Citation: Jiang-Feng Xing, Kang Li, Wan Xiang, Yang-Yang Ju, Xin-Jing Zhao, Xiao-Hui Ma, Mei-Lin Zhang, Yuan-Zhi Tan. Oxa-helicenes embedding heptagons by stepwise cyclization of [6]helicene unit[J]. Chinese Chemical Letters, ;2025, 36(11): 110982. doi: 10.1016/j.cclet.2025.110982 shu

Oxa-helicenes embedding heptagons by stepwise cyclization of [6]helicene unit

    * Corresponding authors.
    E-mail addresses: zhangmeilin2014@xmu.edu.cn (M.-L. Zhang), yuanzhi_tan@xmu.edu.cn (Y.-Z. Tan).
    1 These authors contributed equally to this work.
  • Received Date: 28 October 2024
    Revised Date: 12 February 2025
    Accepted Date: 19 February 2025
    Available Online: 20 February 2025

Figures(5)

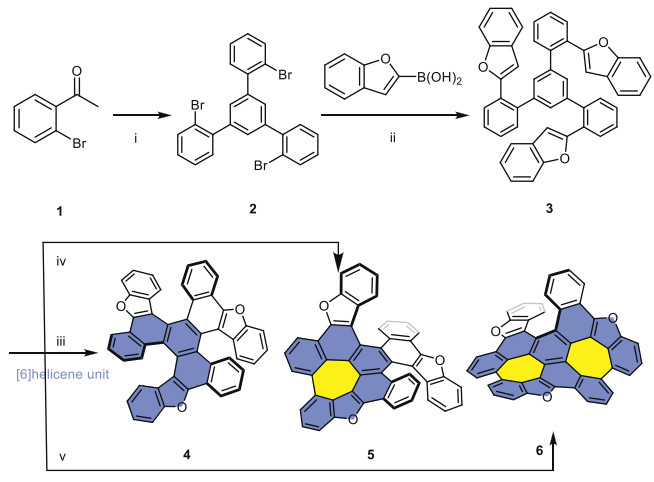
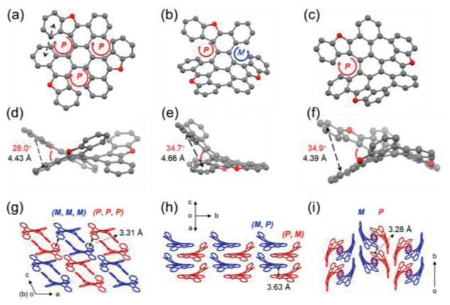
  • The controlled incorporation of heptagons into helicene frameworks offers a promising approach to modulate their structural and electronic properties. This study demonstrates the synthesis of two heptagon-embedded oxa-helicenes: one with a single heptagon (5) and another with two heptagons (6), achieved through controlled oxidative cyclization of a triple oxa-helicene (4). UV–vis absorption and emission spectra revealed red-shifts and slight increases in Stokes shifts from 4 to 6, attributed to π-system extension and greater structural relaxation in the excited state. 5 and 6 exhibited fluorescence quantum yields 2–3 times higher than 4. Chiral separation and thermal stability analyses showed a significant decrease in enantiomeric stability for 5 and 6 compared to 4, due to planarization effects induced by heptagon incorporation. The chiroptical properties were also investigated, revealing reduced optical dissymmetry factors after heptagon embedding.
  • 加载中
    1. [1]

      W. Cui, Z. Jin, W. Fu, C. Shen, Chin. Chem. Lett. 35 (2024) 109667.

    2. [2]

      W.B. Lin, M. Li, L. Fang, C.F. Chen, Chin. Chem. Lett. 29 (2018) 40–46.  doi: 10.1117/12.2289207

    3. [3]

      Y.F. Wu, S.W. Ying, L.Y. Su, et al., J. Am. Chem. Soc. 144 (2022) 10736–10742.  doi: 10.1021/jacs.2c00794

    4. [4]

      J.K. Li, X.Y. Chen, Y.L. Guo, et al., J. Am. Chem. Soc. 143 (2021) 17958–17963.  doi: 10.1021/jacs.1c09058

    5. [5]

      L. Shi, Z. Liu, G. Dong, et al., Chem. Eur. J. 18 (2012) 8092–8099.  doi: 10.1002/chem.201200068

    6. [6]

      C.F. Chen, Y. Shen, Helicenes in catalysis, in: C.F. Chen, Y. Shen (Eds.), Helicene Chemistry: From Synthesis to Applications, Springer, Berlin Heidelberg, Berlin, Heidelberg, 2017, pp. 187–199.

    7. [7]

      E. Anger, H. Iida, T. Yamaguchi, et al., Poly. Chem. 5 (2014) 4909–4914.

    8. [8]

      M. Gingras, Chem. Soc. Rev. 42 (2013) 1051–1095.

    9. [9]

      Y.Y. Ju, H. Luo, Z.J. Li, et al., Angew. Chem. Int. Ed. 63 (2024) e202402621.

    10. [10]

      D. Tan, J. Dong, T. Ma, et al., Angew. Chem. Int. Ed. 62 (2023) e202304711.

    11. [11]

      K. Wang, Y. Rao, L. Xu, et al., Chem. Eur. J. 29 (2023) e202301955.

    12. [12]

      M.A. Medel, C.M. Cruz, D. Miguel, et al., Angew. Chem. Int. Ed. 60 (2021) 22051–22056.  doi: 10.1002/anie.202109310

    13. [13]

      M. Reale, A. Sciortino, C.M. Cruz, et al., Carbon 206 (2023) 45–52.

    14. [14]

      Y. Han, Z. Xue, G. Li, et al., Angew. Chem. Int. Ed. 59 (2020) 9026–9031.  doi: 10.1002/anie.201915327

    15. [15]

      M. Grzybowski, K. Skonieczny, H. Butenschön, D.T. Gryko, Angew. Chem. Int. Ed. 52 (2013) 9900–9930.  doi: 10.1002/anie.201210238

    16. [16]

      Z.J. Qiu, S. Asako, Y.B. Hu, et al., J. Am. Chem. Soc. 142 (2020) 14814–14819.  doi: 10.1021/jacs.0c05504

    17. [17]

      J. Ma, Y. Fu, E. Dmitrieva, et al., Angew. Chem. Int. Ed. 59 (2020) 5637–5642.  doi: 10.1002/anie.201914716

    18. [18]

      Chaolumen, I.A. Stepek, K.E. Yamada, H. Ito, K. Itami, Angew. Chem. Int. Ed. 60 (2021) 23508–23532.  doi: 10.1002/anie.202100260

    19. [19]

      Y.Y. Fei, J.Z. Liu, Adv. Sci. 9 (2022) 2201000.

    20. [20]

      A. Pradhan, P. Dechambenoit, H. Bock, F. Durola, J. Org. Chem. 78 (2013) 2266–2274.  doi: 10.1021/jo3027752

    21. [21]

      C.M. Cruz, I.R. Márquez, I.F.A. Mariz, et al., Chem. Sci. 9 (2018) 3917–3924.  doi: 10.1039/c8sc00427g

    22. [22]

      I.R. Márquez, N. Fuentes, C.M. Cruz, et al., Chem. Sci. 8 (2017) 1068–1074.

    23. [23]

      C.M. Cruz, S. Castro-Fernández, E. Maçôas, J.M. Cuerva, A.G. Campaña, Angew. Chem. Int. Ed. 57 (2018) 14782–14786.  doi: 10.1002/anie.201808178

    24. [24]

      C.M. Cruz, I.R. Márquez, S. Castro-Fernández, et al., Angew. Chem. Int. Ed. 58 (2019) 8068–8072.  doi: 10.1002/anie.201902529

    25. [25]

      S. Castro-Fernández, C.M. Cruz, I.F.A. Mariz, et al., Angew. Chem. Int. Ed. 59 (2020) 7139–7145.  doi: 10.1002/anie.202000105

    26. [26]

      K. Kawai, K. Kato, L. Peng, et al., Org. Lett. 20 (2018) 1932–1935.  doi: 10.1021/acs.orglett.8b00477

    27. [27]

      T. Ikai, K. Oki, S. Yamakawa, E. Yashima, Angew. Chem. Int. Ed. 62 (2023) e202301836.

    28. [28]

      K.M. Cheung, Y. Xiong, S.H. Pun, et al. Chem 9 (2023) 2855–2868.

    29. [29]

      K.E. Yamada, I.A. Stepek, W. Matsuoka, H. Ito, K. Itami, Angew. Chem. Int. Ed. 62 (2023) e202311770.

    30. [30]

      S.M. Elbert, O.T.A. Paine, T. Kirschbaum, et al., J. Am. Chem. Soc. 146 (2024) 27324–27334.  doi: 10.1021/jacs.4c09185

    31. [31]

      T. Fujikawa, Y. Segawa, K. Itami, J. Org. Chem. 82 (2017) 7745–7749.  doi: 10.1021/acs.joc.7b01540

    32. [32]

      K.Y. Cheung, X. Xu, Q. Miao, J. Am. Chem. Soc. 137 (2015) 3910–3914.  doi: 10.1021/jacs.5b00403

    33. [33]

      S.H. Pun, Y. Wang, M. Chu, et al., J. Am. Chem. Soc. 141 (2019) 9680–9686.  doi: 10.1021/jacs.9b03910

    34. [34]

      Z.W. Qi, H.L. Shang, B.L. Ji, et al., J. Org. Chem. 88 (2023) 14550–14558.  doi: 10.1021/acs.joc.3c01563

    35. [35]

      N. Ogawa, Y. Yamaoka, H. Takikawa, K.I. Yamada, K. Takasu, J. Am. Chem. Soc. 142 (2020) 13322–13327.  doi: 10.1021/jacs.0c06156

    36. [36]

      A.K. Swain, K. Radacki, H. Braunschweig, P. Ravat, J. Org. Chem. 87 (2022) 993–1000.  doi: 10.1021/acs.joc.1c02281

    37. [37]

      A. Swain, P. Ravat, Org. Chem. Fronti. 10 (2023) 3714–3725.  doi: 10.1039/d3qo00386h

    38. [38]

      L. Yang, Y.Y. Ju, M.A. Medel, et al., Angew. Chem. Int. Ed. 62 (2023) e202216193.

    39. [39]

      F. Gan, G. Zhang, J. Liang, C. Shen, H. Qiu, Angew. Chem. Int. Ed. 63 (2024) e202320076.

    40. [40]

      S. Qiu, A.C. Valdivia, W. Zhuang, et al., J. Am. Chem. Soc. 146 (2024) 16161–16172.  doi: 10.1021/jacs.4c03815

    41. [41]

      H. Luo, J. Liu, Angew. Chem. Int. Ed., 63 (2024) e202410759.

    42. [42]

      B. Borrisov, G.M. Beneventi, Y.B. Fu, et al., J. Am. Chem. Soc. 146 (2024) 27335–27344.  doi: 10.1021/jacs.4c09224

    43. [43]

      W. Zhuang, F.F. Hung, C.M. Che, J. Liu, Angew. Chem. Int. Ed., 63 (2024) e202406497.

    44. [44]

      Y.Y. Ju, L.E. Xie, J.F. Xing, et al., Angew. Chem. Int. Ed. 64 (2025) e202414383.

    45. [45]

      J. Hong, X. Xiao, H. Liu, et al., Chem. Eur. J. 28 (2022) e202202243.

    46. [46]

      J. Liu, L.H. Jiang, H. Chang, et al., Chem. Commun. 58 (2022) 13087–13090.  doi: 10.1039/d2cc04475g

    47. [47]

      Y. Zhang, S.H. Pun, Q. Miao, Chem. Rev. 122 (2022) 14554–14593.  doi: 10.1021/acs.chemrev.2c00186

    48. [48]

      P.V. Schleyer, C. Maerker, A. Dransfeld, H.J. Jiao, N.J.R.V. Hommes, J. Am. Chem. Soc. 118 (1996) 6317–6318.

    49. [49]

      Z.F. Chen, C.S. Wannere, C. Corminboeuf, R. Puchta, P.V. Schleyer, et al., Chem Rev. 105 (2005) 3842–3888.  doi: 10.1021/cr030088+

    50. [50]

      M. Nishio, Phys. Chem. Chem. Phys. 13 (2011) 13873–13900.  doi: 10.1039/c1cp20404a

    51. [51]

      R. Yamaguchi, S. Ito, B.S. Lee, et al., Chem. Asian J. 8 (2013) 178–190.  doi: 10.1002/asia.201200723

  • 加载中
    1. [1]

      Chunhua MaMengjiao LiuSiyu OuyangZhenwei CuiJingjing BiYuqin JiangZhiguo Zhang . Metal-free construction of diverse 1,2,4-triazolo[1,5-a]pyridines on water. Chinese Chemical Letters, 2025, 36(1): 109755-. doi: 10.1016/j.cclet.2024.109755

    2. [2]

      Ji-Jia ZhouLi-Gao LiuZhen-Tao ZhangHao-Xuan DongXin LuZhou XuXin-Qi ZhuBo ZhouLong-Wu Ye . Copper-catalyzed asymmetric cascade diyne cyclization/Meinwald rearrangement. Chinese Chemical Letters, 2025, 36(9): 110870-. doi: 10.1016/j.cclet.2025.110870

    3. [3]

      Wenxiong YuChenyu YangXian FengChengshuo Shen . Scholl cyclization of [6]helicenes into negatively curved hexa[7]circulenes. Chinese Chemical Letters, 2025, 36(11): 110939-. doi: 10.1016/j.cclet.2025.110939

    4. [4]

      Yaping ZhangWei ZhouMingchun GaoTianqi LiuBingxin LiuChang-Hua DingBin Xu . Oxidative cyclization of allyl compounds and isocyanide: A facile entry to polysubstituted 2-cyanopyrroles. Chinese Chemical Letters, 2024, 35(4): 108836-. doi: 10.1016/j.cclet.2023.108836

    5. [5]

      Yi-Fan WangHao-Yun YuHao XuYa-Jie WangXiaodi YangYu-Hui WangPing TianGuo-Qiang Lin . Rhodium(Ⅲ)-catalyzed diastereo- and enantioselective hydrosilylation/cyclization reaction of cyclohexadienone-tethered α, β-unsaturated aldehydes. Chinese Chemical Letters, 2024, 35(9): 109520-. doi: 10.1016/j.cclet.2024.109520

    6. [6]

      Fengqing WangChangxing QiChunmei ChenQin LiQingyi TongWeiguang SunZhengxi HuMinyan WangHucheng ZhuLianghu GuYonghui Zhang . Discovery and enantioselective total synthesis of antitumor agent asperfilasin A via a regio- and diastereoselective Nazarov cyclization. Chinese Chemical Letters, 2025, 36(6): 110252-. doi: 10.1016/j.cclet.2024.110252

    7. [7]

      Yi-Kao XuGuo-Ping LuoLiang-Bin HuWei-Min He . Asymmetric Büchner reaction and arene cyclopropanation via copper-catalyzed controllable cyclization of diynes. Chinese Chemical Letters, 2025, 36(8): 111226-. doi: 10.1016/j.cclet.2025.111226

    8. [8]

      Qian LiuYi ShiKaiya WangXiao-Yu Hu . Tailoring cascade hydrolysis and cyclization efficiency in confined spaces via spatial and electrostatic regulation. Chinese Chemical Letters, 2025, 36(12): 111462-. doi: 10.1016/j.cclet.2025.111462

    9. [9]

      Pan LuoJian-Ming LvHong-Ting ZhenYing-Qi ZhaoJing-Yuan LiuJin-Yu HongShao-Yang LiGao-Qian WangGuo-Dong ChenShui-Xing ZhangDan HuHao Gao . Identification of two novel sesterterpene skeletons offers the first experimental evidence for the cyclization mechanism of mangicdiene synthase. Chinese Chemical Letters, 2026, 37(1): 111042-. doi: 10.1016/j.cclet.2025.111042

    10. [10]

      Xinghui YaoZhouyu WangDa-Gang Yu . Sustainable electrosynthesis: Enantioselective electrochemical Rh(III)/chiral carboxylic acid-catalyzed oxidative CH cyclization coupled with hydrogen evolution reaction. Chinese Chemical Letters, 2024, 35(9): 109916-. doi: 10.1016/j.cclet.2024.109916

    11. [11]

      Jun HuangJiangping QinCaijin BanJingmei YuanJing YangGuoping Yang . Visible-light induced cascade sulfonation/cyclization reaction in water towards sulfonated dihydroisoquinolino[1,2-b]quinazolinones. Chinese Chemical Letters, 2026, 37(2): 111379-. doi: 10.1016/j.cclet.2025.111379

    12. [12]

      Ke ZhangSheng ZuoPengyuan YouTong RuFen-Er Chen . Palladium-catalyzed stereoselective decarboxylative [4 + 2] cyclization of 2-methylidenetrimethylene carbonates with pyrrolidone-derived enones: Straightforward access to chiral tetrahydropyran-fused spiro-pyrrolidine-2,3-diones. Chinese Chemical Letters, 2024, 35(6): 109157-. doi: 10.1016/j.cclet.2023.109157

Metrics
  • PDF Downloads(1)
  • Abstract views(850)
  • HTML views(53)

通讯作者: 陈斌, bchen63@163.com
  • 1. 

    沈阳化工大学材料科学与工程学院 沈阳 110142

  1. 本站搜索
  2. 百度学术搜索
  3. 万方数据库搜索
  4. CNKI搜索
Address:Zhongguancun North First Street 2,100190 Beijing, PR China Tel: +86-010-82449177-888
Powered By info@rhhz.net

/

DownLoad:  Full-Size Img  PowerPoint
Return