Concise synthesis of NDP-activated uronic acid by an oxidation reaction insertion strategy

Nana Yang Rui Yuan Xinyue Fu Xiao Tian Jin Yu Shengzhou Ma Liuqing Wen Jiabin Zhang

Citation:  Nana Yang, Rui Yuan, Xinyue Fu, Xiao Tian, Jin Yu, Shengzhou Ma, Liuqing Wen, Jiabin Zhang. Concise synthesis of NDP-activated uronic acid by an oxidation reaction insertion strategy[J]. Chinese Chemical Letters, 2025, 36(8): 110757. doi: 10.1016/j.cclet.2024.110757 shu

Concise synthesis of NDP-activated uronic acid by an oxidation reaction insertion strategy

English

  • Uronic acids represent a significant category of monosaccharides characterized by a carboxylic acid group formed through the oxidation of the primary alcohol group in common sugars [1,2]. Uronic acids are typically named after their parent sugars, as exemplified by D-glucuronic acid (D-GlcA), D-galacturonic acid (D-GalA), D-mannuronic acid (D-ManA), N-acetyl-D-glucosaminuronic acid (D-GlcNAcA), N-acetyl-D-galactosaminuronic acid (D-GalNAcA), etc. [3]. They are ubiquitous components of essential glycoconjugates in living organisms, and uronic acids containing carbohydrates play a key role in numerous biological processes [46]. For example, D-GlcA can undergo transfer from UDP-glucuronic acid to endobiotics or xenobiotics, facilitating the formation of a water-soluble molecule (known as glucuronylation) that is subsequently excreted, contributing to a detoxification mechanism in the human body [7,8]. Uronic acids (D-GlcA or L-IdoA) linked to 2-acetamino-2-deoxyglycosides format a well-known class of polysaccharides, named glycosaminoglycans (GAGs) that contain hyaluronic acid (HA), chondroitin sulfate (CS), dermatan sulfate (DS), keratan sulfate (KS), and heparin/heparan sulfate (H/HS), which have many biological functions such as protein folding, cell signaling and ligand-receptor interaction [913]. Uronic acids, like D-GlcA, D-GalA, D-GalNAcA, D-GlcNAcA, and 2-deoxy-D-GlcA, frequently constitute the capsular polysaccharide (CPS), lipopolysaccharide (LPS), and exopolysaccharide (EPS), serving as virulence factors in bacteria [1418]. Additionally, uronic acids are integral components of saponins (D-GlcA) [19], pectin (D-GalA) [20], and alginates (D-ManA) [21,22], all exhibiting diverse and significant bioactivities. Considering these attributes, uronic acids containing carbohydrates offer enormous potential for applications in pharmaceuticals, food, and medical chemistry [2327].

    In nature, NDP-uronic acids, the nucleosides activated uronic acids, serve as glycosylation donors for constructing uronic acid-containing glycans catalyzed by uronosyltransferases (UATs) [28,29]. Enzyme-mediated biomimetic strategies, utilizing NDP-uronic acids as glycosylation donors, are promising approaches for synthesizing uronic acid-containing glycans. Motivated by the importance of NDP-uronic acids, various chemical and enzymatic synthetic approaches have been developed. Chemical methods have been employed for synthesizing numerous sugar nucleotides including NDP-uronic acids, which necessitates intricate protection/deprotection operations resulting in low yields (Fig. 1A) [30,31]. A post-glycosylation oxidation strategy (Fig. 1B), involving an oxidation step after the preparation of sugar nucleotides by chemical or enzymatic methods, has been reported to synthesize NDP-uronic acids (UDP-D-ManNAcA, UDP-D-GlcNAcA) [3234]. However, this method requires an expensive catalyst (Pt) and rigorous conditions (100 ℃), posing limitations on scalability and its applicability to other NDP-uronic acids. In the past decades, the enzymatic strategy employed for synthesizing NDP-uronic acids has mainly followed by the salvage biosynthetic pathways (Fig. 1C) [35,36]. However, due to limitations in kinases and the pyrophosphorylases, only very few NDP-uronic acids can be obtained by salvage synthesis. Most recently, Wen's group developed a cofactor-driven cascade strategy to produce rare sugar nucleotides through de novo biosynthetic pathways, successfully obtaining several NDP-uronic acids with high yields (Fig. 1D) [3739]. Nevertheless, owing to the lack of enzymes, most naturally occurring NDP-uronic acids have not been successfully prepared on a large scale.

    Figure 1

    Figure 1.  NDP-uronic acid synthesis strategies. (A) Chemical synthesis of GDP-ManA. (B) Post-oxidation synthesis of UDP-GlcNAcA. (C) One-pot multienzyme (OPME) synthesis of UDP-GlcA. (D) Cofactor regeneration system synthesis of UDP-GlcNAcA. (E) Oxidation reaction insertion strategy for NDP-uronic acid synthesis.

    Here, we present a comprehensive synthetic method for the efficient production of NDP-uronic acids from common sugars (Fig. 1E). Employing a carefully designed strategy, sugar-1-P is synthesized through a single enzymatic step or a few chemical steps. Subsequently, TEMPO oxidation is inserted, serving as a powerful chemical tool to connect the preceding and final steps, enhancing the comprehensiveness of our strategy. With the oxidation reaction insertion strategy, 11 NDP-uronic acids were successfully prepared in good yield with a large scale.

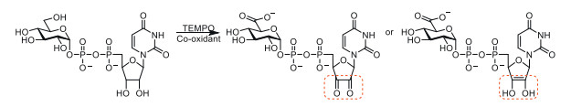
    As mentioned above, platinum-catalyzed oxidation has been used to oxidize sugar nucleotides to the corresponding NDP-uronic acids by many groups, giving yields in the 12%−20% range [3234]. Field has enhanced the conversion and yield by employing more rigorous conditions, specialized apparatus, and rejuvenating deactivated catalysts [32]. Nevertheless, issues regarding the product yield and scale-up synthesis remains. Therefore, there is a keen interest in the study of uronic acids containing glycans to develop an efficient synthetic method for the large-scale preparation of NDP-uronic acids. TEMPO-mediated systems have been successfully used to oxidize free sugars [40,41] and sugar-1-phosphates [42]. Encouraged by these reports, Field's group attempted to employ the TEMPO oxidation system for the preparation of NDP-uronic acids [32]. However, the result is not ideal, with the ribose secondary alcohol groups being oxidized to give a diketone as the primary by-product (Scheme 1). In this instance, we chose oxidation reaction insertion strategies (utilizing TEMPO-mediated systems) in the synthesis of NDP-uronic acids to avoid the formation of the diketone byproduct (Scheme 2) and achieve the efficient synthesis of NDP-uronic acid.

    Scheme 1

    Scheme 1.  The primary side product resulting from TEMPO-mediated oxidation of UDP-D-Glc reported by Field.

    Scheme 2

    Scheme 2.  Oxidation reaction insertion strategies used in this work.

    As summarized by de Nooy [43] and Field [32], the primary alcohol could be oxidized to a carboxylic acid under the catalytic amount of TEMPO with a co-oxidant (sodium hypochlorite or diacetoxyiodo benzene) in TEMPO oxidation systems. To investigate the efficiency of the TEMPO-mediated oxidation in our strategies, D-Glc-1-P was employed as substrate, and variation of conditions process of the oxidation was monitored by TLC, and the reaction yield was calculated after the product was purified by a P2 column. In the initial study, D-Glc-1-P (26 mg, 0.1 mmol) was oxidized by TEMPO with 2.2 equiv. of sodium hypochlorite or diacetoxyiodo benzene (DAIB) as co-oxidant in water (Table 1, entries 8 and 14). The oxidation product was generated in a yield of 78% with sodium hypochlorite and a yield of 50% with diacetoxyiodo benzene (DAIB). After screening a number of solvents and additives, the use of sodium hypochlorite in THF and 5% sodium bicarbonate aqueous solution (v/v = 1/1) gave the best yield (85%, Table 1, entries 4–7 and 10–13). The yield was improved by using 4 equiv. sodium hypochlorite as a co-oxidant (88%, entries 3 and 9). The yield was further improved by using 8 equiv. sodium hypochlorite as a co-oxidant in the solution of THF and saturated sodium bicarbonate (95%, entries 1 and 2). The optimized condition are as follows: substrate (1 equiv.), TEMPO (0.2 equiv.), KBr (0.15 equiv.), NaClO (8 equiv.) in a solution of THF and saturated sodium bicarbonate (v/v = 1/1).

    Table 1

    Table 1.  Screening of conditions for TEMPO-mediated oxidation of 1-P-Glc.
    DownLoad: CSV
    Entry Co-oxidant (equiv.) Co-catalyst (mol%) Solvent/additivea Time (h) T (℃) Yield (%)b pHc
    1 NaClO (8) KBr (15) THF/Sat aq NaHCO3 3 0 to r.t. 95 10.6
    2 NaClO (8) KBr (15) THF/5% aq NaHCO3 3 0 to r.t. 92 13
    3 NaClO (4) KBr (15) THF/5% aq NaHCO3 3 0 to r.t. 88 12.8
    4 NaClO (2.2) KBr (15), Bu4NBr (20%) THF/H2O 3 0 to r.t. 85 12.4
    5 NaClO (2.2) KBr (15) THF/5% aq NaHCO3 3 0 to r.t. 85 12.3
    6 NaClO (2.2) KBr (15) THF/PBS 7.0 3 0 to r.t. 82 12.6
    7 NaClO (2.2) KBr (15) THF/H2O 3 0 to r.t. 82 9
    8 NaClO (2.2) KBr (15) H2O 3 0 to r.t. 78 8.4
    9 DAIB (4) KBr (15) THF/5% aq NaHCO3 16 0 to r.t. 59 6.5
    10 DAIB (2.2) KBr (15) THF/5% aq NaHCO3 16 0 to r.t. 50 6.4
    11 DAIB (2.2) KBr (15), Bu4NBr (20%) THF/H2O 16 0 to r.t. 72 7.2
    12 DAIB (2.2) KBr (15) THF/PBS 7.0 16 0 to r.t. 45 6.6
    13 DAIB (2.2) KBr (15) THF/H2O 16 0 to r.t. 30 6.8
    14 DAIB (2.2) KBr (15) H2O 16 0 to r.t. 50 6.5
    a The solvent ratio used is 1/1 (v/v).
    b The reaction yield was calculated after purification by a P2 column.
    c The initial value after addition of all the reagents.

    Although some NDP-uronic acids can be synthesized through a typical two-step salvage synthesis from corresponding uronic acids [35,36], the starting sugars used in the oxidation reaction insertion strategy are considerably more cost-effective. Thus, it is also attractive by using the enzymatic-oxidation-enzymatic (EOE) strategy to produce NDP-uronic acids on a large scale. To test the efficiency of the oxidation reaction insertion strategy, we initially selected UDP-D-GlcA and dTDP-D-GlcA as the targets (Scheme 3). As D-Glc-1-P could be prepared on a large scale from sucrose using sucrose phosphorylase (SPA) from Leuconostoc mesenteroides [44], it is commercially available. The D-Glc-1-P supported by BioChemSyn. LLC was oxidized to D-GlcA-1-P using TEMPO-mediated oxidation (Table 1, entry 1) giving a yield of 95% after purification by a P2 column. Recently, Chen and co-workers reported that a UDP-Gal pyrophosphorylase (AtUSP) from Arabidopsis thaliana [36] could be used to produce UDP-D-GlcA on a large scale. Therefore, the obtained D-GlcA-1-P was treated with AtUSP for the synthesis of UDP-D-GlcA and dTDP-D-GlcA. Inorganic pyrophosphatase PPA from E. Coli. was used to hydrolyze the inorganic pyrophosphate to improve the yield [45]. After purification by a size-exclusion and an ion-exchange column, UDP-D-GlcA was generated in a yield of 89% according to D-GlcA-1-P as well as dTDP-D-GlcA in a yield of 87%. All the products and intermediates were confirmed by NMR and MS analysis (see Supporting information).

    Scheme 3

    Scheme 3.  Large-scale synthesis of NDP-uronic acids by EOE strategy.

    Inspired by the successful synthesis of UDP-D-GlcA and dTDP-D-GlcA, UDP-D-GalA and dTDP-D-GalA were generated in the same strategy (Scheme 3). To produce UDP-D-GalA and dTDP-D-GalA, we first employed BiGalK from Bifidobacterium infantis [36] to prepare D-Gal-1-P in a good yield (93%) using D-Gal as the starting material. Subsequently, D-Gal-1-P was treated with TEMPO-mediated oxidation (Table 1, entry 1) to give D-GalA-1-P in a yield of 95% after purification by a P2 column. Finally, UDP-GalA and dTDP-D-GalA were generated using AtUSP [34] and PPA. After purification by a size-exclusion and an ion-exchange column, UDP-D-GalA was obtained in 97% yield according to D-GalA-1-P as well as dTDP-D-GalA in 90% yield. All the products and intermediates were confirmed by NMR and MS analysis (see Supporting information).

    We next synthesized UDP-D-GlcNAcA, UDP-D-GalNAcA, and dTDP-2-deoxy-D-GlcA by using the EOE strategy (Scheme 3). Due to a lack of phosphate kinases, these sugar nucleotides could not be synthesized by typical salvage biosynthesis, and consequently, no straightforward methods have been reported for their preparation. Until recently, UDP-D-GlcNAcA was successfully prepared by Wen and co-workers on a large scale through de novo biosynthetic pathways, by which UDP-D-GlcNAc was oxidized to UDP-D-GlcNAcA with dehydrogenase [37]. Nevertheless, the large-scale synthesis of UDP-D-GalNAcA and dTDP-2-deoxy-D-GlcA has not been reported, while the synthesis of UDP-D-GlcNAcA exhibited significant feedback inhibition from the product [46]. Therefore, we selected the common sugars (D-GlcNAc, D-GalNAc, and 2-deoxy-D-Glc) as the starting materials for the synthesis of UDP-D-GlcNAcA, UDP-D-GalNAcA, and dTDP-2-deoxy-D-GlcA using the EOE strategy. In our designed reactions, D-GlcNAc-1-P, D-GalNAc-1-P, and 2-deoxy-D-Glc-1-P were prepared by NahK from Bifidobacterium longum [47]. D-GlcNAc-1-P was obtained in a yield of 86% after purification by a P2 column as well as D-GalNAc-1-P was generated in a yield of 88%, and 2-deoxy-D-Glc-1-P was produced in a slightly lower yield (80%). To convert phosphate sugars to the corresponding phosphate uronic acids, TEMPO-mediated oxidation (Table 1, entry 1) was employed and produced phosphate uronic acids in a high yield (all around 95%) after purification by a P2 column. With the phosphate uronic acids in hand, D-GlcNAcA-1-P and D-GalNAcA-1-P were allowed to synthesize UDP-D-GlcNAcA (90%) and UDP-D-GalNAcA (80%) in high yields using AGX1 from human as pyrophosphorylase which has high activity for the synthesis of UDP-D-GlcNAc derivatives reported by Wang [48]. Then, 2-deoxy-D-GlcA-1-P was used to generate dTDP-2-deoxy-D-GlcA with PfUSP from Pyrococcus furiosus [39] in a good yield (65%). After purification by a size-exclusion and an ion-exchange column, UDP-D-GlcNAcA, UDP-D-GalNAcA, and dTDP-2-deoxy-D-GlcA were obtained on a large scale (Table 2). All the products and intermediates were confirmed by NMR and MS analysis (see Supporting information).

    Table 2

    Table 2.  Efficient synthesis of NDP-uronic acids from common sugars.
    DownLoad: CSV
    Entry Substrate Strategy Product Yield (%)a Quantity (mg)b
    1 D-Glc-1-P EOE Strategy UDP-D-GlcA 85 985
    2 D-Glc-1-P EOE Strategy dTDP-D-GlcA 83 961
    3 D-Gal EOE Strategy UDP-D-GaIA 85 990
    4 D-Gal EOE Strategy dTDP-D-GalA 79 918
    5 D-GlcNAc EOE Strategy UDP-D-GlcNAcA 72 889
    6 D-GalNAc EOE Strategy UDP-D-GalNAcA 65 809
    7 2-Deoxy-D-Glc EOE Strategy dTDP-2-deoxy-D-GlcA 57 645
    8 D-Man EOC Strategy GDP-D-ManA 45 555
    9 D-Man EOC Strategy UDP-D-ManA 48 559
    10 D-ManNAc COC Strategy GDP-D-ManNAcA 28 727
    11 D-ManNAc COC Strategy UDP-D-ManNAcA 30 751
    a The overall yield was calculated for two steps from D-Glc-1-P (entries 1 and 2), three steps from monosaccharides (entries 3–9), five steps from monosaccharides (entries 10 and 11).
    b The synthesis was performed starting from 2 mmol of starting materials (entries 1–9) or 4 mmol of D-ManNAc (entries 10 and 11).

    GDP-D-ManA and UDP-D-ManA serve as glycosyl donors in the synthesis of mannuronic acid-containing polysaccharides [30,31]. Due to the absence of pyrophosphorylase, obtaining them on a large scale is challenging. Until recently, Wen and co-workers achieved the preparation of GDP-D-ManA on a large scale from GDP-D-Man using a cofactor regeneration system (CRS) [38]. Nevertheless, UDP-D-ManA has not been synthesized in large scale. Although Chen reported that D-ManA-1-P could be synthesized from D-ManA using AtGlcAK as phosphate kinase [36], the price of D-ManA is much more expensive than D-Man. Thus, we chose D-Man as the starting materials for the synthesis of GDP-D-ManA and UDP-D-ManA using the enzymatic-oxidation-chemical (EOC) strategy (Scheme 4). Briefly, D-Man-1-P was prepared by NahK from Bifidobacterium longum in a yield of 90% after desalting by a P2 column, and it was converted to D-ManA-1-P using the TEMPO-mediated oxidation (Table 1, entry 1) with a yield of 94% after purification by P2 column. Finally, D-ManA-1-P was incubated with GMP morpholodate [29], which is commercially available, and tetrazole in pyridine solution for 4 days to produce GDP-D-ManA. Once the reaction stopped moving forward, the pyridine was removed under vacuum, and the crude product was purified by a P2 column. After purification, GDP-D-ManA was obtained in a yield of 53% according to D-ManA-1-P. Similar to the synthesis of GDP-D-ManA, UDP-D-ManA was obtained in a yield of 57% after purification by P2 column. All the products and intermediates were confirmed by NMR and MS analysis (see Supporting information).

    Scheme 4

    Scheme 4.  Large-scale synthesis of NDP-uronic acids by EOC strategy.

    GDP-D-ManNAcA and UDP-D-ManNAcA can be used as glycosylation donors by gram-negative bacteria (A. baumannii 1053, A. baumannii AB5075, etc.) for the synthesis of their CPS, which can be used to develop carbohydrate-based vaccines [49,50]. Considering the importance, efforts have been made by many researchers to synthesize GDP-D-ManNAcA and UDP-D-ManNAcA [32,35]. We firstly chose the EOC strategy to perform the synthesis of GDP-D-ManNAcA and UDP-D-ManNAcA, since we have successfully prepared GDP-D-ManA and UDP-D-ManA. However, the preparation of ManNAc-1-P using enzymatic reaction has a problem of base-catalyzed epimerization at the C-2 position to give GlcNAc-1-P as a by-product which could not be separated from ManNAc-1-P [5155]. Therefore, we used a chemical way to synthesize ManNAc-1-P, and put our efforts on the chemical-oxidation-chemical (COC) strategy to prepare GDP-D-ManNAcA and UDP-D-ManNAcA in this work (Scheme 5). Notable, uronic acid exhibits lower reactivity compared to its parent sugar [4,5]. Therefore, we employ the COC strategy, where the oxidation step follows the preparation of sugar-1-P to generate uronic acid-1-P. This sequence also avoids the need for protecting and de-protecting the carbonic acid group, making our strategy more streamlined and practical.

    Scheme 5

    Scheme 5.  Large-scale synthesis of NDP-uronic acids by COC strategy.

    To test our design, we initially utilized an oxazoline donor and trichloroacetimidate donor to couple with a dibenzylphosphate acceptor, aiming to synthesize the ManNAc dibenzyl derivative. Nonetheless, an epimerization by-product (GlcNAc dibenzyl derivative) was also produced, as the preparation of the oxazolinedonor and trichloroacetimidate donor requires basic conditions. We thus tried to couple 3,4,6-tri-O-acetyl-α−1-OH ManNAc with dibenzyl phosphoramidite, forming ManNAc dibenzyl derivative after oxidation (Scheme 5). Briefly, 2-acetamido-1,3,4,6-tetra-O-acetyl-2-deoxy-D-mannose, prepared by treatment of 2-acetamido-2-deoxy-D-mannose with acetic anhydride and pyridine for 16 h, was refluxed for 2 h using benzyl alcohol as acceptor and converted into 1 in a yield of 81% according to 2-acetamido-2-deoxy-D-mannose. Debenzylation of 1 gave 2-acetamido-3,4,6-tetra-O-acetyl-2-deoxy-α-D-mannose, coupled with dibenzyl diethylphosphoramidite (DDP) in the presence of 4,5-dicyanoimidazole (DCI) for 3 min under −40 ℃ to obtain dibenzyl phosphite intermediates [56], following oxidation for 10 min by tert‑butanol peroxide under −40 ℃. After purification by LH20 column, 2 was obtained in a yield of 91% according to 1. To be emphasized, the coupling and oxidation reactions must be performed under a low temperature to avoid the generation of GlcNAc dibenzyl derivative as a by-product. Additionally, the freshly prepared compound 2 should be promptly used for the next step, as it is susceptible to hydrolysis in a short period. Debenzylation and deacetylation of 2 in two-step one-pot generated D-ManNAc-1-P in a yield of 80% after purification by P2 column, and it was converted to D-ManNAcA-1-P using the TEMPO-mediated oxidation (Table 1, entry 1) with a yield of 92% after purification. GDP-D-ManNAcA and UDP-D-ManNAcA were generated from D-ManNAcA-1-P, which was coupled with GMP morpholodate and UMP morpholodate in pyridine for 4 days. After purification by P2 column, GDP-D-ManNAcA was obainted in a yield of 51% according to D-ManNAcA-1-P as well as UDP-D-ManNAcA in 56% yield. All the products and intermediates were confirmed by NMR and MS analysis (see Supporting information).

    In summary, we developed an oxidation reaction insertion strategy including enzymatic-oxidation-enzymatic strategy (EOEs), enzymatic-oxidation-chemical strategy (EOCs) and chemical-oxidation-chemical strategy (COCs), which was used for the efficient synthesis of NDP-uronic acids. Based on the strategy, 11 important NDP-uronic acids were successfully synthesized in high yield and on a large scale from common sugars. As all the chemicals and enzymes used in our strategy are cost-effective and readily accessible, the scales can be expanded easily in large without technical difficult. Moreover, this strategy holds significant potential for advancing the synthesis of the majority of NDP-uronic acids. As all uronosyltransferases naturally utilize NDP-uronic acids as substrates, this study will accelerate the exploration of new uronosyltransferases within living organisms. The robust characteristics of uronosyltransferases, combined with the ready availability of NDP-uronic acids, will further facilitate the enzymatic synthesis of carbohydrates containing uronic acids, which present substantial potential for applications in pharmaceuticals, food science, and medical chemistry.

    The authors declare that they have no known competing financial interests or personal relationships that could have appeared to influence the work reported in this paper.

    Nana Yang: Methodology, Investigation, Data curation. Rui Yuan: Methodology. Xinyue Fu: Validation, Methodology. Xiao Tian: Validation. Jin Yu: Writing – original draft. Shengzhou Ma: Writing – original draft. Liuqing Wen: Writing – original draft, Funding acquisition. Jiabin Zhang: Writing – original draft, Supervision, Investigation, Funding acquisition.

    This work was financially supported by National Natural Science Foundation of China (No. 22207113 to J. Zhang); Guangdong Basic and Applied Basic Research Foundation (No. 2021A1515110588 to J. Zhang); Natural Science Foundation of Shanghai Municipality (No. 22ZR1474000 to L. Wen). We thank BioChemSyn. LLC (www.biochemsyn.com) for offering D-Glc-1-P.

    Supplementary material associated with this article can be found, in the online version, at doi:10.1016/j.cclet.2024.110757.


    1. [1]

      P.H. Seeberger, et al., Monosaccharide diversity, in: A. Varki, R.D. Cummings, J.D. Esko, et al. (Eds.), Essentials of Glycobiology, 4th ed., Cold Spring Harbor, New York, 2022, pp. 21–32.

    2. [2]

      A. Varki, R.D. Cummings, M. Aebi, et al., Glycobiology 25 (2015) 1323–1324. doi: 10.1093/glycob/cwv091

    3. [3]

      A.D. McNaught, Carbohydr. Res. 297 (1997) 1–92.

    4. [4]

      L.J. van den Bos, J.D. Codée, R.E.J.N. Litjens, et al., Eur. J. Org. Chem. 2007 (2007) 3963–3976. doi: 10.1002/ejoc.200700101

    5. [5]

      N. Afratis, C. Gialeli, D. Nikitovic, et al., FEBS J. 279 (2012) 1177–1197. doi: 10.1111/j.1742-4658.2012.08529.x

    6. [6]

      J.D. Codee, A.E. Christina, M.T. Walvoort, H.S. Overkleeft, G.A. van der Marel, Top. Curr. Chem. 301 (2011) 253–289.

    7. [7]

      M. Shipkova, E. Wieland, Clin. Chim. Acta 358 (2005) 2–23.

    8. [8]

      M. Shipkova, V.W. Armstrong, M. Oellerich, E. Wieland, Ther. Drug Monit. 25 (2003) 1–16.

    9. [9]

      J. Gottschalk, L. Elling, Curr. Opin. Chem. Biol. 61 (2021) 71–80.

    10. [10]

      J.T. Gallagher, J.E. Turnbull, Glycobiology 2 (1992) 523–528. doi: 10.1093/glycob/2.6.523

    11. [11]

      I. Capila, R.J. Linhardt, Angew. Chem. Int. Ed. 41 (2002) 391–412.

    12. [12]

      D. Soares da Costa, R.L. Reis, I. Pashkuleva, Annu. Rev. Biomed. Eng. 19 (2017) 1–26. doi: 10.1146/annurev-bioeng-071516-044610

    13. [13]

      N.K. Karamanos, Z. Piperigkou, A.D. Theocharis, et al., Chem. Rev. 118 (2018) 9152–9232. doi: 10.1021/acs.chemrev.8b00354

    14. [14]

      D. Giguere, Carbohydr. Res. 418 (2015) 29–43.

    15. [15]

      Y.S. Ovodov, Biochemistry 71 (2006) 937–954.

    16. [16]

      S. Singh, J.J. Wilksch, R.A. Dunstan, et al., Microbiol. Spectr. 10 (2022) e0151721.

    17. [17]

      I.S. Roberts, Annu. Rev. Microbiol. 50 (1996) 285–315. doi: 10.1146/annurev.micro.50.1.285

    18. [18]

      L. Kong, A. Almond, H. Bayley, B.G. Davis, Nat. Chem. 8 (2016) 461–469. doi: 10.1038/nchem.2487

    19. [19]

      J.P. Vincken, L. Heng, A. de Groot, H. Gruppen, Phytochemistry 68 (2007) 275–297.

    20. [20]

      K.H. Caffall, D. Mohnen, Carbohydr. Res. 344 (2009) 1879–1900.

    21. [21]

      J.D. Codee, L.J. van den Bos, A.R. de Jong, et al., J. Org. Chem. 74 (2009) 38–47. doi: 10.1021/jo8020192

    22. [22]

      P. Nyvall, E. Corre, C. Boisset, et al., Plant Physiol. 133 (2003) 726–735. doi: 10.1104/pp.103.025981

    23. [23]

      P.R. Bhoge, R. Raigawali, S. Mardhekar, S. Anand, R. Kikkeri, Carbohydr. Res. 532 (2023) 108919.

    24. [24]

      H. Zhang, X. Wang, Y. Meng, et al., JACS Au 2 (2022) 97–108.

    25. [25]

      S. Zhang, P.H. Seeberger, Chem. Eur. J. 27 (2021) 17444–17451. doi: 10.1002/chem.202103234

    26. [26]

      S. Ma, P.F. Zhang, J.F. Ye, et al., J. Am. Chem. Soc. 146 (2024) 29469–29480. doi: 10.1021/jacs.4c08817

    27. [27]

      F.Y. Wei, L.L. Zhang, P.F. Zhang, J.B. Zhang, L.Q. Wen, Chem 10 (2024) 2844–2860.

    28. [28]

      M.A. Pinhal, B. Smith, S. Olson, et al., Proc. Natl. Acad. Sci. U. S. A. 98 (2001) 12984–12989.

    29. [29]

      Y. Li, H. Yu, V. Thon, et al., Appl. Microbiol. Biotechnol. 98 (2014) 1127–1134. doi: 10.1007/s00253-013-4947-1

    30. [30]

      Q. Zhang, P.L. Howell, H.S. Overkleeft, et al., Carbohydr. Res. 450 (2017) 12–18. doi: 10.1504/IJNM.2017.10003132

    31. [31]

      L. Beswick, S. Ahmadipour, J.P. Dolan, et al., Carbohydr. Res. 485 (2019) 107819–107825.

    32. [32]

      M. Rejzek, B. Mukhopadhyay, C.Q. Wenzel, J.S. Lam, R.A. Field, Carbohydr. Res. 342 (2007) 460–466.

    33. [33]

      J.J. Li, T.D. Bugg, Chem. Comm. 2 (2004) 182–183.

    34. [34]

      T. Yamazaki, C.D. Warren, A. Herscovics, R.W. Jeanloz, Can. J. Chem. 59 (1981) 2247–2252. doi: 10.1139/v81-326

    35. [35]

      T. Ohashi, N. Cramer, T. Ishimizu, S. Hase, Anal. Biochem. 352 (2006) 182–187.

    36. [36]

      M.M. Muthana, J. Qu, M. Xue, et al., Chem. Comm. 51 (2015) 4595–4598.

    37. [37]

      Y. Zheng, J. Zhang, J. Meisner, et al., Angew. Chem. Int. Ed. 61 (2022) e202115696.

    38. [38]

      S. Wang, J. Zhang, F. Wei, W. Li, L. Wen, J. Am. Chem. Soc. 144 (2022) 9980–9989. doi: 10.1021/jacs.2c03138

    39. [39]

      F. Wei, R. Yuan, Q. Wen, L. Wen, Angew. Chem. Int. Ed. 62 (2023) e202217894.

    40. [40]

      C. Fraschini, M.R. Vignon, Carbohydr. Res. 328 (2000) 585–589.

    41. [41]

      F. Lin, W. Peng, W. Xu, X. Han, B. Yu, Carbohydr. Res. 339 (2004) 1219–1223.

    42. [42]

      A. Heeres, H.A. van Doren, K.F. Gotlieb, I.P. Bleeker, Carbohydr. Res. 299 (1997) 221–227.

    43. [43]

      A.E.J. de Nooy, A.C. Besemer, H. van Bekkum, Synth. 10 (1996) 1153–1174.

    44. [44]

      C. Goedl, A. Schwarz, A. Minani, B. Nidetzky, J. Biotechnol. 129 (2007) 77–86.

    45. [45]

      K. Lau, V. Thon, H. Yu, et al., Chem. Comm. 46 (2010) 6066–6068. doi: 10.1039/c0cc01381a

    46. [46]

      M. Zheng, M.C. Zheng, H. Kim, T.J. Lupoli, J. Am. Chem. Soc. 145 (2023) 15632–15638. doi: 10.1021/jacs.3c02319

    47. [47]

      M. Nishimoto, M. Kitaoka, Appl. Environ. Microbiol. 73 (2007) 6444–6449.

    48. [48]

      L. Wen, M.R. Gadi, Y. Zheng, et al., ACS Catal. 8 (2018) 7659–7666. doi: 10.1021/acscatal.8b02081

    49. [49]

      A.S. Shashkov, M.M. Shneider, S.N. Senchenkova, et al., Carbohydr. Res. 404 (2015) 79–82.

    50. [50]

      S.N. Senchenkova, A.S. Shashkov, A.V. Popova, et al., Carbohydr. Res. 408 (2015) 8–11.

    51. [51]

      S.G. Sampathkumar, A.V. Li, K.J. Yarema, Nat. Protoc. 1 (2006) 2377–2385. doi: 10.1038/nprot.2006.319

    52. [52]

      V. Draghetti, L. Poletti, D. Prosperi, L. Lay, J. Carbohydr. Chem. 20 (2006) 813–819.

    53. [53]

      S.Y. Wang, P. Laborda, A.M. Lu, et al., Catalysts 6 (2016) 212–227. doi: 10.3390/catal6120212

    54. [54]

      M.M. Muthana, J. Qu, Y. Li, et al., Chem. Comm. 48 (2012) 2728–2730. doi: 10.1039/c2cc17577k

    55. [55]

      I. Delidovich, ACS Catal. 13 (2023) 2250–2267. doi: 10.1021/acscatal.2c04786

    56. [56]

      F. Feng, K. Okuyama, K. Niikura, et al., Org. Biomol. Chem. 2 (2004) 1617–1623.

  • Figure 1  NDP-uronic acid synthesis strategies. (A) Chemical synthesis of GDP-ManA. (B) Post-oxidation synthesis of UDP-GlcNAcA. (C) One-pot multienzyme (OPME) synthesis of UDP-GlcA. (D) Cofactor regeneration system synthesis of UDP-GlcNAcA. (E) Oxidation reaction insertion strategy for NDP-uronic acid synthesis.

    Scheme 1  The primary side product resulting from TEMPO-mediated oxidation of UDP-D-Glc reported by Field.

    Scheme 2  Oxidation reaction insertion strategies used in this work.

    Scheme 3  Large-scale synthesis of NDP-uronic acids by EOE strategy.

    Scheme 4  Large-scale synthesis of NDP-uronic acids by EOC strategy.

    Scheme 5  Large-scale synthesis of NDP-uronic acids by COC strategy.

    Table 1.  Screening of conditions for TEMPO-mediated oxidation of 1-P-Glc.

    Entry Co-oxidant (equiv.) Co-catalyst (mol%) Solvent/additivea Time (h) T (℃) Yield (%)b pHc
    1 NaClO (8) KBr (15) THF/Sat aq NaHCO3 3 0 to r.t. 95 10.6
    2 NaClO (8) KBr (15) THF/5% aq NaHCO3 3 0 to r.t. 92 13
    3 NaClO (4) KBr (15) THF/5% aq NaHCO3 3 0 to r.t. 88 12.8
    4 NaClO (2.2) KBr (15), Bu4NBr (20%) THF/H2O 3 0 to r.t. 85 12.4
    5 NaClO (2.2) KBr (15) THF/5% aq NaHCO3 3 0 to r.t. 85 12.3
    6 NaClO (2.2) KBr (15) THF/PBS 7.0 3 0 to r.t. 82 12.6
    7 NaClO (2.2) KBr (15) THF/H2O 3 0 to r.t. 82 9
    8 NaClO (2.2) KBr (15) H2O 3 0 to r.t. 78 8.4
    9 DAIB (4) KBr (15) THF/5% aq NaHCO3 16 0 to r.t. 59 6.5
    10 DAIB (2.2) KBr (15) THF/5% aq NaHCO3 16 0 to r.t. 50 6.4
    11 DAIB (2.2) KBr (15), Bu4NBr (20%) THF/H2O 16 0 to r.t. 72 7.2
    12 DAIB (2.2) KBr (15) THF/PBS 7.0 16 0 to r.t. 45 6.6
    13 DAIB (2.2) KBr (15) THF/H2O 16 0 to r.t. 30 6.8
    14 DAIB (2.2) KBr (15) H2O 16 0 to r.t. 50 6.5
    a The solvent ratio used is 1/1 (v/v).
    b The reaction yield was calculated after purification by a P2 column.
    c The initial value after addition of all the reagents.
    下载: 导出CSV

    Table 2.  Efficient synthesis of NDP-uronic acids from common sugars.

    Entry Substrate Strategy Product Yield (%)a Quantity (mg)b
    1 D-Glc-1-P EOE Strategy UDP-D-GlcA 85 985
    2 D-Glc-1-P EOE Strategy dTDP-D-GlcA 83 961
    3 D-Gal EOE Strategy UDP-D-GaIA 85 990
    4 D-Gal EOE Strategy dTDP-D-GalA 79 918
    5 D-GlcNAc EOE Strategy UDP-D-GlcNAcA 72 889
    6 D-GalNAc EOE Strategy UDP-D-GalNAcA 65 809
    7 2-Deoxy-D-Glc EOE Strategy dTDP-2-deoxy-D-GlcA 57 645
    8 D-Man EOC Strategy GDP-D-ManA 45 555
    9 D-Man EOC Strategy UDP-D-ManA 48 559
    10 D-ManNAc COC Strategy GDP-D-ManNAcA 28 727
    11 D-ManNAc COC Strategy UDP-D-ManNAcA 30 751
    a The overall yield was calculated for two steps from D-Glc-1-P (entries 1 and 2), three steps from monosaccharides (entries 3–9), five steps from monosaccharides (entries 10 and 11).
    b The synthesis was performed starting from 2 mmol of starting materials (entries 1–9) or 4 mmol of D-ManNAc (entries 10 and 11).
    下载: 导出CSV
  • 加载中
计量
  • PDF下载量:  0
  • 文章访问数:  863
  • HTML全文浏览量:  35
文章相关
  • 发布日期:  2025-08-15
  • 收稿日期:  2024-09-17
  • 接受日期:  2024-12-11
  • 修回日期:  2024-12-01
  • 网络出版日期:  2024-12-12
通讯作者: 陈斌, bchen63@163.com
  • 1. 

    沈阳化工大学材料科学与工程学院 沈阳 110142

  1. 本站搜索
  2. 百度学术搜索
  3. 万方数据库搜索
  4. CNKI搜索

/

返回文章