Equatorial aminopyridine ligands stabilize an unusual straightly bridging mode in dimeric dysprosium(Ⅲ) single-molecule magnets

Qian-Cheng Luo Xia-Li Ding Wen-Jie Xu Yuan-Qi Zhai Yan-Zhen Zheng

Citation:  Qian-Cheng Luo, Xia-Li Ding, Wen-Jie Xu, Yuan-Qi Zhai, Yan-Zhen Zheng. Equatorial aminopyridine ligands stabilize an unusual straightly bridging mode in dimeric dysprosium(Ⅲ) single-molecule magnets[J]. Chinese Chemical Letters, 2025, 36(9): 110304. doi: 10.1016/j.cclet.2024.110304 shu

Equatorial aminopyridine ligands stabilize an unusual straightly bridging mode in dimeric dysprosium(Ⅲ) single-molecule magnets

English

  • Single-molecule magnets (SMMs) possessing similar magnetic memory behaviour as the traditional inorganic bulk magnets are potential for high-density information storage as well as magnetic resonance imaging (MRI) [1-3]. Trivalent lanthanide ions, specially Kramers Dy(Ⅲ), attract much attention to construct high-performance SMMs due to their large and controllable magnetic anisotropy as well as huge ground state magnetic moments [4-6]. There are two figure-of-merits for measuring their relaxation performance, namely the effective energy barrier (Ueff) and magnetic blocking temperature (TB). A great number of high-performance SMMs have been reported [7-15] in which the record holder (CpiPr5)2Dy2I3 with mixed valences exhibits both high Ueff and TB values of 1631 cm-1 and 72 K respectively [16]. However, majorities of SMMs suffer from severe zero-field quantum tunneling of the magnetization (QTM), leading to their poor blocking behaviour [17-21].

    Many strategies have been established to suppress such rapid relaxation process for Ln(Ⅲ) SMMs, for instance, building the high-symmetric crystal field [22-24], controlling the intermolecular dipolar interactions in solid crystals [25,26], strengthening the molecular rigidity [27,28], exerting the external electric field along certain direction [29,30], etc. The mentioned strategies above aim to enhance the single-ion magnetic anisotropy, on the other hand, introducing suitable magnetic couplings between the metal centers is also a valid means. Even if ferromagnetic (FM) ground state can be gained through strong direct exchanges via radical bridges, forming large coercive field and remnant magnetization, the synthesis procedure is stricter and more difficult than the systems possessing diamagnetic bridges [31-36]. While it is indeed hard to trigger effective exchange bias effects to inhibit the zero-field memory loss because of the relatively weaker magnetic interactions in the latter systems [37-39]. Additionally, the dimeric complexes with such bridges usually feature the staggered alignment of the magnetic principal axes, causing that the adjacent magnetic center can produce internal transversal magnetic field which increases the tunneling gap (∆tun) between the exchange-coupled ground states and accelerates the spin reversals [40-42]. Therefore, coupling the Ising-type spins with the perfectly collinear or parallel manner becomes an ideal model.

    With this in mind, straightly bridging mode is beneficial to achieve such a goal despite that it is difficult to precisely prepare such complexes due to the flexible coordination modes around the lanthanide ion considering its large radius and ionic bonding nature. In literature, there are some dimeric 4f-metallic complexes possessing linear bridges reported (Table S1 in Supporting information), where the first case is [(C5Me5)2Sm]2(μ-O) with perpendicular π interactions on bridging oxygen ligand [43]. In addition, there are two related Dy(Ⅲ) compounds, namely [{Dy(CH[PPh2NSiMe3]2)(I)}2(μ-O)] [44] and Bu4N{[Dy(3NO2, 5Br-H3L1,1,4)]2(μ-F)} [45]. However, only the SMM characteristic in the latter was verified, and severe zero field QTM can still be observed, which is mainly attributed to relatively low single-ion magnetic anisotropy.

    Herein, we successfully utilized a single chloride bridge to connect both pentagonal bipyramidal (PB) units, forming the dimeric complexes with propeller-like geometry, {[LnLA(4-NH2py)5]2(µ-Cl)}[BPh4]3 (For LA- = 1-AdO-, 1Ln; for LA- = tBuO-, 2Ln; Ln = Dy, Gd). Interestingly, the unusual perfect linearity of Dy-Cl-Dy linkages in these compounds is obtained. Magnetic measurements give that the Dy2 complexes 1Dy and 2Dy possess the Ueff of 262(17) and 206(9) K and the TB100s of 3 K respectively. The comparison with their Y(Ⅲ)-doped samples indicates the suppression of zero-field QTM in 1Dy and 2Dy are achieved, causing the disappeared zero-field steps in magnetic hysteresis and thousands of times longer relaxation times at 2 K. Further theoretical insights demonstrate that this is attributed to axial antiferromagnetic (AFM) couplings.

    All compounds were successfully isolated by the similar synthesis routes shown in Scheme 1. The alkoxides of 1-AdO- and tBuO- (-OR) were prepared by mixing corresponding alcohols and NaH in THF solvent. Then the reaction of LnCl3, NaOR, NaBPh4 and 4-aminopyridine (4-NH2py) in THF afforded the complexes, {[LnLA(4-NH2py)5]2(µ-Cl)}[BPh4]3 (For LA- = 1-AdO-, 1Ln; for LA- = tBuO-, 2Ln; Ln = Dy, Gd). To remove the intramolecular magnetic couplings, the yttrium-diluted samples of 1Dy@1Y and 2Dy@2Y were also synthesized by utilizing a 9:1 mixture of YCl3: DyCl3.

    Scheme 1

    Scheme 1.  Synthesis routes of 1Ln and 2Ln.

    Single crystal X-ray diffraction shows all four compounds crystallize in triclinic space group P-1 (Table S2 in Supporting information). One chloride-bridged dimeric Ln(Ⅲ) cation and three charge-balancing BPh4- anions are in the crystallographic asymmetric units. These cationic complexes feature a regular pentagonal antiprism with double caps. The µ-Cl bridge lies right at the center between two C5v-symmetric subunits, affording the perfectly linear linking where the Ln-Cl-Ln angles are 180° in them (Fig. 1 and Tables S3-S6 in Supporting information). The intramolecular Ln(Ⅲ)-Ln(Ⅲ) distances are ca. 5.54 and 5.60 Å for 1Dy and 2Dy, while for their Gd(Ⅲ) analogues 1Gd and 2Gd, the distances increase slightly to 5.61 and 5.66 Å. The LnN5O2 core forms in each Ln(Ⅲ) coordination sphere, and the two alkoxide O atoms possessing the most electronegative lead to very short Ln-O bond lengths ranging from 2.023(3) Å to 2.063(2) Å. To our best knowledge, the axial Dy-O bonds in 1Dy and 2Dy are the shortest among all reported Dy(Ⅲ) complexes up to date. Five N atoms from the 4-NH2py ligands are coordinated at the equatorial sites with the relatively longer Ln-N distance lying in 2.503(2)-2.568(3) Å, and five contiguous N-Ln-N angles fall in the range of 69.70(11)°-73.44(9)° (Tables S3-S6). No matter which type of coordinated bond, the average bond lengths in Gd2 analogs are slightly longer than the Dy2 ones, which can be ascribed to the effect of lanthanide contraction. In addition, numerous supramolecular interactions, such as hydrogen bonds and C-H···π interactions formed by 4-NH2py and adjacent THF, ether as well as BPh4- respectively, can be observed, which are supposed to be benefit to stabilize such unusual coordination geometry (Figs. S1-S4 in Supporting information). The shortest intermolecular Dy(Ⅲ)-Dy(Ⅲ) distances are 10.92 and 9.55 Å for 1Dy and 2Dy (Figs. S5 and S6 in Supporting information), which indicates that the intermolecular magnetic couplings are weak and can be negligible in the crystals.

    Figure 1

    Figure 1.  (a) The crystal structures of {[Dy(1-AdO)(4-NH2py)5]2(µ-Cl)}3+ in 1Dy (left) and {[Dy(tBuO)(4-NH2py)5]2(µ-Cl)}3+ in 2Dy (right) motifs, where golden arrows represent the ab initio calculated principal magnetic axes of the ground doublets for Dy(Ⅲ) ions. (b) The key bond lengths and angles in 1Dy’s cation and its polyhedron of the first coordination shell for Dy(Ⅲ) centers seen from the front (left) and from top to bottom (right). For clarity, all hydrogen atoms and solvent molecules are omitted. Color codes: Dy, lavender; Cl, green; O, red; N, blue; C, gray.

    Temperature dependent magnetic susceptibilities for these complexes were measured under 1 kOe dc field at the temperature range of 2–300 K (Fig. 2, Figs. S12 and S14 in Supporting information), giving the χMT products at 300 K of 28.02 and 28.26 cm3 K/mol for 1Dy and 2Dy, 15.77 and 15.91 cm3 K/mol for 1Gd and 2Gd, which are close to the expected values of 28.34 and 15.76 cm3 K/mol for two free Dy(Ⅲ) (6H15/2, g = 4/3) and Gd(Ⅲ) (8S7/2, g = 2) ions respectively. Upon cooling, the χMT values in all compounds keep essentially constant with merely a little decrease until 20 K, suggesting the presence of weak intramolecular antiferromagnetic (AFM) couplings. The fitting of its 1/χM vs. T plots through the Curie-Weiss law above 50 K verifies this and gives the negative Weiss constants θ of -4.53 and -3.19 K for 1Dy and 2Dy, -1.37 and -0.73 K for 1Gd and 2Gd (Figs. S7-S10 in Supporting information). At lower temperature, the sudden drop of χMT emerges and it can be attributed to thermal depopulation of mJ sublevels for Dy2 molecules and the Zeeman effect for Gd2 analogs. Then their isothermal magnetization (M) curves at diverse temperatures were also recorded, and M increases steadily up to the maximum values at 2 K of 10.21 and 10.26 μB for 1Dy and 2Dy, 14.17 and 14.01 μB for 1Gd and 2Gd (Figs. S11-S14 in Supporting information), which are consistent with the theoretical magnetization saturation values of 10 and 14 μB for both uncoupled or weakly coupled Dy(Ⅲ) and Gd(Ⅲ) ions respectively. For 1Dy and 2Dy, the slight S-shaped curves in the extremely low field can be attributed to very weak intermolecular AFM interactions which lead to the collective magnetization with the increase of external field (Figs. S11 and S12). The dc magnetic data of 1Gd and 2Gd were fitted using the following spin Hamiltonian (Eq. 1) via PHI program [46]. Considering the intramolecular magnetic exchange and Zeeman effect, the best fits give the parameters of J1 = -0.043 cm-1 and g1 = 2.01 for 1Gd, and J2 = -0.049 cm-1 and g2 = 2.01 for 2Gd (Fig. 2, Figs. S13 and S14). Such small exchanges are common in the Gd2 molecules which are resulted from the shielded feature of the 4f orbitals.

    $\hat{H}=-J \overrightarrow{\hat{S}}_1 \overrightarrow{\hat{S}}_2+g \mu_B \vec{H} \overrightarrow{\hat{S}}$

    (1)

    Figure 2

    Figure 2.  Temperature dependence of the χMT product for 1Dy (purple square) and 1Gd (purple circle) under a 1000 Oe dc field. The solid black lines represent the best fits based on Eq. 1 through PHI program for Gd2, and according to Lines model by POLY_ANISO program for Dy2. Note: The black solid line for 1Dy is the result of fitting data multiplied by a coefficient of 1.02.

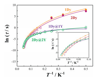
    The dynamic magnetic properties of complexes 1Dy and 2Dy, as well as their corresponding diamagnetically diluted samples were initially investigated by ac magnetic susceptibility measurements at the frequency ranging from 0.1 Hz to 1218 Hz. Under zero dc field, the maxima of both in-phase (χ’) and out-of-phase (χ”) components shows an obvious temperature and frequency dependence, revealing the typical slow magnetic relaxation behaviors of SMMs (Figs. S15, S16, S21, S22, S25, S26, S32 and S33 in Supporting information). The χ” peaks can be observed shifting from 7 K to 21 K for 1Dy, 6 K to 19 K for 2Dy, 2 K to 21 K for 1Dy@1Y and 2 K to 22 K for 2Dy@2Y. Then the generalized Debye model was utilized through CC-FIT2 software [47] to extract the relaxation times (τ) for these samples and corresponding Cole-Cole plots demonstrate the existence of single relaxation process (Figs. S17, S23, S27 and S34 in Supporting information). To further investigate the relaxation behaviour at lower temperatures, dc decay techniques were performed considering the upper limit of τ from our ac instrumentation (τac ≤ 1 s). The change of magnetization to equilibrium state goes through an exponential decay with time at distinctive temperatures (Figs. S18 and S28 in Supporting information), and the τ values can be obtained by the fitting through Eq. S1 (Supporting information). Ultimately, the relaxation times of 1Dy and 2Dy arrive at 342.24 and 240.54 s at 3 K while 96.86 and 71.29 s at 4 K respectively (Tables S8 and S11 in Supporting information), indicating that the TB100s values can be conservatively estimated as 3 K.

    The temperature dependence of τ for them is plotted in Fig. 3 via lnτ vs. T-1. The complexes 1Dy and 2Dy exhibit spin-phonon relaxation mechanisms, which contains the relationship of linearity at high temperatures and power-law at lower ones. While for the Y(Ⅲ)-doped samples, the almost constant relaxation times at the low temperature region reveals the existence of QTM process. Moreover, the relaxation times of 1Dy and 2Dy at 2 K arrive at 2706.89 and 1437.05 s, which are almost thousands of times longer than their corresponding diluted compounds (0.77 and 1.29 s for 1Dy@1Y and 2Dy@2Y). This significant differences of τ indicate that the introduction of axial AFM interactions promotes the magnetic blocking through suppressing the QTM process. Then, by fitting the temperature-dependent relaxations times using the (2), (3), the magnetic relaxation parameters are determined and listed in Table 1. Due to similar crystal field environments around Dy(Ⅲ) centers, these compounds possess approaching Ueff and Orbach relaxation rates. Besides, the Raman relaxation rates of 1Dy and 1Dy@1Y are slightly slower than their corresponding analogs 2Dy and 2Dy@2Y, which is correlated with less optical phonons and reduced resonance with low-energy spin transitions by the introduction of more rigid ligand 1-AdO- [28].

    $\tau^{-1}=\tau_0^{-1} e^{-U_{e f f} / T}+C T^n$

    (2)

    $\tau^{-1}=\tau_0^{-1} e^{-U_{e f f} / T}+C T^n+\tau_{\mathrm{QTM}}^{-1}$

    (3)

    Figure 3

    Figure 3.  Plots of temperature-dependent magnetic relaxation times of 1Dy (orange circles), 2Dy (plum circles), 1Dy@1Y (purple circles) and 2Dy@2Y (green circles) under zero dc magnetic field. The hollow and solid points represent the data obtained from ac susceptibility and dc magnetization decay measurements, respectively. The solid lines are the best fits using Eqs. 2 and 3. Insert: The expanded region of lnτ-T-1 plots above 10 K.

    Table 1

    Table 1.  The best-fit magnetic relaxation parameters for 1Dy and 2Dy, as well as their Y(Ⅲ)-doped samples 1Dy@1Y and 2Dy@2Y.
    DownLoad: CSV
    Sample Ueff (K) τ0 (s) C (s-1 K-n) n τQTM (s)
    1Dy 262(17) 7.03(23) × 10-10 1.99(51) × 10-6 6.78(15) -
    2Dy 206(9) 9.31(61) × 10-9 3.91(19) × 10-6 6.76(25) -
    1Dy@1Y 262(fixed) 1.19(18) × 10-9 0.008(3) 3.78(17) 0.61(9)
    2Dy@2Y 206(fixed) 1.66(13) × 10-8 0.088(16) 2.71(9) 2.58(47)

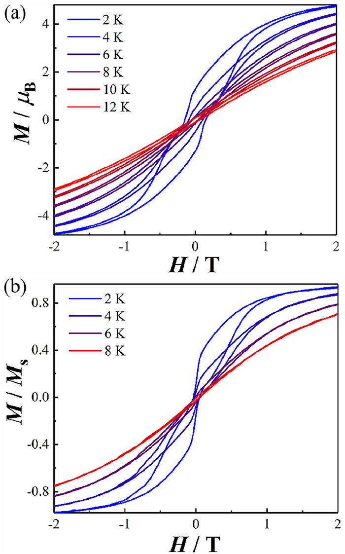
    Field-cooled (FC) and zero-field-cooled (ZFC) susceptibilities were collected to investigate their retention of magnetization at lower temperatures. Under the dc field of 2 kOe, the divergence of both susceptibilities is at 3 K for 1Dy and 2Dy, corresponding to magnetic blocking behaviour in the low temperature regime (Figs. S19 and S29 in Supporting information). In addition, their variable temperature magnetic hysteresis data were also collected. At the average sweep rate of 15 Oe/s, the highest temperatures at which the loops can still be observed are 6 K for 1Dy and 5 K for the rest of these compounds (Figs. S20, S24, S30 and S35 in Supporting information). When applying a higher scan rate of 200 Oe/s, the loops remain open until 12 K for 1Dy and 2Dy while 8 K for their diluted samples (Fig. 4, Figs. S31 and S36 in Supporting information). Evidently, the curves in 1Dy@1Y and 2Dy@2Y exhibit the waist-restricted feature around zero field with strong QTM, while in 1Dy and 2Dy, the loops keep open and possess the coercive field (Hc) of ~800 and ~1500 Oe for the lower and higher sweep rates at 2 K respectively. This comparison proves that the intramolecular Dy(Ⅲ)-Dy(Ⅲ) magnetic interactions in the Y(Ⅲ)-doped compounds are absent, and suggests that the suppression of zero-field QTM are achieved through the exchange bias effects induced by the axial AFM couplings. And the same Hc observed in complexes 1Dy and 2Dy also indicates the very close magnetic coupling strengths between them.

    Figure 4

    Figure 4.  (a) Magnetic hysteresis loops for 1Dy and (b) its diamagnetically diluted sample 1Dy@1Y under an average scan rate of 200 Oe/s.

    Complete active space self-consistent field spin-orbit (CASSCF-SO) calculations were carried out by using OpenMolcas program [48] to gain insight into the electronic structures and investigate the single-ion magnetic anisotropy of 1Dy and 2Dy (see Supporting Information for details). For such dimeric molecules, both individual calculations were performed towards the fragment 1 and 2 where one of paramagnetic centers are replaced to diamagnetic Lu(Ⅲ) ion. Eight Kramers doublets (KDs) generated by the ground term 6H15/2 span an energy barrier of 633 K for 1Dy’s both fragments, as well as 608 and 607 K for 2Dy’s fragment 1 and 2 (Tables S13-S16). As expected, due to the large negative electrostatic potentials provided by axial alkoxide anions, the ground KDs of these fragments exhibit high magnetic axiality, which can be corroborated by the calculated g-tensors and the direction of the principal magnetic axes for this KD (Fig. 1). The wavefunctions of the ground KDs for 1Dy’s fragments are not pure |±15/2 > , while for 2Dy’s fragments, they are composed from |±11/2 > to |±5/2 > and the contribution of mJ = ±15/2 emerges at the highest KD, which is attributed to the positive B20 term. Similar phenomenon is also reported in the complexes [Dy(COT)2]- and [(Amdipp)DyCp*(Cl)(μ-Cl)Li(THF)3] (dipp = 2,6-diisopropylphenyl) [49,50]. In short, all the ground KDs possess the admixture wavefunctions, indicating that they possess inherently rapid QTM relaxation. This exactly corresponds to the butterfly-shaped hysteresis loops and almost unchanged low-temperature relaxation times observed in the Y(Ⅲ)-doped compounds considering similar electronic structures between them. Significantly large transversal components can be witnessed in the first excited KDs in terms of g-tensors and the gz angle relative to the ground KDs approaching ~90° (Tables S13-S16). Therefore, notable averaged transition moments between this KD can be observed (2.13 and 2.15 μB for 1Dy’s fragment 1 and 2, 3.70 and 3.72 μB for 2Dy’s fragment 1 and 2), demonstrating that magnetic relaxation goes through this KD, and therefore the theoretical Ueff values can be estimated as 323 and 322 K for 1Dy’s fragment 1 and 2, and 236 K for 2Dy’s both fragments (Fig. 5a, Figs. S37 and S38 in Supporting information).

    Figure 5

    Figure 5.  Ab initio calculated possible magnetic relaxation path diagrams for (a) 1Dy’s fragment 1 and (b) 1Dy. The horizontal red arrows represent the QTM/TA-QTM processes, while the non-horizontal ones show the spin-phonon transition paths. The numbers next to the solid arrows are the averaged transition magnetic moments ((|μX|+|μY|+|μZ|)/3) in μB between the connecting pairs, while the tunneling splittings ∆tun in cm-1 close to the red dotted arrows.

    To understand the intramolecular Dy(Ⅲ)–Dy(Ⅲ) interaction in 1Dy and 2Dy, POLY_ANISO program based on the Lines model [51-53] was utilized through modelling their dc magnetic data. For dimeric complexes containing 4f metal ions, the total interaction (Jtotal) between magnetic centers comprises two components, the dipole-dipole interaction (Jdip) and the exchange interaction (Jexch). Eq. 4 is the Hamiltonian which represents the relationship among those three types of magnetic couplings and therein dipole-dipole term can be determined using Eq. 5 under Ising approximation. The value of Jdip is correlated with the distance between adjacent Dy(Ⅲ) ions and the arrangement of two principal axes on Dy(Ⅲ) sites, while the Jexch term is related to a complicated effect induced by the overlaps of magnetic orbitals. The best-fit gives total AFM interaction with Jtotal of -0.700 and -0.349 cm-1 for 1Dy and 2Dy respectively, resulting from the competition of AFM exchange interaction and ferromagnetic (FM) dipolar coupling (Table 2). The calculated gz values of exchange-coupled ground state for two complexes is very close to zero (Tables S29 and S30 in Supporting information), demonstrating the diamagnetic feature of this state and the total AFM Dy(Ⅲ)-Dy(Ⅲ) interactions. Despite the small tunneling gaps ∆tun within the ground pseudo-doublet of 1.67 × 10-8 and 4.06 × 10-8 cm-1 for 1Dy and 2Dy, they are the states whose magnetic moments are very close to zero, thus still existing the possibility of strong QTM behaviour in rather low temperatures. However, in the ac magnetic susceptibility measurements, the relatively higher temperature region increases the population of excited states. Besides, as shown in Fig. 5b and Fig. S41 (Supporting information), there are also very large transition magnetic moments between the ground and second excited pseudo-doublets (0.35 μB for |+1 > →|-3 > in 1Dy and 0.18 μB for |+1 > →|+3 > in 2Dy). Then significant ∆tun values of ~10-5/10-4 cm-1 can be observed within the second excited states for 1Dy and 2Dy respectively, indicating the presence of fast TA-QTM relaxation (Fig. 5b and Fig. S41). Therefore, the theoretical exchange-coupled Ueff values for 1Dy and 2Dy can be estimated as ca. 323 and 236 K respectively, close to the values for their corresponding individual fragments. The experimental Ueff values are slightly below them which can be ascribed to some other effects, like low-energy off-resonance phonons [54,55], etc. We also notice that the Ueff values of 1Dy and 2Dy are much lower than corresponding complexes with D5h local symmetry, [Dy(tBuO)2py5][BPh4] (1815 K) [9], [Dy(1-AdO)2py5][BPh4] (1835 K)[28], and even [Dy(tBuO)Cl(THF)5][BPh4] (950 K) with similar coordination environment [56]. Actually in 1Dy and 2Dy, one side coordination sphere connected with central Cl- further affects the charge distributions around the other Dy(Ⅲ) center, leading to reduced single-ion anisotropy and weaker crystal field splittings (Tables S13-S16 in Supporting information). Moreover, coupling both Kramers ions into dimeric system also enhances the tunneling gaps of excited pseudo-doublets (Table S29 and S30). Therefore, these two main factors are responsible for the lower Ueff values observed in 1Dy and 2Dy.

    $\hat{H}=\hat{H}_{e x c h}+\hat{H}_{d i p}=-J_{t o t a l} \widehat{\widetilde{S}}_{1 z} \widehat{\widetilde{S}}_{2 z}=-\left(J_{e x c h} \widehat{\widetilde{S}}_{1 z} \widehat{\widetilde{S}}_{2 z}+J_{d i p} \widehat{\widetilde{S}}_{1 z} \widehat{\widetilde{S}}_{2 z}\right)$

    (4)

    $J_{d i p}=\frac{\mu_B^2}{|r|^3}\left[\vec{g}_{1 z} \cdot \vec{g}_{2 z}-3\left(\vec{g}_{1 z} \cdot \vec{r}\right)\left(\vec{r} \cdot \vec{g}_{2 z}\right)\right] $

    (5)

    $J_{e x c h}=-\frac{E_{h s}-E_{b s}}{\left\langle S_{h s}^2\right\rangle-\left\langle S_{b s}^2\right\rangle}$

    (6)

    Table 2

    Table 2.  The intramolecular magnetic coupling strengths obtained from the fittings by PHI and POLY_ANISO program, as well as from the calculations by density functional theory combined with broken-symmetry (DFT-BS) approach (Unit: cm-1).
    DownLoad: CSV
    Sample POLY_ANISO Jexch (DFT-BS) Jexch (PHI)
    Jexch Jdip Jtotal
    1Dy -1.196 0.496 -0.700 -0.112
    2Dy -0.836 0.487 -0.349 -0.107
    1Gd -0.043
    2Gd -0.049

    Then the isotropic part of total magnetic interaction Jexch was calculated by utilizing density functional theory combined with broken-symmetry (DFT-BS) approach to investigate its sign qualitatively (see Supporting information for details) and the Jexch value can be calculated based on the energy difference between high-spin and broken-symmetry states as well as molecular spin density of corresponding states (Eq. 6) [57-60]. In calculations, both Dy(Ⅲ) ions were replaced to isotropic Gd(Ⅲ) and after scaling by a factor of 49/25, the final calculated Jexch values for 1Dy and 2Dy are -0.112 and -0.107 cm-1, confirming the existing AFM exchange interaction (Table 2). The FM dipole-dipole interaction is attributed to collinear arrangement of principal magnetic axes realized by such linear chloride-bridged fashion and strong axial crystal field in both complexes, while the long distances between intramolecular adjacent Dy(Ⅲ) ions make the magnitude of this part of interactions not large enough to compete with the exchange interactions, resulting in totally AFM couplings.

    Furthermore, we performed in silico investigation through the established dimeric Dy(Ⅲ) model molecules to verify the effectiveness of such type of axial magnetic coupling (Fig. 6a). Based on the structures of 1Dy and 2Dy, the bond lengths of Dy-O and Dy-N were fixed as corresponding average values. As such, upon decreasing the Dy(Ⅲ)-Dy(Ⅲ) distance (dDy-Dy), both Jexch and Jdip exhibit gradual growth, but in different tendencies (Fig. 6b). Jdip is continuously increasing whereas Jexch is slowly descending at the beginning and jumps sharply when dDy-Dy is lower than 4.2 Å. Jexch reaches -21.6 cm-1 at dDy-Dy = 3.6 Å, almost 312 times larger than that at dDy-Dy = 6 Å. This is due to the suddenly expanded overlaps of magnetic orbitals below that distance. This result also gives us a critical Dy(Ⅲ)-Dy(Ⅲ) distance in which total AFM couplings start to be significantly strengthened, and much larger crossing field can be expected.

    Figure 6

    Figure 6.  (a) The structure of dimeric Dy(Ⅲ) model complex. All hydrogen atoms are omitted; (b) the evolution of coupling constants (orange and red squares for Jexch and Jdip, respectively) for the model molecules with the decrease of intramolecular Dy(Ⅲ)-Dy(Ⅲ) distance.

    To summarize, through the introduction of terminal amino pyridine ligand, we have successfully isolated a series of dimeric Ln(Ⅲ) compounds with the unusual straightly µ-chloride bridging mode. The resulting collinear magnetic anisotropy axes in the Dy2 analogs greatly suppress the zero-field QTM. Theoretical simulations confirm the effectiveness of such axial magnetic couplings, and future work would include introducing smaller monoionic bridge and constructing axial ferromagnetic interactions in this system to promote the magnetic dynamics of dimeric Dy(Ⅲ) SMMs.

    The authors declare that they have no known competing financial interests or personal relationships that could have appeared to influence the work reported in this paper.

    Qian-Cheng Luo: Writing – original draft, Validation, Software, Methodology, Investigation, Formal analysis, Data curation, Conceptualization. Xia-Li Ding: Writing – original draft, Visualization, Investigation, Formal analysis, Data curation. Wen-Jie Xu: Writing – original draft, Visualization, Software, Formal analysis, Data curation. Yuan-Qi Zhai: Writing – review & editing, Software, Investigation. Yan-Zhen Zheng: Writing – review & editing, Supervision, Resources, Project administration, Methodology, Funding acquisition, Data curation, Conceptualization.

    This work was supported by the National Natural Science Foundation of China (No. 22375157), the State Key Laboratory of Electrical Insulation and Power Equipment (No. EIPE23405), the Fundamental Research Funds for Central Universities (No. xtr052023002), the Special Support Plan of Shaanxi Province for Young Top-notch Talent, and the Medical-Engineering Cross Project of the First Affiliated Hospital of XJTU (No. QYJC02). The authors also thank the Instrument Analysis Center of Xi’an Jiaotong University.

    Supplementary material associated with this article can be found, in the online version, at doi:10.1016/j.cclet.2024.110304.


    1. [1]

      V. Vieru, S. Gómez-Coca, E. Ruiz, L.F. Chibotaru, Angew. Chem. Int. Ed. 63 (2024) e202303146. doi: 10.1002/anie.202303146

    2. [2]

      T.G. Ashebr, H. Li, X. Ying, et al., ACS Mater. Lett. 4 (2022) 307–319. doi: 10.1021/acsmaterialslett.1c00765

    3. [3]

      D. Parker, E.A. Suturina, I. Kuprov, N.F. Chilton, Acc. Chem. Res. 53 (2020) 1520–1534. doi: 10.1021/acs.accounts.0c00275

    4. [4]

      A. Zabala-Lekuona, J.M. Seco, E. Colacio, Coord. Chem. Rev. 441 (2021) 213984. doi: 10.1016/j.ccr.2021.213984

    5. [5]

      K.L.M. Harriman, D. Errulat, M. Murugesu, Trends Chem. 1 (2019) 425–439. doi: 10.1016/j.trechm.2019.04.005

    6. [6]

      D.N. Woodruff, R.E.P. Winpenny, R.A. Layfield, Chem. Rev. 113 (2013) 5110–5148. doi: 10.1021/cr400018q

    7. [7]

      F.S. Guo, B.M. Day, Y.C. Chen, et al., Science 362 (2018) 1400–1403. doi: 10.1126/science.aav0652

    8. [8]

      C.A.P. Goodwin, F. Ortu, D. Reta, N.F. Chilton, D.P. Mills, Nature 548 (2017) 439–442. doi: 10.1038/nature23447

    9. [9]

      Y.S. Ding, N.F. Chilton, R.E.P. Winpenny, Y.Z. Zheng, Angew. Chem. Int. Ed. 55 (2016) 16071–16074. doi: 10.1002/anie.201609685

    10. [10]

      Y.D. Wang, Q.C. Luo, Y.Z. Zheng, Angew. Chem. Int. Ed. 63 (2024) e202407016. doi: 10.1002/anie.202407016

    11. [11]

      Y.C. Chen, J.L. Liu, L. Ungur, et al., J. Am. Chem. Soc. 138 (2016) 2829–2837. doi: 10.1021/jacs.5b13584

    12. [12]

      Z. Zhu, C. Zhao, T. Feng, et al., J. Am. Chem. Soc. 143 (2021) 10077–10082. doi: 10.1021/jacs.1c05279

    13. [13]

      Z. Zhu, J. Tang, Natl. Sci. Rev. 9 (2022) nwac194. doi: 10.1093/nsr/nwac194

    14. [14]

      Z. Zhu, J. Tang, Chem. Soc. Rev. 51 (2022) 9469–9481. doi: 10.1039/d2cs00516f

    15. [15]

      Z. Hu, Y. Wang, A. Ullah, et al., Chem 9 (2023) 3613–3622. doi: 10.1016/j.chempr.2023.08.007

    16. [16]

      C.A. Gould, K.R. Mcclain, D. Reta, et al., Science 375 (2022) 198–202. doi: 10.1126/science.abl5470

    17. [17]

      P.B. Jin, Y.Q. Zhai, K.X. Yu, R.E.P. Winpenny, Y.Z. Zheng, Angew. Chem. Int. Ed. 59 (2020) 9350–9354. doi: 10.1002/anie.202001401

    18. [18]

      Y.S. Ding, T. Han, Y.Q. Zhai, et al., Chem. Eur. J. 26 (2020) 5893–5902. doi: 10.1002/chem.202000646

    19. [19]

      X.D. Huang, X.F. Ma, L.M. Zheng, Angew. Chem. Int. Ed. 62 (2023) e202300088. doi: 10.1002/anie.202300088

    20. [20]

      A.B. Canaj, S. Dey, E.R. Martí, et al., Angew. Chem. Int. Ed. 58 (2019) 14146–14151. doi: 10.1002/anie.201907686

    21. [21]

      X.L. Ding, Y.Q. Zhai, T. Han, et al., Chem. Eur. J. 27 (2021) 2623–2627. doi: 10.1002/chem.202003931

    22. [22]

      J.L. Liu, Y.C. Chen, M.L. Tong, Chem. Soc. Rev. 47 (2018) 2431–2453. doi: 10.1039/c7cs00266a

    23. [23]

      J.L. Liu, Y.C. Chen, Y.Z. Zheng, et al., Chem. Sci. 4 (2013) 3310–3316. doi: 10.1039/c3sc50843a

    24. [24]

      Q.C. Luo, N. Ge, Y.Q. Zhai, et al., Chin. Chem. Lett. 34 (2023) 107547. doi: 10.1016/j.cclet.2022.05.061

    25. [25]

      A.P. Orlova, M.S. Varley, M.G. Bernbeck, et al., J. Am. Chem. Soc. 145 (2023) 22265–22275. doi: 10.1021/jacs.3c08946

    26. [26]

      W. Deng, S.N. Du, Z.Y. Ruan, et al., Aggregate 5 (2024) e441. doi: 10.1002/agt2.441

    27. [27]

      K.X. Yu, J.G.C. Kragskow, Y.S. Ding, et al., Chem 6 (2020) 1777–1793. doi: 10.1016/j.chempr.2020.04.024

    28. [28]

      X.L. Ding, Q.C. Luo, Y.Q. Zhai, et al., Chin. J. Chem. 40 (2022) 563–570. doi: 10.1002/cjoc.202100722

    29. [29]

      A. Sarkar, G. Rajaraman, Chem. Sci. 11 (2020) 10324–10330. doi: 10.1039/d0sc03982a

    30. [30]

      A. Swain, T. Sharma, G. Rajaraman, Chem. Commun. 59 (2023) 3206–3228. doi: 10.1039/d2cc06041h

    31. [31]

      J.D. Rinehart, M. Fang, W.J. Evans, J.R. Long, Nat. Chem. 3 (2011) 538–542. doi: 10.1038/nchem.1063

    32. [32]

      F. Liu, D.S. Krylov, L. Spree, et al., Nat. Commun. 8 (2017) 16098. doi: 10.1038/ncomms16098

    33. [33]

      M. Guo, Y. Xu, J. Wu, L. Zhao, J. Tang, Dalton Trans. 46 (2017) 8252–8258. doi: 10.1039/C7DT01121K

    34. [34]

      P.B. Jin, K.X. Yu, Y.Q. Zhai, et al., Chin. J. Chem. 39 (2021) 1635–1640. doi: 10.1002/cjoc.202100041

    35. [35]

      F. Delano IV, F. Benner, S. Jang, S. Demir, Inorg. Chem. 62 (2023) 14604–14614. doi: 10.1021/acs.inorgchem.3c01724

    36. [36]

      Y.S. Meng, J. Xiong, M.W. Yang, et al., Angew. Chem. Int. Ed. 59 (2020) 13037–13043. doi: 10.1002/anie.202004537

    37. [37]

      M. Wang, X. Meng, N. Liu, et al., Chin. Chem. Lett. 34 (2023) 107995.

    38. [38]

      D. Shao, P.P. Sahu, W.J. Tang, et al., Dalton Trans. 51 (2022) 18610–18621. doi: 10.1039/d2dt03046b

    39. [39]

      P.B. Jin, Q.C. Luo, Y.Q. Zhai, et al., iScience 24 (2021) 102760.

    40. [40]

      Y.C. Chen, M.L. Tong, Chem. Sci. 13 (2022) 8716–8726. doi: 10.1039/d2sc01532c

    41. [41]

      Q.C. Luo, K.X. Yu, P.B. Jin, et al., Chin. J. Chem. 42 (2024) 391–396. doi: 10.1002/cjoc.202300491

    42. [42]

      C. Jin, X.L. Li, Z. Liu, A. Mansikkamäki, J. Tang, Dalton Trans. 49 (2020) 10477–10485. doi: 10.1039/d0dt01926g

    43. [43]

      W.J. Evans, J.W. Grate, I. Bloom, W.E. Hunter, J.L. Atwood, J. Am. Chem. Soc. 107 (1985) 405–409. doi: 10.1021/ja00288a021

    44. [44]

      A.J. Wooles, O.J. Cooper, J. McMaster, et al., Organometallics 29 (2010) 2315–2321. doi: 10.1021/om100104s

    45. [45]

      J. Corredoira-Vázquez, C. González-Barreira, M. Fondo, et al., Inorg. Chem. 61 (2022) 9946–9959. doi: 10.1021/acs.inorgchem.2c00773

    46. [46]

      N.F. Chilton, R.P. Anderson, L.D. Turner, A. Soncini, K.S. Murray, J. Comput. Chem. 34 (2013) 1164–1175. doi: 10.1002/jcc.23234

    47. [47]

      D. Reta, N.F. Chilton, Phys. Chem. Chem. Phys. 21 (2019) 23567–23575. doi: 10.1039/c9cp04301b

    48. [48]

      I.F. Galván, M. Vacher, A. Alavi, et al., J. Chem. Theory Comput. 15 (2019) 5925–5964.

    49. [49]

      L. Ungur, J.J. Le Roy, I. Korobkov, M. Murugesu, L.F. Chibotaru, Angew. Chem. Int. Ed. 53 (2014) 4413–4417. doi: 10.1002/anie.201310451

    50. [50]

      Y. Wang, Q.C. Luo, Y.Q. Zhai, et al., Cryst. Growth Des. 22 (2022) 6398–6404. doi: 10.1021/acs.cgd.2c00892

    51. [51]

      M.E. Lines, J. Chem. Phys. 55 (1971) 2977–2984.

    52. [52]

      L.F. Chibotaru, L. Ungur, C. Aronica, et al., J. Am. Chem. Soc. 130 (2008) 12445–12455. doi: 10.1021/ja8029416

    53. [53]

      L.F. Chibotaru, L. Ungur, A. Soncini, Angew. Chem. Int. Ed. 47 (2008) 4126–4129. doi: 10.1002/anie.200800283

    54. [54]

      A. Lunghi, F. Totti, R. Sessoli, S. Sanvito, Nat. Commun. 8 (2017) 14620.

    55. [55]

      Q.C. Luo, Y.Z. Zheng, Trends Chem. 5 (2023) 869–872.

    56. [56]

      Y.S. Ding, K.X. Yu, D. Reta, et al., Nat. Commun. 9 (2018) 3134.

    57. [57]

      L. Noodleman, J. Chem. Phys. 74 (1981) 5737–5743.

    58. [58]

      L. Noodleman, E.R. Davidson, Chem. Phys. 109 (1986) 131–143.

    59. [59]

      K. Yamaguchi, Y. Takahara, T. Fueno, Applied Quantum Chemistry, in: V.H. Smith, H.F. Schaefer, K. Morokuma (Eds.), Ab-Initio Molecular Orbital Studies of Structure and Reactivity of Transition Metal-OXO Compounds, Springer, Dordrecht, The Netherlands, 1986, pp. 155–184.

    60. [60]

      Q.C. Luo, Y.Z. Zheng, Magnetochemistry 7 (2021) 107. doi: 10.3390/magnetochemistry7080107

  • Scheme 1  Synthesis routes of 1Ln and 2Ln.

    Figure 1  (a) The crystal structures of {[Dy(1-AdO)(4-NH2py)5]2(µ-Cl)}3+ in 1Dy (left) and {[Dy(tBuO)(4-NH2py)5]2(µ-Cl)}3+ in 2Dy (right) motifs, where golden arrows represent the ab initio calculated principal magnetic axes of the ground doublets for Dy(Ⅲ) ions. (b) The key bond lengths and angles in 1Dy’s cation and its polyhedron of the first coordination shell for Dy(Ⅲ) centers seen from the front (left) and from top to bottom (right). For clarity, all hydrogen atoms and solvent molecules are omitted. Color codes: Dy, lavender; Cl, green; O, red; N, blue; C, gray.

    Figure 2  Temperature dependence of the χMT product for 1Dy (purple square) and 1Gd (purple circle) under a 1000 Oe dc field. The solid black lines represent the best fits based on Eq. 1 through PHI program for Gd2, and according to Lines model by POLY_ANISO program for Dy2. Note: The black solid line for 1Dy is the result of fitting data multiplied by a coefficient of 1.02.

    Figure 3  Plots of temperature-dependent magnetic relaxation times of 1Dy (orange circles), 2Dy (plum circles), 1Dy@1Y (purple circles) and 2Dy@2Y (green circles) under zero dc magnetic field. The hollow and solid points represent the data obtained from ac susceptibility and dc magnetization decay measurements, respectively. The solid lines are the best fits using Eqs. 2 and 3. Insert: The expanded region of lnτ-T-1 plots above 10 K.

    Figure 4  (a) Magnetic hysteresis loops for 1Dy and (b) its diamagnetically diluted sample 1Dy@1Y under an average scan rate of 200 Oe/s.

    Figure 5  Ab initio calculated possible magnetic relaxation path diagrams for (a) 1Dy’s fragment 1 and (b) 1Dy. The horizontal red arrows represent the QTM/TA-QTM processes, while the non-horizontal ones show the spin-phonon transition paths. The numbers next to the solid arrows are the averaged transition magnetic moments ((|μX|+|μY|+|μZ|)/3) in μB between the connecting pairs, while the tunneling splittings ∆tun in cm-1 close to the red dotted arrows.

    Figure 6  (a) The structure of dimeric Dy(Ⅲ) model complex. All hydrogen atoms are omitted; (b) the evolution of coupling constants (orange and red squares for Jexch and Jdip, respectively) for the model molecules with the decrease of intramolecular Dy(Ⅲ)-Dy(Ⅲ) distance.

    Table 1.  The best-fit magnetic relaxation parameters for 1Dy and 2Dy, as well as their Y(Ⅲ)-doped samples 1Dy@1Y and 2Dy@2Y.

    Sample Ueff (K) τ0 (s) C (s-1 K-n) n τQTM (s)
    1Dy 262(17) 7.03(23) × 10-10 1.99(51) × 10-6 6.78(15) -
    2Dy 206(9) 9.31(61) × 10-9 3.91(19) × 10-6 6.76(25) -
    1Dy@1Y 262(fixed) 1.19(18) × 10-9 0.008(3) 3.78(17) 0.61(9)
    2Dy@2Y 206(fixed) 1.66(13) × 10-8 0.088(16) 2.71(9) 2.58(47)
    下载: 导出CSV

    Table 2.  The intramolecular magnetic coupling strengths obtained from the fittings by PHI and POLY_ANISO program, as well as from the calculations by density functional theory combined with broken-symmetry (DFT-BS) approach (Unit: cm-1).

    Sample POLY_ANISO Jexch (DFT-BS) Jexch (PHI)
    Jexch Jdip Jtotal
    1Dy -1.196 0.496 -0.700 -0.112
    2Dy -0.836 0.487 -0.349 -0.107
    1Gd -0.043
    2Gd -0.049
    下载: 导出CSV
  • 加载中
计量
  • PDF下载量:  1
  • 文章访问数:  2011
  • HTML全文浏览量:  69
文章相关
  • 发布日期:  2025-09-15
  • 收稿日期:  2024-05-24
  • 接受日期:  2024-07-30
  • 修回日期:  2024-06-24
  • 网络出版日期:  2024-08-02
通讯作者: 陈斌, bchen63@163.com
  • 1. 

    沈阳化工大学材料科学与工程学院 沈阳 110142

  1. 本站搜索
  2. 百度学术搜索
  3. 万方数据库搜索
  4. CNKI搜索

/

返回文章