Ultrathin Pd based bimetallic nanowires as highly efficient ampere-level pH-universal water splitting

Yuanwei Ma Jigang Wang Zhaodi Yan Qiang Liu Lanyan Li Zhongfang Li Likai Wang

Citation:  Yuanwei Ma, Jigang Wang, Zhaodi Yan, Qiang Liu, Lanyan Li, Zhongfang Li, Likai Wang. Ultrathin Pd based bimetallic nanowires as highly efficient ampere-level pH-universal water splitting[J]. Chinese Chemical Letters, 2026, 37(1): 111724. doi: 10.1016/j.cclet.2025.111724 shu

Ultrathin Pd based bimetallic nanowires as highly efficient ampere-level pH-universal water splitting

English

  • With the rapid advancement of economic society, fossil fuel reserves are swiftly depleting, prompting the development of clean energy to solve the global energy crisis. Hydrogen acts as an ideal clean energy source due to high energy density, environmentally friendly, and non-toxic by-products [1-3]. Electrochemical water splitting is an especially promising route for hydrogen production, including the hydrogen evolution reaction (HER) at the cathode and oxygen evolution reaction (OER) at the anode [4-9]. However, the slow reaction kinetics and high energy barriers limit their practical applications. To overcome these challenges, extensive research has been dedicated to developing advanced electrocatalysts. Pt/C demonstrates outstanding HER activity [10-23], while Ru/Ir oxides remain the most efficient electrocatalysts for OER in electrochemical water splitting [24,25].

    Alloying metals has emerged as one of the most effective strategies for altering the chemical composition and physical properties of materials, enabling the optimization of their catalytic performance by fine-tuning electronic structures [26-28]. Among them, palladium (Pd) stands out as a highly promising alternative to platinum (Pt) due to its similar lattice structure and parameters. Pd-based bimetallic nanostructures have been extensively explored and developed as catalytic materials [29-35]. Various morphologies of Pd-based bimetallic nanostructures, including nanosheet [6,36,37], nanotube [38,39], nanowires [40-42], and nanocube [43,44], have exhibited exceptional catalytic properties. These alloyed microstructures can not only enhance catalytic activity but also contribute to reducing Pt consumption. In the pursuit of high-efficiency electrocatalysts, the precise control of metal material structures enables the fine adjustment of surface morphology and composition, leading to enhanced and even novel catalytic activity [45,46]. One-dimensional (1D) metal nanowires (NWs) possess unique advantages, including intrinsic anisotropic morphology, excellent flexibility, high surface-to-volume ratio, and enhanced electrical conductivity. These characteristics have been widely leveraged in diverse electrocatalytic reactions, significantly demonstrating superior performance compared to their isotropic nanoparticle (NP) counterparts [40,47-51]. However, conventional Pd-based alloy nanowires with relatively large diameters and smooth surfaces frequently exhibit weaker electronic interactions, which are crucial for maximizing electrocatalytic efficiency. But ultrathin Pd-based alloy nanowires could offer an increased number of active sites, thereby enhancing catalytic activity. In this study, we present a simple wet-chemical approach for synthesizing a series of Pd-based alloy nanowires, including PdPt, PdAu, PdIr, and PdRu NWs. Among these, PdPt NWs exhibit remarkable HER activity across a wide pH range, achieving the lowest overpotential for water splitting in 1.0 mol/L KOH, 0.5 mol/L H2SO4, and 1.0 mol/L PBS, respectively. This study highlights the potential of PdPt NWs as highly efficient catalysts, providing exceptional catalytic performance and stability for practical applications.

    As depicted in Fig. 1A, the fabrication of PdPt NWs is operated by a straightforward wet-chemical method using PdCl2 and H2PtCl6 as metal precursors with KBH4 as the reducing agent and TX-114 served as the template. Typically, PdCl2 and H2PtCl6 were dissolved and mixed in an ice-water bath, followed by the addition of TX-114 to the prepared solution. Subsequently, a freshly prepared KBH4 solution was introduced to the mixture and stirred continuously for 1.5 h, resulting in the formation of PdPt nanowires (NWs), which were then further analyzed. Similarly, PdIr NWs, PdRu NWs, and PdAu NWs were fabricated with the same procedure by substituting H2PtCl6 with IrCl3, RuCl3, and HAuCl4, respectively. Detailed information can be found in Table S1 (Supporting information). The metal content was detected by ICP-MS, and the results are similar to the initial theoretical ratio (Table S2 in Supporting information).

    Figure 1

    Figure 1.  (A) The typical synthetic route for preparing PdPt NWs. (B, C) TEM images and (D) corresponding HR-TEM image of PdPt-2 NWs. (E) High magnification of TEM image and (F) corresponding HR-TEM image of Pd NWs. (G) High magnification of TEM image and (H) corresponding HR-TEM image of Pt NWs. (I) HAADF-STEM image of PdPt-2 NWs, and corresponding elemental mapping images of (J) Pd and (K) Pt.

    The morphology of PdPt-2 NWs is shown in Fig. 1B, where the representative TEM image distinctly reveals their uniform size and pure morphology. From Fig. 1C, high magnification TEM image further demonstrates PdPt-2 NWs featured ultrathin wire-like structures via head-to-tail kinks with the average diameter of only 5 nm and extending to the length of several hundred nanometers. The nanowires also displayed some defects, such as, atomic kinks, edge sites, and grain boundaries. Additionally, high-resolution TEM (HR-TEM) displayed distinct lattice fringes with the D-spacing of 0.227 nm in Fig. 1D, corresponding to the (111) plane of a face-centered cubic (fcc) PdPt alloy. The selected electron diffraction (SAED) patterns (Fig. S1 in Supporting information) further confirms that PdPt NWs exhibits a well-defined crystalline nanostructure, as indicated by the presence of sharp diffraction rings, which could be attributed to the (111), (200), (220), (331) and (222) lattice planes of Pt and Pd [52]. The rings from Pt and Pd almost overlap due to the slight differences in the lattice parameters. Pd NWs demonstrates ultrathin 1D structure as depicted in Figs. 1E and F also presents a lattice spacing of Pd (0.225 nm), a slightly decreased further compared to that of PdPt NWs (0.227 nm). But Pt NWs only exhibits some short nanowires in Fig. 1G. As shown in Fig. 1H, the lattice spacing of Pt is measured to be 0.227 nm [53], further indicating that Pd is successfully alloyed with Pt. The morphological difference between Pd and Pt NWs may be attributed to the sequential reduction of Pd2+ and Pt2+ by KBH4. The successful fabrication of bimetallic PdPt NWs is further validated by HAADF-STEM in Fig. 1I, the distribution of Pd and Pt elements (Figs. 1J and K) is uniformly throughout the nanowire structure, suggesting the successful formation of bimetallic PdPt alloy. Additionally, a series of Pd-based alloy NWs could be fabricated by replacing Pt with Au, Ru and Ir, including PdAu NWs, PdRu NWs, and PdIr NWs. From Figs. S2-S4 (Supporting information), TEM images demonstrated the highly dispersed structures of PdAu, PdRu, and PdIr nanowires, respectively, confirming the viability of the fabrication strategy.

    X-ray diffraction (XRD) was employed to further examine the crystallinity of PdPt NWs. As shown in Fig. 2A, the diffraction peaks of Pd NWs can be assigned to fcc Pd pattern appearing at 40.0°, 46.6°, 68.0°, and 82.0°, corresponding to the (111), (200), (220), and (311) planes of Pd (PDF #46–1043) [51,54,55]. In comparison of Pd NWs, a slight negative shift (~0.2°) towards lower degree was observed in PdPt-2 NWs, which might be ascribed to the smaller atomic radius of Pd compared to that of Pt, further indicating the formation of PdPt alloy. Similar results are presented in Fig. S5A (Supporting information), where XRD patterns (Fig. S6 in Supporting information) of PdIr NWs display peaks around 40°, corresponding to fcc Pd (111), confirming the formation of PdIr. To further examine the electronic structure and valence states of the elements in PdPt NWs, X-ray photoelectron spectroscopy (XPS) analysis was also investigated. From Fig. 2B and Fig. S5B (Supporting information), the survey XPS spectra of PdPt NWs revealed the presence of Pd and Pt, and high-resolution XPS spectra of Pd 3d and Pt 4f also confirmed the synthesis of PdPt NWs. As depicted in Fig. 2C and Fig. S5C (Supporting information), the peaks at 335.75 and 341.20 eV could be attributed to Pd0 3d5/2 and Pd0 3d3/2, respectively, while the peaks located at 336.90 and 342.75 eV were assigned to Pd2+ 3d5/2 and Pd2+ 3d3/2 [56,57]. Compared to Pd NWs, Pd 3d spectra of PdPt-2, PdPt-4 and PdPt-5 NWs exhibited a positive shift to higher binding energy (BE). Notably, the shift of Pd 3d3/2 and 3d5/2 became more pronounced as the Pd content increased. As displayed in Fig. 2D and Fig. S5D (Supporting information), the peaks at 71.90 and 75.13 eV were attributed to Pt0 4f7/2 and Pt0 4f5/2, respectively, and there were also other two peaks of at 71.55 and 74.90 eV assigned to Pt2+. The BE of Pt 4f in PdPt NWs showed a significant negative shift compared to that of Pt NWs, this shift is likely due to the difference in electronegativity between Pd (2.20) and Pt (2.28), resulting in the electron transfer from Pd to Pt [40,58]. Obviously, the BE of Pd and Pt were shifted relative to those of metallic Pd and Pt, which indicated a weaker binding strength of intermediate species on Pd and Pt sites, thereby boosting electrocatalytic activity. Furthermore, X-ray absorption fine structure (XAFS) analysis was also performed to investigate the electronic and atomic structures of Pt and Pd in PtPd-2 NWs. The X-ray absorption near-edge structure (XANES) spectrum at the Pt L3-edge (Fig. 2E) reveals that Pt in PtPd-2 NWs predominantly exists in a metallic state. The Fourier-transformed (FT) EXAFS spectrum of Pt in PtPd-2 NWs (Fig. 2F) exhibits distinct backscattering peaks at 2.70 Å, corresponding to Pt-Pd/Pt bonds, respectively [59,60].

    Figure 2

    Figure 2.  (A) XRD patterns of PdPt-2 NWs, Pt NWs, and Pd NWs. (B) XPS survey spectra of Pd NWs, PdPt-2 NWs, and Pt NWs. (C) High-resolution XPS Pd 3d spectra of Pd NWs and PdPt-2 NWs. (D) High-resolution XPS Pt 4f spectra of PdPt-2 and Pt NWs. (E) XANES and (F) FT-EXAFS curves of PdPt-2 NWs and Pt foil.

    To explore their electrocatalytic performance, PdPt NWs were investigated in a three-electrode system across a full range of pH. As illustrated in Fig. S7 (Supporting information), the HER activity was first assessed in N2-saturated 0.5 mol/L H2SO4, revealing that PdPt-2 NWs exhibited the most favorable performance, characterized by the smallest overpotential, the smallest Tafel slope, the minimal Δη/Δlog|j| ratio, higher potential-dependent TOF, and the lowest charge transfer resistance (Rct) among all tested PdPt NWs.

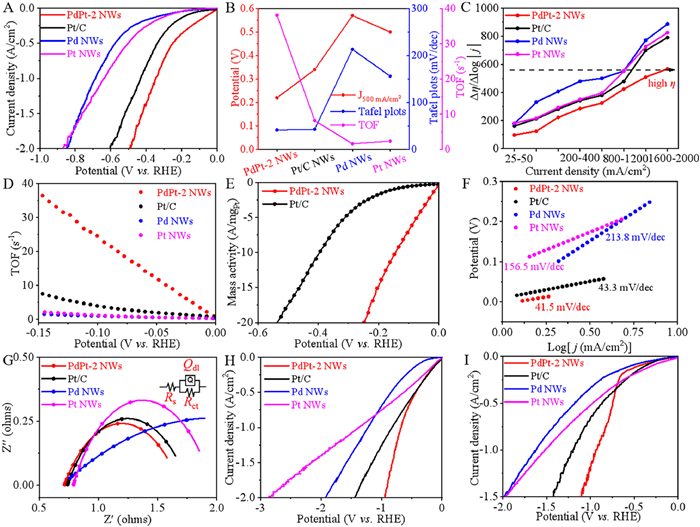
    From Fig. 3A, HER LSV curves of PdPt-2 NWs, Pd NWs, Pt NWs, and Pt/C catalysts were measured at a sweep rate of 5 mV/s, it was evident that PdPt-2 NWs exhibited the highest HER activity, requiring an overpotential of 218 mV to achieve a current density of 500 mA/cm2 (Fig. 3B), significantly surpassing that of Pd NWs (572 mV), Pt NWs (506 mV), Pt/C (328 mV). The intrinsic reaction kinetics of the HER process remains a vital parameter for evaluating the efficiency of electrocatalysts. To reveal the HER kinetics, the Δη/Δlog|j| ratios were also performed and evaluated in 0.5 mol/L H2SO4 in Fig. 3C, where η represents the overpotential and j denotes the current density. Notably, the Pt/C electrode exhibited an increasing Δη/Δlog|j| value as the current density reached 2 A/cm2, with a Δη/Δlog|j| of 380.1 mV/dec at the range of 400–800 mA/cm2, while the PdPt-2 NWs remained 324.5 mV/dec, implying significantly enhanced HER kinetics. Turnover frequencies (TOFs) were calculated to assess the intrinsic activities of PdPt-2 NWs, Pd NWs, Pt NWs and Pt/C in Figs. 3D and B. The results demonstrated that PdPt-2 NWs exhibited an exceptionally high TOF value of 38.11 s-1 at η150, outperforming Pd NWs (1.61 s-1), Pt NWs (2.36 s-1), and Pt/C (8.19 s-1), implying its exceptional intrinsic HER activity in 0.5 mol/L H2SO4. Furthermore, to gain the deeper insights into the electrocatalytic performance, the mass activity of PdPt-2 NWs was found to be remarkably higher, reaching 18.9 A/mgPt at 200 mV compared to Pt/C (2.5 A/mgPt) in Fig. 3E. The Tafel slopes for PdPt-2 NWs, Pd NWs, Pt NWs and Pt/C catalysts were determined to be 41.5, 213.8, 156.5, and 43.3 mV/dec in Figs. 3F and B, respectively, indicating that PdPt-2 NWs exhibit faster electrocatalytic HER kinetics. Moreover, electrochemical impedance spectroscopy (EIS) tests revealed that PdPt-2 NWs had the lowest Rct in comparision of Pd NWs, Pt NWs and Pt/C in Fig. 3G, suggesting the incorporation of Pt and Pd could promote electron transfer, superior conductivity and less energy-consuming, thereby boosting HER activity. For practical applications, a pH-universal catalytic response is essential, the electrochemical properties of as-prepared samples were further investigated in N2-saturated 1 mol/L KOH and 1 mol/L PBS, respectively.

    Figure 3

    Figure 3.  (A) LSV curves of PdPt-2 NWs, Pd NWs, Pt NWs and Pt/C in 0.5 mol/L H2SO4. (B) plot of current density at 500 mA/cm2, TOF and Tafel slope. (C) Δη/Δlog|j| ratios of PdPt-2 NWs, Pd NWs, Pt NWs and Pt/C in 0.5 mol/L H2SO4. (D) Potential-dependent turnover frequency (TOF) curves in 0.5 mol/L H2SO4. (E) Mass activity curves of PdPt-2 NWs and Pt/C in 0.5 mol/L H2SO4. (F) Tafel plots of PdPt-2 NWs and Pt/C in 0.5 mol/L H2SO4. (G) Electrochemical impedance spectra of PtPd-2 NWs, Pd NWs, Pt NWs and Pt/C in 0.5 mol/L H2SO4. The equivalent circuit used to fit the EIS data is illustrated in the inset (Rs, solution resistance; Rct, charge-transfer resistance; Qdl, constant phase element for the double layer). (H) LSV curves of PdPt-2 NWs, Pd NWs, Pt NWs and Pt/C in 1 mol/L KOH. (I) LSV curves of PdPt-2 NWs, Pd NWs, Pt NWs and Pt/C in 1 mol/L PBS.

    As depicted in Figs. S8-S11 (Supporting information), PdPt-2 NWs demonstrated the superior performance, characterized by the lowest overpotential, the smallest Tafel slope, minimal Δη/Δlog|j| ratio, higher Potential-dependent TOF, and the smallest Rct among all PdPt NWs. The LSV curves in Fig. 3H exhibit the HER activity of PdPt-2 NWs, Pd NWs, Pt NWs and Pt/C in 1 mol/L KOH, PdPt-2 NWs required only 442 mV of overpotential to achieve a current density of 500 mA/cm2, superior to that of Pd NWs (860 mV) and Pt NWs (643 mV), and Pt/C (462 mV) in Fig. S8F. From Fig. S8A, Tafel plots of PdPt-2 NWs, Pd NWs, Pt NWs, and Pt/C were also estimated to be 102.2 mV/dec, 380.4 mV/dec, 306.2 mV/dec, and 150.3 mV/dec, respectively, suggesting that PdPt-2 NWs exhibited the fastest electrocatalytic HER kinetics [61,62]. To reveal the HER kinetics of catalysts, the Δη/Δlog|j| ratio was performed and evaluated in 1 mol/L KOH in Fig. S8B. PdPt-2 NWs maintained a significantly lower value of 614.6 mV/dec than that of Pt/C (1042.2 mV/dec), confirming its ultrafast HER kinetics. Furthermore, PdPt-2 NWs exhibited a higher mass activity (8.45 A/mgPt at 200 mV) than Pt/C (2.75 A/mgPt at 200 mV) in Fig. S8C. At η150, PdPt-2 NWs displayed a TOF of 33.43 s-1, far surpassing Pt NWs (31.30 s-1), Pd NWs (1.61 s-1), and Pt/C (21.91 s-1), indicating its superior intrinsic HER activity in 1 mol/L KOH (Fig. S8D). Additionally, PdPt-2 NWs had the lowest Rct among all tested samples (Fig. S8E). HER activity of PdPt-2 NWs was further examinated in 1 mol/L PBS in Fig. 3I, and the LSV curves (Fig. S10F) show that PdPt-2 NWs achieved the overpotential of 742 mV at 500 mA/cm2, outperforming that of Pd NWs (1184 mV), Pt NWs (976 mV), and even commercial Pt/C (865 mV). From Fig. S10A, Tafel slope of PdPt-2 NWs, Pd NWs, Pt NWs, and Pt/C were 150.2, 590.4, 501.7, and 220.3 mV/dec, respectively, implying the superior electrocatalytic HER kinetics of PdPt-2 NWs. Moreover, the Δη/Δlog|j| ratio, mass activity, TOF, and EIS tests were also analysed, suggesting that the alloy of PdPt could boost HER activity (Fig. S10). Electrochemical surface area (ECSA) is another essential parameter for evaluating catalytic performance. As shown in Figs. S12 and S13 (Supporting information), ECSA of PdPt-2 NWs, Pd NWs, Pt NWs, and Pt/C are 44.7, 1.50, 18.1 and 15.8 m2/g, respectively. Among PdPt NWs catalysts, PdPt-2 NWs exhibited the highest ECSA in Figs. S14 and S15 (Supporting information), which effectively enhanced their electrocatalytic performance for HER. Stability is another crucial factor for electrocatalysts, and PdPt-2 NWs demonstrated superior durability compared to Pt/C during the accelerated durability test (ADT) across the full pH range in Fig. S16 (Supporting information). Additionally, PdPt-2 NWs were evaluated using chronopotentiometry at 200 mA/cm2 current densities, revealing negligible current density decay after HER operation, whereas Pt/C exhibited a significant decline in current density (Fig. S17 in Supporting information). Compared with previously reported studies summarized in Table S3 (Supporting information), these results further imply that the Pt-Pd alloy composition plays a key role in enhancing HER activity. As demonstrated in Fig. S18 (Supporting information), the LSV curves following ECSA normalization illustrate the remarkable intrinsic activity of the PdPt-2 NWs electrocatalyst. To explore the structural stability of PdPt NWs, the TEM was also tested after the catalytical operation. From Fig. S19 (Supporting information), PdPt-2 NWs still present nanowires and have good stability under harsh electrochemical conditions, confirming the excellent stability. As shown in Fig. S20 (Supporting information), the PdPt phase structure of PdPt-2 NWs remained unchanged after the stability test, confirming its outstanding stability. XPS spectra of PdPt-2 NWs after catalysis also revealed that Pd and Pt peaks did not shift in Fig. S21 (Supporting information). These above results indicated that PdPt-2 NWs maintained its physical structure and chemical stability after harsh HER operation. Furthermore, PdAu NWs, PdIr NWs, and PdRu NWs were also evaluated for their HER activity in both acidic, alkaline and neutral environments. As illustrated in Fig. S22 (Supporting information), the results demonstrate that Pd-based alloy nanowires exhibit excellent performance for HER, especially PdPt NWs demonstrated the highest activity due to their intrinsic properties. The ultrathin nanowire structure enhances the exposure of active sites, while the alloying of Pd with Pt, Au, Ir, and Ru disrupts the electronic equilibrium and shifts the d-band center upward, thereby optimizing the adsorption of reaction intermediates. The synergistic effect of Pd and Pt significantly optimizes the electronic structure characteristics of the active sites in the PdPt alloy, making them closer to the ideal value of the hydrogen adsorption free energy (ΔGH). Furthermore, the surface strain effect introduced in the PdPt alloy could adjust the metal bond and redistribute the electron density, thereby further optimizing the hydrogen adsorption energy. These factors work together to significantly enhance the HER performance of the PdPt alloy, making it superior to pure Pt and pure Pd. The HER activity of PdPt-2 NWs catalysts were also studied using density functional theory (DFT). Models were constructed for the PdPt (111), Pt (111) and Pd (111) surfaces (Figs. S23-S25 in Supporting information). The hydrogen adsorption free energy (ΔGH) on the PdPt-2 NWs was found to be lower than that on the pure Pt and pure Pd sites (Fig. 4A), indicating that the PdPt-2 NWs had a stronger binding energy with hydrogen and were more susceptible to HER [63,64]. This suggests that the PdPt-2 NWs catalysts were more active for HER. Furthermore, the d-band centers of Pt and Pd in PdPt-2 NWs exhibited positive and negative shifts in comparison with their respective pure Pt and Pd counterparts (Fig. 4B), thereby suggesting the presence of electronic interactions between Pt and Pd to enhance the activity of HER in PdPt-2 NWs [65].

    Figure 4

    Figure 4.  (A) ΔGH values on PdPt-2 NWs, Pt NWs, and Pd NWs. (B) pDOSs of Pt 5d and Pd 4d in PdPt-2 NWs, Pt (111), and Pd (111) (each d-band center is marked by a dashed line) with the Fermi level aligned at 0 eV. (C) LSV curves of PdPt-2 NWs‖PdPt-2 NWs, Pd NWs‖Pd NWs, Pt NWs‖Pt NWs and Pt/C+RuO2‖Pt/C+RuO2 for water splitting in 1 mol/L KOH. (D) Tafel slope in 1 mol/L KOH. (E) Chronoamperometric plots of PdPt-2 NWs for water splitting in 1 mol/L KOH at 220 mA/cm2. (F) Configuration of AEM water electrolyzer for PdPt-2 NWs‖PdPt-2 NWs in 1 mol/L KOH. (G) Comparison of required potentials for water splitting in alkaline electrolyte at 500 mA/cm2.

    PdPt NWs were also evaluated for OER activity. As shown in Fig. S26 (Supporting information), PdPt-2 NWs exhibited superior electrocatalytical activity compared to that of RuO2 in acidic, alkaline, and neutral environments. Encouraged by their excellent HER and OER activities of PdPt-2 NWs, a two-electrode electrolyser was constructed with PdPt-2 NWs as both the anode and cathode to assess the overall water splitting performance. As illustrated in Fig. S27A (Supporting information), water splitting was initially conducted under acidic conditions, wherein PdPt-2 NWs‖PdPt-2 NWs demonstrated the lowest overpotential of 1.76 V at 200 mA/cm2, which was lowest than that of Pt/C‖RuO2 (1.87 V), Pt NWs‖Pt NWs (2.36 V) and Pd NWs‖Pd NWs (2.64 V) in 0.5 mol/L H2SO4. In contrast, PdPt-2 NWs (120.2 mV/dec) displays lower Tafel slopes in comparison to Pd NWs (308.3 mV/dec), Pt NWs (206.0 mV/dec) and Pt/C (187.3 mV/dec) (Fig. S27C in Supporting information). As illustrated in Fig. 4C, PdPt-2 NWs‖PdPt-2 NWs requires a relatively lower cell voltage of 1.62 V at a current density of 200 mA/cm2 compared to that of Pt/C‖RuO2 (1.91 V), Pt NWs‖Pt NWs (2.28 V) and Pd NWs‖Pd NWs (2.54 V) in 1 mol/L KOH, indicating the superior activity of PdPt-2 NWs for overall water splitting. Tafel slopes for PdPt-2 NWs, Pd NWs, Pt NWs and Pt/C catalysts were determined to be 117.6 mV/dec, 250.1 mV/dec, 230.4 mV/dec, and 177.2 mV/dec in Fig. 4D, respectively. The results demonstrate that PdPt-2 NWs facilitate accelerated kinetics for electrocatalytic water splitting. To improve practical applicability, the optimized PdPt-2 NWs were employed as the cathode in the anion exchange membrane (AEM) alkaline water electrolyzer in 1 mol/L KOH. PdPt-2 NWs exhibited remarkable stability, maintaining a long-term water-splitting performance for 280 h at a current density of 220 mA/cm2 without obvious degradation (Fig. 4E), which was integrated with gas collection and recirculation systems in Fig. 4F. The Faradic efficiency of PdPt-2 NWs was also measured through the water drainage method (Fig. S28 in Supporting information), the volume of H2 and O2 were quantitatively collected in the alkaline electrolyzer in Fig. S29 (Supporting information). The corresponding volume-time curve exhibits that the volume ratio of collected H2 and O2 is about 1.95:1 in Fig. S30 (Supporting information), which is similar to the theoretical ratio of 2:1 for the water splitting. FE of PdPt-2 NWs for water splitting is estimated to be 100%, suggesting PdPt-2 NWs could serve as a candidate electrocatalyst for the water splitting. Compared to the previously reported electrocatalysts in Fig. 4G and Table S4 (Supporting information), PdPt-2 NWs stands out as a promising catalyst for the water splitting application in alkaline electrolyte. Furthermore, the water splitting performance of PdPt-2 NWs‖PdPt-2 NWs was assessed in 1 mol/L PBS (Figs. S27B and D in Supporting information), respectively. PdPt-2 NWs also have excellent activity exceptional stability for overall water splitting in neutral conditions.

    In conclusion, we have introduced a straightforward wet-chemical method to synthesize a series of Pd-based alloy NWs, which exhibit excellent electrocatalytic activity and stability, including PdPt NWs, PdAu NWs, PdIr NWs, and PdRu NWs. Among these catalysts, PdPt NWs have excellent performance activity and stability for water splitting at full pH range. PdPt NWs could provide highly increased active sites and a finely tuned electronic configuration, thereby enhancing the reaction kinetics and water splitting electrocatalysis. This fabrication strategy could produce ultrathin Pd-based alloy nanowires served as high-performance electrocatalysts for water-splitting applications.

    The authors declare that they have no known competing financial interests or personal relationships that could have appeared to influence the work reported in this paper.

    Yuanwei Ma: Writing – original draft, Investigation, Formal analysis. Jigang Wang: Resources, Investigation, Formal analysis. Zhaodi Yan: Investigation, Formal analysis. Qiang Liu: Methodology, Investigation. Lanyan Li: Writing – original draft, Visualization, Supervision. Zhongfang Li: Supervision, Project administration, Conceptualization. Likai Wang: Writing – review & editing, Writing – original draft, Supervision, Project administration, Methodology.

    L. Wang is grateful for the financial support from the National Natural Science Foundation of China (Nos. 21805170, 22172093), Natural Science Foundation of Shandong Province (Nos. ZR2023QB219, ZR2021QB161), and Qingdao Postdoctoral Innovation Project (No. QDBSH20220202031).

    Supplementary material associated with this article can be found, in the online version, at doi:10.1016/j.cclet.2025.111724.


    1. [1]

      T.H. Wang, L. Tao, X.R. Zhu, et al., Nat. Catal. 5 (2021) 66–73. doi: 10.1038/s41929-021-00721-y

    2. [2]

      Y.T. Ye, J.C. Xu, X.L. Li, et al., Adv. Mater. 36 (2024) e2312618. doi: 10.1002/adma.202312618

    3. [3]

      T.H. Zhao, M.T. Li, D.D. Xiao, et al., Angew. Chem. Int. Ed. 63 (2024) e202315148. doi: 10.1002/anie.202315148

    4. [4]

      P.Y. Kuang, Z.R. Ni, B.C. Zhu, Y. Lin, J.G. Yu, Adv. Mater. 35 (2023) 2303030. doi: 10.1002/adma.202303030

    5. [5]

      C. Chen, J.Y. Guo, J.H. Liu, et al., Chem. Commun. 59 (2023) 12863–12866. doi: 10.1039/d3cc04162j

    6. [6]

      Q.Q. Mao, X. Mu, K. Deng, et al., Adv. Funct. Mater. 33 (2023) 2304963. doi: 10.1002/adfm.202304963

    7. [7]

      Y.G. Sun, X. Du, J.G. Wang, et al., Rare Met. 43 (2024) 6447–6459. doi: 10.1007/s12598-024-02886-4

    8. [8]

      N. Wang, S.L. Ning, X.L. Yu, et al., Appl. Catal. B: Environ. 302 (2022) 120838. doi: 10.1016/j.apcatb.2021.120838

    9. [9]

      T. Wu, M.Z. Sun, B.L. Huang, Rare Met. 41 (2022) 2169–2183. doi: 10.1007/s12598-021-01914-x

    10. [10]

      A.X. Shan, X.A. Teng, Y. Zhang, et al., Nano Energy 94 (2022) 106913. doi: 10.1016/j.nanoen.2021.106913

    11. [11]

      J.P. Masnica, S. Sibt-e-Hassan, S. Potgieter-Vermaak, et al., Green Carbon 1 (2023) 160–169. doi: 10.1016/j.greenca.2023.11.001

    12. [12]

      B.Z. Lu, L. Guo, F. Wu, et al., Nat. Commun. 10 (2019) 631–641. doi: 10.1038/s41467-019-08419-3

    13. [13]

      Z.Y. Zhang, L.H. Li, Y.H. Li, et al., Chem. Eng. J. 469 (2023) 143846. doi: 10.1016/j.cej.2023.143846

    14. [14]

      S.D. Yu, J. Li, J.T. Yin, et al., Chin. Chem. Lett. 35 (2024) 216144.

    15. [15]

      H.Y. Guo, L. Li, Y. Chen, et al., Adv. Mater. 35 (2023) 2302285. doi: 10.1002/adma.202302285

    16. [16]

      W. Zhang, X. Jiang, Z.M. Dong, et al., Adv. Funct. Mater. 31 (2021) 2107181. doi: 10.1002/adfm.202107181

    17. [17]

      Q.N. Wang, Z.H. Tang, L.K. Wang, et al., Chem. Select. 1 (2016) 6044–6052. doi: 10.1002/slct.201601362

    18. [18]

      S.D. Yu, J. Li, Y.K. Du, et al., Coord. Chem. Rev. 520 (2024) 216144. doi: 10.1016/j.ccr.2024.216144

    19. [19]

      S.D. Yu, N.N. Zhang, J. Li, et al., ACS Sustain. Chem. Eng. 12 (2024) 4551–4564. doi: 10.1021/acssuschemeng.3c07704

    20. [20]

      S.H. Gebre, Results Chem. 5 (2023) 100952. doi: 10.1016/j.rechem.2023.100952

    21. [21]

      Y. Wang, J. Li, P.F. Yang, et al., J. Energy Chem. 102 (2025) 618–627. doi: 10.3390/info16070618

    22. [22]

      B.W. Zhou, J.P. Wang, L.F. Guo, et al., Adv. Energy Mater. 14 (2024) 2402372. doi: 10.1002/aenm.202402372

    23. [23]

      M.Y. Zhang, B.W. Zhou, L.F. Guo, et al., Inorg. Chem. Front. 11 (2024) 5884–5893. doi: 10.1039/d4qi01505c

    24. [24]

      T.B.N. Huynh, J. Song, H.E. Bae, et al., Adv. Funct. Mater. 33 (2023) 2301999. doi: 10.1002/adfm.202301999

    25. [25]

      Y.C. Zhang, T.R. Yang, J. Li, et al., Adv. Funct. Mater. 33 (2023) 2210939. doi: 10.1002/adfm.202210939

    26. [26]

      Y.Z. Lu, L.L. Tang, P. Wang, et al., ACS Catal. 13 (2023) 13804–13815. doi: 10.1021/acscatal.3c03350

    27. [27]

      R. Li, M. Tursun, Y.J. Jiang, et al., ACS Mater. Lett. 5 (2023) 2384–2392. doi: 10.1021/acsmaterialslett.3c00826

    28. [28]

      H.Z. Wang, P.F. Yang, X.Y. Sun, et al., J. Energy Chem. 87 (2023) 286–294. doi: 10.1016/j.jechem.2023.08.039

    29. [29]

      Z.P. Bao, C.Y. Li, L. Yan, Y.J. Ding, X.F. Wu, Green Carbon 2 (2024) 205–208. doi: 10.1016/j.greenca.2024.02.008

    30. [30]

      W.C. Li, N. Bhuvanendran, H.Y. Liu, et al., J. Alloys Compd. 933 (2023) 167706. doi: 10.1016/j.jallcom.2022.167706

    31. [31]

      W. Yan, Z.H. Tang, L.K. Wang, et al., Int. J. Hydrogen Energy 42 (2017) 218–227. doi: 10.1016/j.ijhydene.2016.09.041

    32. [32]

      H.Y. Yang, Z.H. Tang, W. Yan, et al., J. Alloys Compd. 702 (2017) 146–152. doi: 10.2961/jlmn.2017.02.0017

    33. [33]

      X.Y. Cui, Y.C. Liu, X.Y. Wang, et al., ACS Nano 18 (2024) 2948–2957. doi: 10.1021/acsnano.3c07703

    34. [34]

      X.T. Yang, Q. Yuan, J.W. Li, et al., Nano Lett. 23 (2023) 3467–3475. doi: 10.1021/acs.nanolett.3c00535

    35. [35]

      Y. Shen, B. Gong, K.J. Xiao, L. Wang, ACS Appl. Mater. Interface 9 (2017) 3535–3543. doi: 10.1021/acsami.6b09573

    36. [36]

      J.G. Wang, G.Y. Zhang, H. Liu, L.K. Wang, Z.F. Li, Small 20 (2024) 2310277. doi: 10.1002/smll.202310277

    37. [37]

      H.G. Zhang, X.M. Li, Y.L. Wang, et al., Appl. Catal. B: Environ. 338 (2023) 123006. doi: 10.1016/j.apcatb.2023.123006

    38. [38]

      L. Huang, J. Yang, M. Wu, et al., J. Power Sources 398 (2018) 201–208. doi: 10.1016/j.jpowsour.2018.07.070

    39. [39]

      W.X. Wang, Q.Q. Mao, S.J. Jiang, et al., Appl. Catal. B: Environ. 340 (2024) 123194. doi: 10.1016/j.apcatb.2023.123194

    40. [40]

      H. Lv, X. Chen, D.D. Xu, et al., Appl. Catal. B: Environ. 238 (2018) 525–532. doi: 10.1016/j.apcatb.2018.07.060

    41. [41]

      N.K. Qian, L. Ji, J.J. Li, H. Zhang, D.R. Yang, Nano Res. 16 (2023) 9125–9131. doi: 10.1007/s12274-023-5746-3

    42. [42]

      J.X. Tang, Q.S. Chen, L.X. You, et al., J. Mater. Chem. A 6 (2018) 2327–2336. doi: 10.1039/c7ta09595c

    43. [43]

      C.R. Zanata, C.A. Martins, É. Teixeira-Neto, M.J. Giz, G.A. Camara, J. Catal. 377 (2019) 358–366. doi: 10.1016/j.jcat.2019.07.042

    44. [44]

      L.Z. Sun, B. Liu, Adv. Mater. 35 (2023) 2207305. doi: 10.1002/adma.202207305

    45. [45]

      Y. Wang, N. Gong, G. Niu, et al., J. Alloys Compd. 960 (2023) 171039. doi: 10.1016/j.jallcom.2023.171039

    46. [46]

      Z.M. Yang, N. Qiu, H.M. Yang, Y. Wang, J. Alloys Compd. 947 (2023) 169512. doi: 10.1016/j.jallcom.2023.169512

    47. [47]

      X. Jiang, Y.X. Xiong, R.P. Zhao, et al., Nano Res. 13 (2020) 2691–2696. doi: 10.1007/s12274-020-2911-9

    48. [48]

      M.F. Li, Z.P. Zhao, T. Cheng, A. Fortunelli, Science 354 (2016) 1414–1419. doi: 10.1126/science.aaf9050

    49. [49]

      S.L. Liu, H. Ren, S.L. Yin, et al., Chem. Eng. J. 435 (2022) 134823. doi: 10.1016/j.cej.2022.134823

    50. [50]

      Y.S. Xu, D.X. Wu, P.L. Deng, et al., Appl. Catal. B: Environ. 308 (2022) 121223. doi: 10.1016/j.apcatb.2022.121223

    51. [51]

      J.W. Hu, R. Li, X. Wang, S.Z. Wang, C.H. Fang, ACS Appl. Nano Mater. 6 (2023) 10213–10222. doi: 10.1021/acsanm.3c00969

    52. [52]

      B. Klebowski, M. Stec, J. Depciuch, et al., Cancers 14 (2022) 5899. doi: 10.3390/cancers14235899

    53. [53]

      G. Fisseha, Y.P. Hu, Y.N. Yu, et al., Chin. Chem. Lett. 35 (2024) 108445. doi: 10.1016/j.cclet.2023.108445

    54. [54]

      W. Wang, X. Zhang, Y.H. Zhang, et al., Nano Lett. 20 (2020) 5458–5464. doi: 10.1021/acs.nanolett.0c01908

    55. [55]

      M. Wei, Y.Y. Sun, J.Y. Zhang, et al., Energy Environ. Sci. 16 (2023) 4009–4019. doi: 10.1039/d3ee01929b

    56. [56]

      C.H. Fang, J. Zhao, R.B. Jiang, et al., ACS Appl. Mater. Interface. 10 (2018) 29543–29551. doi: 10.1021/acsami.8b08657

    57. [57]

      T.T. Guo, H.Y. Xiang, W. Li, et al., ACS Sustain. Chem. Eng. 8 (2020) 2901–2909. doi: 10.1021/acssuschemeng.9b07189

    58. [58]

      L.H. Jin, Z.H. Zhang, Z.H. Zhuang, et al., RSC Adv. 6 (2016) 42008–42013. doi: 10.1039/C6RA05087E

    59. [59]

      W.T. Koo, Y. Kim, S. Kim, et al., Chem 6 (2020) 2746–2758. doi: 10.1016/j.chempr.2020.07.015

    60. [60]

      C.H. Wang, J. Zhang, K.H. Miao, et al., Adv. Mater. 36 (2024) 2400433. doi: 10.1002/adma.202400433

    61. [61]

      L.Y. Zhu, D.D. Xu, C.L. Yi, Chem. Commun. 59 (2023) 13978–13981. doi: 10.1039/d3cc04195f

    62. [62]

      T.T. Yang, T.L. Tan, W.A. Saidi, Chem. Mater. 32 (2020) 1315–1321. doi: 10.1021/acs.chemmater.9b05244

    63. [63]

      W.H. Lai, L.F. Zhang, W.B. Hua, et al., Angew. Chem. Int. Ed. 58 (2019) 11868–11873. doi: 10.1002/anie.201904614

    64. [64]

      R.Q. Yan, J. Li, L.J. Zhao, et al., Nano Lett. 24 (2024) 4849–4857.

    65. [65]

      H. Zhang, Q.F. Jiang, J.H.L. Hadden, F. Xie, D.J. Riley, Adv. Funct. Mater. 31 (2020) 2008989.

  • Figure 1  (A) The typical synthetic route for preparing PdPt NWs. (B, C) TEM images and (D) corresponding HR-TEM image of PdPt-2 NWs. (E) High magnification of TEM image and (F) corresponding HR-TEM image of Pd NWs. (G) High magnification of TEM image and (H) corresponding HR-TEM image of Pt NWs. (I) HAADF-STEM image of PdPt-2 NWs, and corresponding elemental mapping images of (J) Pd and (K) Pt.

    Figure 2  (A) XRD patterns of PdPt-2 NWs, Pt NWs, and Pd NWs. (B) XPS survey spectra of Pd NWs, PdPt-2 NWs, and Pt NWs. (C) High-resolution XPS Pd 3d spectra of Pd NWs and PdPt-2 NWs. (D) High-resolution XPS Pt 4f spectra of PdPt-2 and Pt NWs. (E) XANES and (F) FT-EXAFS curves of PdPt-2 NWs and Pt foil.

    Figure 3  (A) LSV curves of PdPt-2 NWs, Pd NWs, Pt NWs and Pt/C in 0.5 mol/L H2SO4. (B) plot of current density at 500 mA/cm2, TOF and Tafel slope. (C) Δη/Δlog|j| ratios of PdPt-2 NWs, Pd NWs, Pt NWs and Pt/C in 0.5 mol/L H2SO4. (D) Potential-dependent turnover frequency (TOF) curves in 0.5 mol/L H2SO4. (E) Mass activity curves of PdPt-2 NWs and Pt/C in 0.5 mol/L H2SO4. (F) Tafel plots of PdPt-2 NWs and Pt/C in 0.5 mol/L H2SO4. (G) Electrochemical impedance spectra of PtPd-2 NWs, Pd NWs, Pt NWs and Pt/C in 0.5 mol/L H2SO4. The equivalent circuit used to fit the EIS data is illustrated in the inset (Rs, solution resistance; Rct, charge-transfer resistance; Qdl, constant phase element for the double layer). (H) LSV curves of PdPt-2 NWs, Pd NWs, Pt NWs and Pt/C in 1 mol/L KOH. (I) LSV curves of PdPt-2 NWs, Pd NWs, Pt NWs and Pt/C in 1 mol/L PBS.

    Figure 4  (A) ΔGH values on PdPt-2 NWs, Pt NWs, and Pd NWs. (B) pDOSs of Pt 5d and Pd 4d in PdPt-2 NWs, Pt (111), and Pd (111) (each d-band center is marked by a dashed line) with the Fermi level aligned at 0 eV. (C) LSV curves of PdPt-2 NWs‖PdPt-2 NWs, Pd NWs‖Pd NWs, Pt NWs‖Pt NWs and Pt/C+RuO2‖Pt/C+RuO2 for water splitting in 1 mol/L KOH. (D) Tafel slope in 1 mol/L KOH. (E) Chronoamperometric plots of PdPt-2 NWs for water splitting in 1 mol/L KOH at 220 mA/cm2. (F) Configuration of AEM water electrolyzer for PdPt-2 NWs‖PdPt-2 NWs in 1 mol/L KOH. (G) Comparison of required potentials for water splitting in alkaline electrolyte at 500 mA/cm2.

  • 加载中
计量
  • PDF下载量:  0
  • 文章访问数:  805
  • HTML全文浏览量:  75
文章相关
  • 发布日期:  2026-01-15
  • 收稿日期:  2025-02-20
  • 接受日期:  2025-08-14
  • 修回日期:  2025-08-14
  • 网络出版日期:  2025-08-14
通讯作者: 陈斌, bchen63@163.com
  • 1. 

    沈阳化工大学材料科学与工程学院 沈阳 110142

  1. 本站搜索
  2. 百度学术搜索
  3. 万方数据库搜索
  4. CNKI搜索

/

返回文章