, YUAN L, ZHANG X B. Investigation of drug-induced hepatotoxicity and its remediation pathway with reaction-based fluorescent probes[J]. Anal. Chem., 2017, 89(14): 7693-7700. doi: 10.1021/acs.analchem.7b01671
-
[10]
AHMAD R, RASHEED Z, AHSAN H. Biochemical and cellular toxicology of peroxynitrite: Implications in cell death and autoimmune phenomenon[J]. Immunopharmacol. Immunotoxicol., 2009, 31(3): 388-396. doi: 10.1080/08923970802709197
-
[11]
NAGANO T. Bioimaging probes for reactive oxygen species and reactive nitrogen species[J]. J. Clin. Biochem. Nutr., 2009, 45(2): 111-124. doi: 10.3164/jcbn.R09-66
-
[12]
ZHU H, FAN J L, XU Q L, LI H L, WANG J Y, GAO P, PENG X J. Imaging of lysosomal pH changes with a fluorescent sensor containing a novel lysosome-locating group[J]. Chem. Commun., 2012, 48(96): 11766-11768. doi: 10.1039/c2cc36785h
-
[13]
VASILESCU A, GHEORGHIU M, PETEU S. Nanomaterial-based electrochemical sensors and optical probes for detection and imaging of peroxynitrite: A review[J]. Microchim. Acta, 2017, 184: 649-675. doi: 10.1007/s00604-017-2093-7
-
[14]
CHEN Y R, CHEN C L, CHEN W G, ZWEIER J L, AUGUSTO O, RADI R, MASON R P. Formation of protein tyrosine ortho-semiquinone radical and nitrotyrosine from cytochrome c-derived tyrosyl radical[J]. J. Biol. Chem., 2004, 279(17): 18054-18062. doi: 10.1074/jbc.M307706200
-
[15]
DAIBER A, OELZE M, AUGUST M, WENDT M, SYDOW K, WIEBOLDT H, KLESCHYOV A L, MUNZEL T. Detection of superoxide and peroxynitrite in model systems and mitochondria by the luminol analogue L-012[J]. Free Radic. Res., 2004, 38(3): 259-269. doi: 10.1080/10715760410001659773
-
[16]
MOUITHYS-MICKALAD A, HANS P, DEBY-DUPONT G, HOEBEKE M, DEBY C, LAMY M. Propofol reacts with peroxynitrite to form a phenoxyl radical: Demonstration by electron spin resonance[J]. Biochem. Biophys. Res. Commun., 1998, 249(3): 833-837. doi: 10.1006/bbrc.1998.9235
-
[17]
AMATORE C, ARBAULT S, BRUCE D, DE OLIVEIRA P, ERARD M, VUILLAUME M. Characterization of the electrochemical oxidation of peroxynitrite: Relevance to oxidative stress bursts measured at the single cell level[J]. Chem.-Eur. J., 2001, 7(19): 4171-4179. doi: 10.1002/1521-3765(20011001)7:19<4171::AID-CHEM4171>3.0.CO;2-5
-
[18]
TSIKAS D. GC-MS and HPLC methods for peroxynitrite (ONOO- and O15 NOO-) analysis: A study on stability, decomposition to nitrite and nitrate, laboratory synthesis, and formation of peroxynitrite from S-nitrosoglutathione (GSNO) and KO2[J]. Analyst, 2011, 136(5): 979-987. doi: 10.1039/C0AN00625D
-
[19]
IMARAM W, GERSCH C, KIM K M, JOHNSON R J, HENDERSON G N, ANGERHOFER A. Radicals in the reaction between peroxynitrite and uric acid identified by electron spin resonance spectroscopy and liquid chromatography mass spectrometry[J]. Free Radic. Biol. Med., 2010, 49(2): 275-281. doi: 10.1016/j.freeradbiomed.2010.04.010
-
[20]
LI X H, GAO X H, SHI W, MA H M. Design strategies for water-soluble small molecular chromogenic and fluorogenic probes[J]. Chem. Rev., 2014, 114(1): 590-659. doi: 10.1021/cr300508p
-
[21]
YAN J L, LIU S S, WU W N, ZHAO X L, FAN Y C, WANG Y, XU Z H. A dihydro-benzo[4, 5] imidazo[1, 2-c] quinazoline-based probe with aggregation-induced ratiometric emission for the ratiometric fluorescent detection of peroxynitrite in living cells and zebrafish[J]. Anal. Methods, 2023, 15(40): 5311-5315. doi: 10.1039/D3AY01416A
-
[22]
CHENG D, GONG X Y, WU Q, YUAN J, LV Y, YUAN L, ZHANG X B. High-selectivity fluorescent reporter toward peroxynitrite in a coexisting nonalcoholic fatty liver and drug-induced liver diseases model[J]. Anal. Chem., 2020, 92(16): 11396-11404. doi: 10.1021/acs.analchem.0c02277
-
[23]
陈曦, 李思媛, 王元, 吴伟娜, 陈忠. 一种席夫碱Al3+荧光探针的制备及细胞成像应用[J]. 无机化学学报, 2022,38,(10): 1993-1998. doi: 10.11862/CJIC.2022.190CHEN X, LI S Y, WANG Y, WU W N, CHEN Z. Preparation of a Schiff base Al3+ fluorescent probe and cellular imaging applications[J]. Chinese J. Inorg. Chem., 2022, 38(10): 1993-1998. doi: 10.11862/CJIC.2022.190
-
[24]
张长丽, 张晶晶, 沈优, 陆嘉成, 黄芳, 徐莉. 一种快速响应的线粒体靶向荧光探针用于检测活细胞和斑马鱼中的次氯酸盐[J]. 无机化学学报, 2022,38,(8): 1623-1632. doi: 10.11862/CJIC.2022.168ZHANG C L, ZHANG J J, SHEN Y, LU J C, HUANG F, XU L. A fast-response mitochondria-targeted fluorescent probe for the detection of hypochlorite in living cells and zebrafish[J]. Chinese J. Inorg. Chem., 2022, 38(8): 1623-1632. doi: 10.11862/CJIC.2022.168
-
[25]
MYOCHIN T, KIYOSE K, HANAOKA K, KOJIMA H, TERAI T, NAGANO T. Rational design of ratiometric near-infrared fluorescent pH probes with various pKa values, based on aminocyanine[J]. J. Am. Chem. Soc., 2011, 133(10): 3401-3409. doi: 10.1021/ja1063058
-
[26]
LI X Y, HU Y M, LI X H, MA H M. Mitochondria-immobilized near-infrared ratiometric fluorescent pH probe to evaluate cellular mitophagy[J]. Anal. Chem., 2019, 91(17): 11409-11416. doi: 10.1021/acs.analchem.9b02782
-
[27]
ZHANG Y M, CHEN Y C, FANG H B, SHI X C, YUAN H, BAI Y, HE W J, GUO Z J. A ratiometric fluorescent probe for imaging enzyme dependent hydrogen sulfide variation in the mitochondria and in living mice[J]. Analyst, 2020, 145(15): 5123-5127. doi: 10.1039/D0AN00910E
-
[28]
LIU X L, GU F Y, ZHOU X Y, ZHOU W, ZHANG S P, CUI L, GUO T. A naphthalimide-based turn-on fluorescence probe for peroxynitrite detection and imaging in living cells[J]. RSC Adv., 2020, 10(63): 38281-38286. doi: 10.1039/D0RA06564A
-
[29]
CHAI X Z, LI B H, CHEN C, ZHANG W J, SUN L L, HAN H H, ZHANG Y F, SUN S S, YANG J M, ZHANG J J, HE X P. A highly sensitive and selective near-infrared fluorescent probe for imaging peroxynitrite in living cells and drug-induced liver injury mice[J]. Anal. Chem., 2023, 95(13): 5747-5753. doi: 10.1021/acs.analchem.3c00007
-
[30]
KHAN A, MEENA V K, SILSWAL A, KONER A L. A per-ylenemonoimide-based fluorescent probe: Ultrasensitive and selective tracing of endogenous peroxynitrite in living cells[J]. Analyst, 2023, 148(23): 5851-5855. doi: 10.1039/D3AN01469J
-
[31]
JAIN N, SONAWANE P M, ROYCHAUDHURY A, PARK S J, AN J, KIM C H, NIMSE S B, CHURCHILL D G. An indole-based near-infrared fluorescent"turn-on"probe for H2O2: Selective detection and ultrasensitive imaging of zebrafish gallbladder[J]. Talanta, 2024, 269: 125459. doi: 10.1016/j.talanta.2023.125459
-
[32]
SINGH R J, HOGG N, JOSEPH J, KONOREV E, KALYANARAMAN B. The peroxynitrite generator, SIN-1, becomes a nitric oxide donor in the presence of electron acceptors[J]. Arch. Biochem. Biophys., 1999, 361(2): 331-339. doi: 10.1006/abbi.1998.1007
-
[33]
HOU X F, XUE Y L, YANG J G, LI Z S, XU Z H, LI W, YUAN L. A cascade activation probe with double-enhanced near-infrared imaging for monitoring peroxynitrite fluctuations in vivo[J]. Anal. Chem., 2024, 96(44): 17657-17664. doi: 10.1021/acs.analchem.4c03685
-
[1]
-
图 4 含20 µmol·L-1 NSHD探针的PBS(10 mmol·L-1, pH=7.40, φDMSO=30%)加入不同浓度ONOO-的(a) 荧光和(c) 紫外可见吸收光谱图; (b) 探针在785 nm处荧光强度随ONOO-浓度变化图(插图: 荧光强度和浓度的线性关系拟合图); (d) 探针在732 nm处的吸光度随ONOO-浓度变化图(插图: 探针溶液加入ONOO-前后的颜色变化)
Figure 4 (a) Fluorescence spectra and (c) UV-Vis absorption spectra of 20 µmol·L-1 probe NSHD in PBS (10 mmol·L-1, pH=7.4, φDMSO=30%) upon the addition of ONOO- with different concentrations; (b) Plot of fluorescence intensity of the probe at 785 nm as a function of ONOO- concentration (Inset: the fitted linear relationship); (d) Plot of UV-Vis absorbance at 732 nm as a function of ONOO- concentration (Inset: color change before and after the addition of ONOO-)
图 5 (a) 含20 µmol·L-1 NSHD的PBS(10 mmol·L-1, pH=7.4, φDMSO=30%)中加入40 µmol·L-1 ONOO-后, 荧光光谱随时间的变化; (b) 加入40 µmol·L-1 ONOO-后探针在785 nm处荧光强度随时间变化图
Figure 5 (a) Changes in fluorescence spectra over time after adding 40 µmol·L-1 ONOO- to PBS (10 mmol·L-1, pH=7.4, φDMSO=30%) containing 20 µmol·L-1 NSHD; (b) Time-dependent fluorescence intensities of the probe at 785 nm after the addition of 40 µmol·L-1 ONOO-
图 6 含20 µmol·L-1 NSHD的PBS(10 mmol·L-1, pH=7.4, φDMSO=30%)在ONOO-和其他生命体常见物种存在时的(a) 荧光发射谱图和(b) 紫外可见吸收光谱图; (c) ONOO-和其他生命体常见物种存在下NSHD在785 nm处的荧光强度
Figure 6 (a) Fluorescence emission spectra and (b) UV-Vis absorption spectra of PBS (10 mmol·L-1, pH=7.4, φDMSO=30%) containing 20 µmol·L-1 NSHD in the presence of ONOO- and other common species of living systems; (c) Fluorescence intensity of NSHD at 785 nm in the presence of ONOO- and other common species of living systems
图 7 含20 µmol·L-1 NSHD的PBS(10 mmol·L-1, φDMSO=30%)在不同pH下的(a) 荧光光谱图和(b) 紫外可见吸收光谱图; (c) 不同pH下探针在785 nm处荧光强度变化图
Figure 7 (a) Fluorescence emission and (b) UV-Vis absorption spectra of PBS (10 mmol·L-1, φDMSO=30%) containing 20 µmol·L-1 NSHD with various pH values; (c) Fluorescence intensity changes of the probe at 785 nm at various pH values
图 11 探针对HeLa细胞内ONOO-的荧光成像: (A) 5 µmol·L-1探针NSHD孵化细胞15 min, 再加入不同浓度的SIN-1(0~50 µmol·L-1)继续孵化30 min的图像; (B) 各孵化条件下细胞内平均荧光强度量化图
Figure 11 Fluorescence imaging of ONOO- in HeLa cells using the probe: (A) images for the cells incubated with 5 µmol·L-1 probe NSHD for 15 min, then treated with different concentrations of SIN-1 (0-50 µmol·L-1) for 30 min; (B) quantitative graph of average fluorescence intensities in the cells under various incubation conditions
Blank: cells without any treatment; the first lines a-c are bright field diagrams; the second line d-f is the fluorescence channel diagram; the third line g-i is the overlay of the first two.
图 12 探针对HeLa细胞中内源性ONOO-的荧光成像: (A) 5 µmol·L-1探针NSHD孵化细胞15 min, 或用LPS(2 µg·mL-1) 和IFN-γ (100 ng·mL-1)预处理12 h, 再用5 µmol·L-1探针NSHD孵化15 min; (B) 对应的细胞内平均荧光强度量化图
Figure 12 Fluorescence imaging of endogenous ONOO- in HeLa cells using the probe: (A) images of the cells treated by 5 µmol·L-1 NSHD for 15 min, or incubated with LPS (2 µg·mL-1) and IFN-γ (100 ng·mL-1) for 12 h, and then incubated with NSHD (5 µmol·L-1) for 15 min before imaging; (B) corresponding quantitative graph of average fluorescence intensities within the cells
Blank: cells without any treatment; the first lines a-c are bright field diagrams; the second line d-f is the fluorescence channel diagram; the third line g-i is the overlay of the first two.
-
扫一扫看文章
计量
- PDF下载量: 2
- 文章访问数: 2478
- HTML全文浏览量: 363

下载:
下载:
下载: