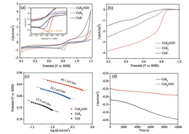
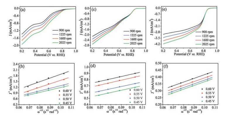
Cobalt sulfides as efficient catalyst towards oxygen reduction reactions
-
* Corresponding authors.
E-mail addresses: chm_huangtz@ujn.edu.cn (T. Huang), yuanxx@sjtu.edu.cn (X. Yuan).
Citation:
Yao Shuo, Huang Taizhong, Fang Hengyi, Yu Jiemei, Meganathan Mayilvel Dinesh, Cui Zhaoxin, Yuan Xianxia. Cobalt sulfides as efficient catalyst towards oxygen reduction reactions[J]. Chinese Chemical Letters,
;2020, 31(2): 530-534.
doi:
10.1016/j.cclet.2019.04.069
I.A. Khan, Y. Qian, A. Badshah, et al., ACS Appl. Mater. Interfaces 8(2016) 17268-17275.
doi: 10.1021/acsami.6b04548
S.G. Peera, A. Sahu, A. Arunchander, et al., Carbon 93(2015) 130-142.
doi: 10.1016/j.carbon.2015.05.002
M. Seredych, E. Rodriguez-Castellon, T.J. Bandosz, J. Mater. Chem. A 2(2014) 20164-20176.
doi: 10.1039/C4TA05342G
Y. Gu, Y. Xu, Y. Wang, ACS Appl. Mater. Interfaces 5(2013) 801-806.
doi: 10.1021/am3023652
B.C.H. Steele, A. Heinzel, Nature 414(2001) 345-352.
doi: 10.1038/35104620
B. Wang, X. Cui, J. Huang, et al., Chin. Chem. Lett. 29(2018) 1757-1767.
doi: 10.1016/j.cclet.2018.11.021
K. Zhao, W. Gu, L. Zhao, et al., Electrochim. Acta 169(2015) 142-149.
doi: 10.1016/j.electacta.2015.04.044
M.D. Meganathan, S. Mao, T. Huang, G. Sun, J. Mater. Chem. A 5(2017) 2972-2980.
doi: 10.1039/C6TA09729D
J.P. Paraknowitsch, A. Thomas, Energy Environ. Sci. 6(2013) 2839-2855.
doi: 10.1039/c3ee41444b
J. Snyder, T. Fujita, M. Chen, J. Erlebacher, Nat. Mater. 9(2010) 904-907.
doi: 10.1038/nmat2878
K. Gong, F. Du, Z. Xia, et al., Science 323(2009) 760-764.
doi: 10.1126/science.1168049
N. Bhandary, S. Basu, P.P. Ingole, Electrochim. Acta 212(2016) 122-129.
doi: 10.1016/j.electacta.2016.06.143
H. Cui, Z. Zhou, D. Jia, Mater. Horiz. 4(2017) 7-19.
doi: 10.1039/C6MH00358C
Y. Hou, Z. Wen, S. Cui, et al., Adv. Funct. Mater. 25(2015) 872-882.
doi: 10.1002/adfm.201403657
X.X. Wang, D.A. Cullen, Y.T. Pan, et al., Adv. Mater. 30(2018) 1706758.
doi: 10.1002/adma.201706758
S. Kumar, A. Jena, Y.C. Hu, et al., Chemelectrochem 5(2018) 29-35.
doi: 10.1002/celc.201700909
L. Hu, F. Yu, H. Yuan, et al., Chin. Chem. Lett. 30(2019) 624-629.
doi: 10.1016/j.cclet.2018.10.039
Y. Wang, J. Wu, Y. Tang, et al., ACS Appl. Mater. Interfaces 4(2012) 4246-4250.
doi: 10.1021/am300951f
N. Kumar, N. Raman, A. Sundaresan, Z. Anorg. Allg. Chem. 640(2014) 1069-1074.
doi: 10.1002/zaac.201300649
B. Hu, Z. Jing, J. Fan, et al., Catal. Today 263(2016) 128-135.
doi: 10.1016/j.cattod.2015.09.035
D.C. Higgins, F.M. Hassan, M.H. Seo, et al., J. Mater. Chem. A 3(2015) 6340-6350.
doi: 10.1039/C4TA06667G
J.S. Jirkovský, A. Bjoerling, E. Ahlberg, J. Phys. Chem. C 116(2012) 24436.
doi: 10.1021/jp307669k
R.J. Wu, M. Liu, Y.W. Peng, et al., Chin. Chem. Lett. 30(2019) 989-994.
doi: 10.1016/j.cclet.2019.02.021
X. Chen, X. Zhen, H. Gong, et al., Chin. Chem. Lett. 30(2019) 681-685.
doi: 10.1016/j.cclet.2018.09.017
Y. Liang, Y. Li, H. Wang, et al., Nat. Mater. 10(2011) 780-786.
doi: 10.1038/nmat3087
P. Nekooi, R. Ahmadi, M.K. Amini, J. Iran. Chem. Soc. 9(2012) 715-722.
doi: 10.1007/s13738-012-0077-4
X. Cao, X. Zheng, J. Tian, et al., Electrochim. Acta 191(2016) 776-783.
doi: 10.1016/j.electacta.2016.01.137
H.R. Byon, J. Suntivich, Y. Shao-Horn, Chem. Mater. 23(2011) 3421-3428.
doi: 10.1021/cm2000649
T. Huang, S. Mao, M. Qiu, et al., Electrochim. Acta 222(2016) 481-487.
doi: 10.1016/j.electacta.2016.10.201
W. Gu, L. Hu, W. Hong, et al., Chem. Sci. 7(2016) 4167-4173.
doi: 10.1039/C6SC00357E
I.V. Malakhov, S.G. Nikitenko, E.R. Savinova, et al., J. Phys. Chem. B 106(2002) 1670-1676.
doi: 10.1021/jp011295l
R.A. Sidik, A.B. Anderson, N.P. Subramanian, et al., J. Phys. Chem. B 110(2006) 1787-1793.
doi: 10.1021/jp055150g
K. Chang, W. Chen, ACS Nano 5(2011) 4720-4728.
doi: 10.1021/nn200659w
Q. Liu, J. Jin, J. Zhang, ACS Appl. Mater. Interfaces 5(2013) 5002-5008.
doi: 10.1021/am4007897
W. Hailiang, L. Yongye, L. Yanguang, D. Hongjie, Angew. Chem. Int. Ed. 123(2011) 11161-11164.
doi: 10.1002/ange.201104004
M. Shen, C. Ruan, Y. Chen, et al., ACS Appl. Mater. Interfaces 7(2015) 1207-1218.
doi: 10.1021/am507033x
W. Li, Y. Li, H. Wang, et al., Electrochim. Acta 265(2018) 32-40.
doi: 10.1016/j.electacta.2018.01.095
Y. Dong, Y. Deng, J. Zeng, et al., J. Mater. Chem. A 5(2017) 5829-5837.
doi: 10.1039/C6TA10496G
T. Huang, S. Mao, G. Zhou, et al., Nanoscale 6(2014) 9608-9613.
doi: 10.1039/C4NR02646B
Guan-Nan Xing , Di-Ye Wei , Hua Zhang , Zhong-Qun Tian , Jian-Feng Li . Pd-based nanocatalysts for oxygen reduction reaction: Preparation, performance, and in-situ characterization. Chinese Journal of Structural Chemistry, 2023, 42(11): 100021-100021. doi: 10.1016/j.cjsc.2023.100021
Kunsong Hu , Yulong Zhang , Jiayi Zhu , Jinhua Mai , Gang Liu , Manoj Krishna Sugumar , Xinhua Liu , Feng Zhan , Rui Tan . Nano-engineered catalysts for high-performance oxygen reduction reaction. Chinese Chemical Letters, 2024, 35(10): 109423-. doi: 10.1016/j.cclet.2023.109423
Jiahao Xie , Jin Liu , Bin Liu , Xin Meng , Zhuang Cai , Xiaoqin Xu , Cheng Wang , Shijie You , Jinlong Zou . Yolk shell-structured pyrite-type cobalt sulfide grafted by nitrogen-doped carbon-needles with enhanced electrical conductivity for oxygen electrocatalysis. Chinese Chemical Letters, 2024, 35(7): 109236-. doi: 10.1016/j.cclet.2023.109236
Jinli Chen , Shouquan Feng , Tianqi Yu , Yongjin Zou , Huan Wen , Shibin Yin . Modulating Metal-Support Interaction Between Pt3Ni and Unsaturated WOx to Selectively Regulate the ORR Performance. Chinese Journal of Structural Chemistry, 2023, 42(10): 100168-100168. doi: 10.1016/j.cjsc.2023.100168
Jin Long , Xingqun Zheng , Bin Wang , Chenzhong Wu , Qingmei Wang , Lishan Peng . Improving the electrocatalytic performances of Pt-based catalysts for oxygen reduction reaction via strong interactions with single-CoN4-rich carbon support. Chinese Chemical Letters, 2024, 35(5): 109354-. doi: 10.1016/j.cclet.2023.109354
Jiayu Huang , Kuan Chang , Qi Liu , Yameng Xie , Zhijia Song , Zhiping Zheng , Qin Kuang . Fe-N-C nanostick derived from 1D Fe-ZIFs for Electrocatalytic oxygen reduction. Chinese Journal of Structural Chemistry, 2023, 42(10): 100097-100097. doi: 10.1016/j.cjsc.2023.100097
Yufeng Wu , Mingjun Jing , Juan Li , Wenhui Deng , Mingguang Yi , Zhanpeng Chen , Meixia Yang , Jinyang Wu , Xinkai Xu , Yanson Bai , Xiaoqing Zou , Tianjing Wu , Xianyou Wang . Collaborative integration of Fe-Nx active center into defective sulfur/selenium-doped carbon for efficient oxygen electrocatalysts in liquid and flexible Zn-air batteries. Chinese Chemical Letters, 2024, 35(9): 109269-. doi: 10.1016/j.cclet.2023.109269
Fengjun Deng , Tingyu Zhao , Xiaochen Zhang , Kaiyong Feng , Ze Liu , Youlin Xiang , Yingjian Yu . Reduced graphene oxide assembled on the Si nanowire anode enabling low passivation and hydrogen evolution for long-life aqueous Si-air batteries. Chinese Chemical Letters, 2025, 36(6): 109897-. doi: 10.1016/j.cclet.2024.109897
Shaojie Ding , Henan Wang , Xiaojing Dai , Yuru Lv , Xinxin Niu , Ruilian Yin , Fangfang Wu , Wenhui Shi , Wenxian Liu , Xiehong Cao . Mn-modulated Co–N–C oxygen electrocatalysts for robust and temperature-adaptative zinc-air batteries. Chinese Journal of Structural Chemistry, 2024, 43(7): 100302-100302. doi: 10.1016/j.cjsc.2024.100302
Zhong-Hui Sun , Yu-Qi Zhang , Zhen-Yi Gu , Dong-Yang Qu , Hong-Yu Guan , Xing-Long Wu . CoPSe nanoparticles confined in nitrogen-doped dual carbon network towards high-performance lithium/potassium ion batteries. Chinese Chemical Letters, 2025, 36(1): 109590-. doi: 10.1016/j.cclet.2024.109590
Yaxin Sun , Huiyu Li , Shiquan Guo , Congju Li . Metal-based cathode catalysts for electrocatalytic ORR in microbial fuel cells: A review. Chinese Chemical Letters, 2024, 35(5): 109418-. doi: 10.1016/j.cclet.2023.109418
Jiayi Guo , Liangxiong Ling , Qinwei Lu , Yi Zhou , Xubiao Luo , Yanbo Zhou . Degradation of chloroxylenol by CoSx activated peroxomonosulfate: Role of cobalt-sulfur ratio. Chinese Chemical Letters, 2025, 36(4): 110380-. doi: 10.1016/j.cclet.2024.110380
Yatian Deng , Dao Wang , Jinglan Cheng , Yunkun Zhao , Zongbao Li , Chunyan Zang , Jian Li , Lichao Jia . A new popular transition metal-based catalyst: SmMn2O5 mullite-type oxide. Chinese Chemical Letters, 2024, 35(8): 109141-. doi: 10.1016/j.cclet.2023.109141
Jialin Cai , Yizhe Chen , Ruiwen Zhang , Cheng Yuan , Zeyu Jin , Yongting Chen , Shiming Zhang , Jiujun Zhang . Interfacial Pt-N coordination for promoting oxygen reduction reaction. Chinese Chemical Letters, 2025, 36(2): 110255-. doi: 10.1016/j.cclet.2024.110255
Min Song , Qian Zhang , Tao Shen , Guanyu Luo , Deli Wang . Surface reconstruction enabled o-PdTe@Pd core-shell electrocatalyst for efficient oxygen reduction reaction. Chinese Chemical Letters, 2024, 35(8): 109083-. doi: 10.1016/j.cclet.2023.109083
Chenhao Zhang , Qian Zhang , Yezhou Hu , Hanyu Hu , Junhao Yang , Chang Yang , Ye Zhu , Zhengkai Tu , Deli Wang . N-doped carbon confined ternary Pt2NiCo intermetallics for efficient oxygen reduction reaction. Chinese Chemical Letters, 2025, 36(3): 110429-. doi: 10.1016/j.cclet.2024.110429
Xiaoya Cui , Yanchang Liu , Qiang Li , He Zhu , Shibo Xi , Jianrong Zeng . Ultrafast crystallinity engineering of PtCo3 alloy for enhanced oxygen reduction reaction. Chinese Chemical Letters, 2025, 36(5): 110069-. doi: 10.1016/j.cclet.2024.110069
Quanyou Guo , Yue Yang , Tingting Hu , Hongqi Chu , Lijun Liao , Xuepeng Wang , Zhenzi Li , Liping Guo , Wei Zhou . Regulating local electron transfer environment of covalent triazine frameworks through F, N co-modification towards optimized oxygen reduction reaction. Chinese Chemical Letters, 2025, 36(1): 110235-. doi: 10.1016/j.cclet.2024.110235
Yan Wang , Jiaqi Zhang , Xiaofeng Wu , Sibo Wang , Masakazu Anpo , Yuanxing Fang . Elucidating oxygen evolution and reduction mechanisms in nitrogen-doped carbon-based photocatalysts. Chinese Chemical Letters, 2025, 36(2): 110439-. doi: 10.1016/j.cclet.2024.110439
Xuyun Lu , Yanan Chang , Shasha Wang , Xiaoxuan Li , Jianchun Bao , Ying Liu . Hydrogen peroxide electrosynthesis via two-electron oxygen reduction: From pH effect to device engineering. Chinese Chemical Letters, 2025, 36(5): 110277-. doi: 10.1016/j.cclet.2024.110277