Pyrazole derivatives: Recent advances in discovery and development of pesticides
English
Pyrazole derivatives: Recent advances in discovery and development of pesticides
-
Key words:
- Pyrazole
- / New pesticides
- / Biological activity
- / SAR
- / Mechanism
-
1. Introduction
With the global population growing and dramatic climate change intensifying, the safe production of agriculture is confronted with unprecedented challenges [1]. Plant diseases, pests, and weeds pose a serious threat to crop yield and quality, ultimately affecting food safety and the sustainability of modern agriculture [2]. Among them, plant diseases are estimated to cause more than $220 billion in economic losses annually, and it is noteworthy that pesticide application recovers about one-third of agricultural losses [3]. Pesticide applications play an important role in the development of modern agriculture. The development of efficient pesticides is particularly important to maintain crop yield and quality, and to effectively control plant pathogens, pests, and weeds [4]. Continuous innovation of new agrochemicals has always been an important part of plant protection [5]. For example, the discovery of new and efficient fungicides, antibacterial agents, insecticides, herbicides, and antiviral agents has always been a hot topic in the field of agricultural chemistry [6].
Pyrazoles with broad-spectrum biological activities (fungicidal [7-12], antibacterial [13-15], insecticidal [16-21], antiviral [22-24], and herbicidal [25-28] activities) occupy a unique position in the discovery of new pesticides. In recent years, pyrazole derivatives have made great progress in the discovery of new pesticides, especially novel fungicides, insecticides, and herbicides, such as isoflucypram, inpyrfluxam, pyriprole, tetraniliprole, pyrazoxyfen, and pyrasulfotole [29-34]. Despite the tremendous progress have been made in the research and application of new pyrazole pesticides, in-depth research on their mechanisms of action, resistance management and ecological impacts remain an ongoing challenge. In addition, the efficient preparation of pyrazoles is the basis for the efficient production and application of new pyrazole pesticides. Currently, there are three main conventional methods for synthesizing pyrazole rings (Fig. 1) [35]. The cyclization of electrophilic compounds such as 1, 3-dicarbonyl compounds, α, β-unsaturated carbonyl compounds and α, β-unsaturated carbonyl compounds with leaving groups on the β-site with hydrazine compounds is an important synthesis method for the synthesis of pyrazoles.
Figure 1
The great contribution of pyrazoles in the discovery and application of new pesticides is well documented and continued to play a great role in the future. To update the latest research progress of pyrazole active compounds in the discovery of new pesticides, we systematically reviewed the research and application of pyrazole derivatives in the discovery of new pesticides in the past decade, summarized the fungicidal, antibacterial, insecticidal, anti-plant virus, herbicidal, and nematicidal activities of pyrazole active compounds, and discussed the SAR, physiology and biochemistry of active compounds, and the mechanism of action. We hope it can provide new clues and inspiration for the discovery of efficient and environmentally friendly new pesticides contain pyrazole.
2. Biological activities
2.1 Fungicidal activity
Fungal diseases can not only lead to severe losses in crop yields, but also cause the accumulation of mycotoxins in food, thus endangering the life and health of human and animal [36-39]. Pyrazole derivatives have made great achievements in the discovery of fungicides, such as, the discovery and application of some pyrazole fungicides (Fig. 2) [40-44]. Among them, succinate dehydrogenase (SDH) inhibitors are the most representative. The chemical structure characteristics and analysis of active fragments of the new pyrazole fungicides are helpful for further structural optimization and modification (Fig. 3). The introduction of methyl groups at the 1-position of the pyrazole ring is also key to the fungicidal activity of the compound in the scaffold. The fungicidal activities of benzene compounds introduced at the 1-position of the pyrazole ring decreased. It is notable that -CHF2, -CH3, and -CF3 groups are mainly introduced in the 3-position of the pyrazole ring, among which the -CHF2 group is the most representative. The 4-position-formamide structure of pyrazole is the most important active unit in this scaffold and is the classical scaffold structure for SDH inhibitors. In the 3-position of the pyrazole ring, H, F, and Cl atoms are mainly introduced. Interestingly, the structural analysis of the new pyrazole fungicides revealed that compounds with a -CHF2 substitution at the 3-position of the pyrazole ring had greater commercial value.
Figure 2
Figure 3
The application of fungicides plays an extremely important role in improving crop yield and quality [45]. Pyrazoles have been widely noticed and studied in the discovery of novel fungicides (Fig. 4), for example, compound 4 had good in vitro inhibitory activity against Rhizoctonia cerealis (R.cerealis) (EC50 = 8.14 mg/L). In addition, compound 4 had better in vivo activities against Rhizoctonia solani (R.solani) and Puccinia sorghi Schw. (P.sorghi) at a concentration of 10 mg/L (protective activities of 80% and 90%, respectively). Compound 4 has better interaction with SDH [46]. The type of substituent group on the pyrazole ring greatly affects the fungicidal activities of the compounds. Interestingly, when the 3-position of the pyrazole ring is -CF3, it favored the fungicidal activity of the compounds against R.solani, such as, compound 6 (EC50 = 0.14 mg/L). However, when the 3-position of the pyrazole ring is -CH3, the fungicidal activity of the compound against Botrytis cinerea (B.cinerea) is favored, such as, compound 7 (EC50 = 0.52 mg/L). In addition, when the 3-position of the pyrazole ring is -CHF2, the fungicidal activity of the compound against Fusarium graminearum (F.graminearum) is favored, such as, compound 8 (EC50 = 0.27 mg/L) [47]. The main substituents for the 3-position of the pyrazole ring are -CF3, -CHF2, and -CH3. However, pyrazoles with different substituents at the 3-position seem to show different inhibitory selectivity against fungi. Some representative synthesis methods of pyrazole compounds 1 and 12 are shown in Fig. 5. Compound 1 was synthesized by cyclization, reduction and substitution of pyrimidine ether arylpyrazole derivatives by intermediate derivative method (IDM), and compound 12 was synthesized by cyclization, oxidation, acylation and substitution reactions with isoflucypram as the lead compound.
Figure 4
Figure 5
Compound 15 showed good in vitro inhibitory activity against Sclerotinia sclerotiorum (S.sclerotiorum) (Fig. 6) with an EC50 value of 0.20 mg/L. Meanwhile, the protective activity of compound 15 against S.sclerotiorum was 100% at 50 mg/L. In addition, compound 15 was able to interact with SDH by interacting through hydrogen bonding and p-π conjugation [48]. Compound 17, a natural product containing pyrazole structure, showed broad-spectrum antifungal activities against F. graminearum, Valsa mail (V. mali) and Fusarium oxysporum f. sp. niveum (FON). Compound 17 also showed low cytotoxicity, which may indicate that compound 17 has good selectivity between plant pathogenic fungi and normal mammalian cells [49]. Compound 17 can be used as a new lead compound for the discovery of new pyrazole fungicides. In addition, compound 24 also exhibited broad-spectrum fungicidal activities against Gibberella zeae (G.zeae), Nigrospora oryzae (N.oryzae), Thanatephorus cucumeris (T.cucumeris), and Verticillium dahlia (V.dahlia) with EC50 values of 5.2, 9.2, 12.8, and 17.6 mg/L, respectively. The protective activity and curative activity of compound 24 against G.zeae were 50.7% and 44.2% at 100 mg/L, and the production and accumulation of intracellular reactive oxygen species (ROS) of the compounds could affect the membrane and cell death. Compound 24 not only significantly inhibited the activity of SDH, but also induced the accumulation of endogenous ROS and induced cellular lipid peroxidation to affect the integrity of the cell membrane of mycelium, thus showing good fungicidal activity [50]. Compound 24 appeared to exhibit a clear dual mode of action. The fungicidal activity, SAR or mechanism of action of some representative pyrazoles are shown in Table 1 [51-67]. Pyrazole derivatives are representative SDH inhibitors, with difluoromethyl pyrazole being an important active unit among SDH inhibitors. The researchers also found that the introduction of fluorine atoms at the pyrazole ring 5-position and hydrogen bond receptors at the pyrazole ring 1-position increased fungicidal activity and interaction with SDH, such as, compounds 10 and 13. In general, pyrazoles mainly inhibit the activity of SDH, thus destroying the structure and morphology of mycelium surface, and finally realizing good fungicidal activity.
Figure 6
Table 1
Comp. Fungi Concentration Antifungal activity SAR/mechanism Ref. 1 CDM 1.22 a The substitution of an electron-withdrawing group, such as -CF3, at the 4-position of the benzene ring enhances the fungicidal activity of the compound [51] 2 B.cinerea 200 mg/L 78% Compounds with benzene ring substituted thiazole or pyrazole active groups have higher fungicidal activity [52] 3 V. mali 0.32 a It leads to hyphal contraction, damage of hyphal cell wall and inhibition of SDH activity [53] 5 B.cinerea 50 mg/L 80% Strong interaction with SDH via hydrogen and π-nor ionic bonds [54] 9 S.sclerotiorum 2.04 a The chiral carbon on the flexible chain is beneficial to the fungicidal activity of the compound [55] 10 WPM 0.63 a The fluorine atom at the 5-position of pyrazole ring increased the fungicidal activity of the compound and its interaction with SDH [56] 11 R.solani 9.06 a The position and number of chlorine atoms significantly affected the fungicidal activity of the compounds. Significantly affects mycelial morphology [57] 12 A.solani 10 mg/L 100% The interaction with SDH has strong affinity [58] 13 F.graminearum 0.56 a The introduction of hydrogen bond receptors at the 1-position of the pyrazole ring is beneficial to the fungicidal activity of the compound [59] 14 F.graminearum 0.47 a It has excellent interaction with SDH protein [59] 16 R.solani 0.27 a The introduction of hydrophobic groups favors the fungicidal activity of the compounds [60] 18 B.cinerea 100 mg/L 89% Inhibits fungal growth by affecting mycelial morphology [61] 19 FOA 92 b – [62] 20 B.cinerea 200 mg/L 85.3% The introduction of electron-withdrawing groups on the benzene ring, such as chlorine atoms, favors the fungicidal activity of the compound [63] 21 B.cinerea 0.39 a Abnormal mycelial growth, rough and deformed mycelial surface, excellent affinity with SDH [64] 22 R.solani 100 mg/L 86.2% The activity of SDH was significantly inhibited, and the structure and morphology of mycelium surface were destroyed [65] 23 R.solani 100 mg/L 72.2% The activity of SDH was significantly inhibited, and the structure and morphology of mycelium surface were destroyed [65] 25 P.capsici 0.41 a The morphology of mycelium was changed, the cell wall was thickened obviously, mitochondria were completely degraded, and vacuoles were abnormally enlarged [66] 26 R.solani 100 mg/L 73.1% The activity of SDH was significantly inhibited, and the structure and morphology of mycelium surface were destroyed [67] a Median effective concentration (EC50, mg/L).
b Minimum inhibitory concentration (MIC, mg/L). Cucumber downy mildew (CDM), Wheat powdery mildew (WPM), Alternaria solani (A.solani), Fusarium Oxysporum Albedinis (FOA), Phytophthora capsici (P.capsici).The chemical structure modification and active fragment analysis of fungicidal active compounds 1–26 containing pyrazole are shown in Fig. 7. Among these pyrazole fungicidal active compounds, the structural modifications on the pyrazole ring mainly focus on the 1-, 3-, and 5-positions of the pyrazole ring. Among them, trifluoromethyl, ester, and benzyl group are mainly introduced in the 1-position to carry out structural changes. Chlorine atom, difluoromethyl, trifluoromethyl and benzyl group are mainly introduced at the 3-position. Active fragments such as benzyl and halogen atoms were introduced at 5-position to improve the antifungal activity. Nitro, cyano, ether, and sulfoxide groups are introduced into the 5-position of the pyrazole ring to modify the structure of the compound, aiming at improving the fungicidal activity of the compound and discovering new fungicides in the future. However, the modification of the 4-position is mainly due to the introduction of the amide structure and the modification of the fragments connected with the amide. These fragments are mainly benzene rings, heterocyclic rings or aromatic rings connected by flexible chains. Among these changes, an amide fragment was introduced on the 4-position of pyrazole, a classic structure for SDH inhibitors.
Figure 7
2.2 Antibacterial activity
Bacterial plant diseases seriously hamper crop production, and their efficient management remains a challenge [68]. For example, bacterial diseases caused by Xanthomonas oryzae can lead to large yield reductions in rice [69]. Currently, the management of bacterial plant diseases relies on the application of antibacterial agents. However, the discovery of new and efficient antibacterial agents still faces great challenges [70].
In recent years, there have been few reports on the antibacterial activity of pyrazoles, and the mechanism of action is still unclear. Some pyrazoles have good antibacterial activities (Fig. 8). For example, compounds 27, 28, and 29 showed excellent antibacterial activities against Xanthomonas oryzae pv. oryzae (Xoo) (all with 100% antibacterial activity at 100 mg/L). In the modification of the active site, the retention of 1, 3, 4-oxadiazole fragments is conducive to improving the antibacterial activity of the compound [71]. In addition, the antibacterial activities of compound 30 against Ralstonia solanacearum (Rs) and Xoo was 60% and 53%, respectively, at 200 mg/L [72]. Quinolinone is a natural product fragment with a broad spectrum of biological activities, and the study of pyrazole amide derivatives containing quinazolinone may gain attention in the discovery of novel antibacterial agents in the future. Compound 31 showed excellent antibacterial activity against Xoo (EC50 = 18.8 mg/L). In addition, the antibacterial activities of compound 32 against Xanthomonas axonopodis pv. citri (Xac) and Pseudomonas syringae pv. actinidiae (Psa) at 100 mg/L was 39.5% and 38.8%, respectively [73]. Some pyrazole compounds cause deformation and collapse of the bacterial cell surface, allowing leakage of the contents into the cell, which may contribute to the antibacterial activities.
Figure 8
The representative compounds 27 and 36 were prepared by condensation, cyclization, hydrazinolysis, and substitution reactions (Fig. 9). Compounds 33 and 34 exhibited excellent antibacterial activities against Xoo with EC50 values of 6.72 and 0.92 mg/L, respectively, which were superior to that of bismerthiazol. Interestingly, the antibacterial activity of compound 35 against Xoo was reduced when the 1-position of pyrazole was a benzene ring, however, it showed significantly higher antibacterial activity against Rs (EC50 = 1.04 mg/L). Moreover, compound 36 showed excellent antibacterial activity against Xac (EC50 = 0.6 mg/L) [74]. Further optimization and derivatization of such compounds holds promise to discover potential antibacterial agents to be commercially exploited in the future. In these reports, the 1-position and 3-position of the pyrazole ring mainly introduce methyl and phenyl rings, and it may be considered to introduce alkyl chains or heterocyclic rings, such as ethyl, alkyl halide, pyridine, thiazole or oxazole, which may increase the lipophilicity and electronic properties of the compounds, thereby enhancing their antibacterial activities. The substitution of pyrazole at 1-position has a significant effect on the antibacterial activity of the compound. Therefore, exploring the relationship between the substitution type of 1-position and antibacterial activity is beneficial to the further optimization of this scaffold and the discovery of new pyrazole antibacterial agents.
Figure 9
2.3 Insecticidal activity
Agricultural pests are a serious threat to crop production, causing crop yield reductions of 20%–40% each year and leading to significant economic losses [75]. For example, the Plutella xylostella (P.xylostella) is one of the top 10 plant-feeding pests in the world, costing the world $4–5 billion annually [76]. The repeated use of pesticides over a long period of time has led to increased resistance among pests, thus damaging the ecological environment [77]. However, the use of pesticides is still one of the most direct and effective ways to control pests [78]. The search for new insecticides that are highly effective, have novel mechanisms of action and are non-target biosafe is an urgent need for current pest management [79].
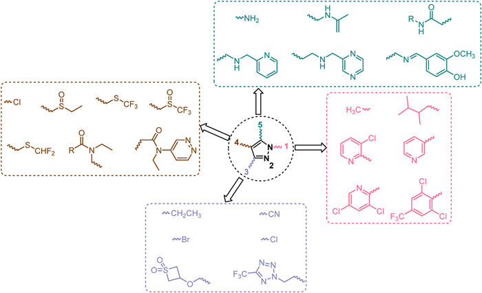
Great progress has been made in the discovery of pyrazole insecticides, and some insecticides containing pyrazole structures have played a great role in efficient pest management (Fig. 10). The main mechanism of action show that some pyrazole insecticides cause pest death by blocking gamma-aminobutyric acid (GABA) gated chloride channels and glutamate-gated chloride channels (GluCl) [80]. The chemical structure characteristics and analysis of active fragments of the new pyrazole insecticides are helpful for further structural optimization and modification (Fig. 11). Alkyl, substituted phenyl and substituted pyridine groups were mainly introduced at the 1-position of pyrazole. The 2, 6-dichloro-4-(trifluoromethyl) phenyl and 3-chloropyridin-2-yl were the most favorable fragments for insecticidal activity. In the 3-position of pyrazole, alkyl, halogen, cyanogen and heterocyclic groups are mainly introduced, among which cyanogen and bromine atoms are the most advantageous segments for insecticidal activity. Halogen, thioether, sulfoxide, and amide active fragments are mainly introduced in the 4-position of pyrazole. At the 5-position of pyrazole, active fragments containing nitrogen atoms are mainly introduced, such as amino, amide and heterocyclic imines.
Figure 10
Figure 11
In recent years, many active pyrazoles have been studied in the discovery of insecticides, and many compounds have shown excellent insecticidal activities. For example, compound 37 has an LC50 value of 0.26 mg/L for P.xylostella (Fig. 12). In addition, compound 37 can effectively regulate Ca2+ levels in insects and disrupt cellular calcium homeostasis [81]. This suggests that it may be a potent activator of ryanodine receptors (RyRs). The introduction of benzyl in the 3-position of the pyrazole ring is the key to the insecticidal activity of the compound against aphid, P.xylostella, and armyworm. Interestingly, compounds 40–42 with the same molecular scaffold showed good selectivity against different pests. For example, the foliar contact activity of compound 40 on bean aphid was 68% at 10 mg/L. The larvicidal activity of compound 41 against mosquito was 100% at 0.0025 mg/L. The larvicidal activity of compound 42 against P.xylostella was 100% at 1 mg/L [82]. The bis-amide compound 43 showed excellent insecticidal activity against P.xylostella (LC50=0.0002 mg/L), superior to chlorantraniliprole (LC50 = 0.0014 mg/L). The introduction of fluorine atoms into the alkyl chain of the fatty amide group can significantly improve the insecticidal activity of the compounds, such as, compounds 44 (100% insecticidal activity against Oriental armyworm at 2.5 mg/L) and 45 (100% insecticidal activity against Corn borer at 5 mg/L) [83]. It is possible to consider introducing long chains containing fluorine atoms to optimize the structure of pyrazole bisamide. The representative compound 40 is prepared by cyclization, condensation, and oxidation reactions (Fig. 13).
Figure 12
Figure 13
The introduction of different substituents at different positions of pyrazole had a significant effect on the insecticidal activities of the compounds. The introduction of halogen, amide, ester and ether groups at the 3-position of pyrazole compounds showed significant activity differences. For example, compound 47 showed 90% insecticidal activity against P.xylostella at 10−5 mg/L (Fig. 14). In addition, it causes the release of calcium from the endoplasmic reticulum of neurons, which leads to the death of the pest [84]. This showed that the introduction of the fluorine atom ether fragment at the 3-position of pyrazole was an important factor in the insecticidal efficacy of these compounds. At the same time, the introduction of amino and acetamide on the benzene ring helps to improve the insecticidal activity of the compound, for example, compound 52 has an LC50 of 33.65 mg/L against P.xylostella, in addition, it has excellent interaction with the potential target ryanodine receptor (RyRs) [85]. The benzene ring is replaced by pyrazole-5-formyl and the pyrazole-5-position is introduced into formyl, a key active fragment in GABAR antagonist class insecticides and acaricides. For example, compound 53 has a 50% fatality rate against Mythimna separate (M. separate) at 0.8 mg/L [86]. In addition, matrine is a widespread and potent plant insecticide that can induce apoptosis in mammalian and insect cells [87]. Compounds 57 and 58 with good insecticidal activities were prepared by organic combination with matrine via pyrazole rings. In addition, compounds 57 and 58 showed some cytotoxicity (apoptosis rates were 14.57% and 18.15%, respectively) [88]. Although the combination of pyrazole and natural insecticides did not obtain compounds with excellent insecticidal activities, this is still a good research idea. We can consider more natural insecticidal active fragments and pyrazole organic combination to discover new insecticides in the future. Some representative pyrazole insecticidal active compounds are shown in Table 2 [89-96]. Most pyrazole derivatives possess excellent insecticidal activities. Analysis of the SAR reveals that the introduction of saturated alkyl and phenyl groups into the pyrazole ring is conducive to enhancing insecticidal activity. It may be possible to further optimize the insecticidal activity of pyrazole derivatives by altering the chain length of the alkyl groups and the introduction of phenyl ring substituents. Additionally, in the study of mechanisms, the effects of pyrazole derivatives on target pests' RyRs and GABAR can be considered.
Figure 14
Table 2
Comp. Pest Concentration Insecticidal activity SAR/mechanism Ref. 38 A.craccivora 20 mg/L 88.3% The introduction of saturated alkyl groups facilitates the insecticidal activity of the compounds [89] 39 P.xylostella 100 mg/L 100% – [89] 46 P.xylostella 10−5 mg/L 94% The fluorine-substituted phenyl-pyrazole derivatives had better insecticidal activity against P.xylostella [90] 48 P.xylostella 22.11a The introduction of phenyl ring para-CF3 was beneficial to the improvement of insecticidal activity of the compound [91] 49 P.xylostella 0.1 mg/L 60% Pyrazole 3-position methylene may be key to the insecticidal activity of compounds [92] 50 P.xylostella 1.43a – [93] 51 P.xylostella 5.32a The introduction of amide structure containing electron-absorbing groups to the benzene ring is beneficial to the improvement of insecticidal activity of the compound [94] S.exigua 6.75a S.frugiperda 7.64a 54 M. separate 0.21a Strong interaction with the RyRs receptors of P.xylostella [95] P.xylostella 0.0015a S.frugiperda 0.0266a 55 P.xylostella 1.49a – [96] 56 P.xylostella 0.97a Effective antagonist of GABAR [96] a Lethal medium concentration (LC50, mg/L). Aphis craccivora (A.craccivora), Spodoptera exigua (S.exigua), Spodoptera frugiperda (S.frugiperda). 2.4 Anti-plant virus activity
Viruses in plants are known as plant cancers and cost the global economy up to $600 billion a year [97, 98]. For example, tobacco mosaic virus (TMV) is a typical plant virus and one of the most widely studied viruses that can infect plants in the Nightshade family represented by tobacco [99]. TMV is parasitic on plant cells and then replicates and synthesizes shell proteins in the ribosomes of the cells [100]. The control of plant viral diseases mainly relies on the application of chemical antiviral agents. Therefore, there is an urgent need to develop new antiviral agents to meet the challenges of effective management of plant viral diseases [101].
At present, there are few reports on the discovery of pyrazole active compounds in antiviral agents, mainly studying the antiviral activity and preliminary mechanism of pyrazole compounds. For example, compound 59 (Fig. 15) exhibited good inactivation activity against TMV (EC50 = 11.9 mg/L), which was superior to ningnanmycin (EC50 = 40.3 mg/L). In addition, compound 59 significantly shortened the polymerization length of TMV particles and led to the fracture of TMV particles, which reduced the viral infestation ability [102]. The introduction of small groups (such as, hydrogen, furan) at the 2-position or the 2, 6-position of the benzene ring by a chlorine atom and at the nitrogen atom facilitates the antiviral activity of the compounds. For example, compound 65 exhibited a curative activity of 56.2% against TMV, compound 66 showed a protective activity of 66.2% against TMV, and compound 67 demonstrated an inactivation activity of 93.2% against TMV at a concentration of 500 mg/L [103]. The inactivation activity of compound 69 against TMV was 82.8% at 500 mg/L. In addition, it was able to lead to a significant increase in chlorophyll content and defense enzyme activity in tobacco leaves [104]. However, chlorophyll is the main component of chloroplasts, which plays an important role in photosynthesis and can provide energy for plant growth [105]. Therefore, compound 69 can increase leaf chlorophyll content and promote photosynthesis and thereby improve disease resistance in tobacco. This may be the reason for the antiviral activity of pyrazoles. The association of pyrazole rings with active fragments helps to understand the influence of chemical structure on biological activity and provides important information for further optimization of molecular structure. Moreover, the introduction of ether and alkyl groups at the 1-position of the pyrazole ring following the introduction of these active fragments, such as, favours the antiviral activities of the compounds. Thus, the organic combination of pyrazole with structurally diverse active fragments is an effective way to obtain pyrazole derivatives with excellent antiviral activities. Some representative pyrazole antiviral active compounds are shown in Table 3 [106-110]. Most pyrazole derivatives exhibit good activity against TMV. Based on the analysis of SAR, the pyrazole derivatives showed good antiviral activity mainly by affecting the coat protein of TMV. It may be possible to use TMV coat protein as a potential target in the study of mechanism of action to discover new pyrazole derivative antiviral agents. Among them, compounds 61 and 62 were synthesized as shown in Fig. 16. They were prepared by cyclisation, reduction, oxidation and substitution using ethyl acetate with substituted phenylhydrazine by structure optimisation method.
Figure 15
Table 3
Comp. Plant viruses Concentration Antiviral activity (%) SAR/mechanism Ref. 60 TMV 500 g/mL 59.5a – [106] 61 TMV 500 mg/mL 81.5a The introduction of fluorine atoms improves the resistance to TMV [107] 62 TMV 500 mg/mL 72.4b The compounds were able to stabilize the insertion of the nucleotide sequence of OriRNA (GAAGUU), suggesting that the nucleotide may be a potential target for the compounds [108] 63 TMV 500 mg/L 92.1b Interaction with TMV coat protein and enhancement of anti-TMV activity after introduction of 5-methylthiophene-2-yl group [109] 64 TMV 500 mg/L 94.6b Interacts with TMV coat protein [109] 68 TMV 500 mg/L 76.6a The addition of electron-donating groups increased the curative and protective activity of the compound against TMV [110] 79.1c a Curative activity.
b Inactivation activity.
c Protective activity.Figure 16
2.5 Herbicidal activity
In recent years, great progress has been made in the discovery of new herbicides, among which some pyrazole-containing herbicides have been discovered (Fig. 17) [111-114]. Although the commercialization of some new herbicides has greatly alleviated the harm caused by resistant weeds, the continued global growth of multi-resistant weed populations poses a significant challenge for the efficient management of resistant weeds [115]. Therefore, the development of efficient, novel and environmentally friendly herbicides has a very important role in delaying the growth of weed resistance [116].
Figure 17
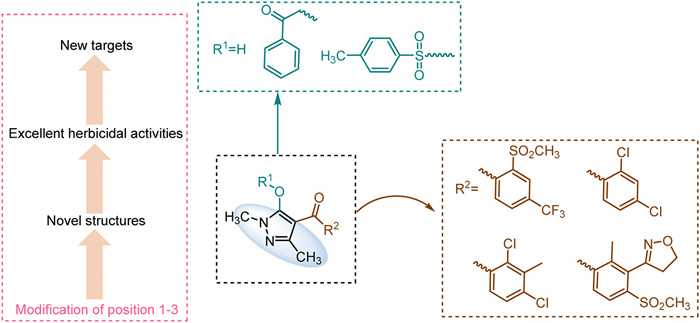
The analysis of active fragments and structural modifications of pyrazole containing herbicides are shown in Fig. 18. Methyl or ethyl groups were introduced at the 1- and 3-positions of the pyrazole ring. It is noteworthy that the introduction of methyl at the 1- and 3-positions of the pyrazole ring is the key to the herbicidal activity of this class of compounds and is the core structure of the scaffold. At the same time, the introduction of a phenyl ketone structure at the 4-position of the pyrazole ring is also a core fragment of the scaffold, as found in known commercial herbicides. In addition, the introduction of hydroxyl, ester, and acetophene-ether segments in the 5-position of the pyrazole ring improves the herbicide activity. Therefore, the diversification of modifications in the 4-position and 5-position of the pyrazole ring is expected to identify new herbicides in the future.
Figure 18
Some pyrazoles have excellent herbicidal activity (Fig. 19), for example, compound 70 showed excellent herbicidal activity (100%) against Chenopodium serotinum (C.serotinum), Stellaria media (S.media) and Brassica juncea (B.juncea) at 37.5 g ai/ha [117]. In this scaffold structure, the introduction of long flexible chains can increase the herbicidal activity of the compounds. Meanwhile, the introduction of ether fragments on the pyrazole ring is more beneficial to the herbicidal activity of the compounds than the introduction of ester groups. The herbicidal activity of the compounds was significantly reduced after the aryl ketone was replaced with a triazole ether fragment, for example, the herbicidal activity of compounds 71 and 72 against lettuce and bentgrass was 80% [118]. These results indicate that the pyrazole-aryl ketone structure is the core fragment for the herbicidal activity of the compound. In addition, the introduction of a methyl group at the 1-position of the pyrazole is also essential for the herbicidal activity of the compound. Some pyrazoles showed herbicidal activities by inhibiting the activities of HPPD and PPO target enzyme causing bleaching death of weeds. For example, compounds 73–75 are shown in Table 4 [119-122]. Perhaps this can be a good inspiration for researchers to design and synthesize pyrazole derivatives to explore the mechanism of herbicidal activity. Among them, representative compound 72 was prepared by cyclization, hydrazinolysis, cyclization, and substitution using ethyl 3-oxobutanoate and ethyl formate as raw materials (Fig. 20).
Figure 19
Table 4
Comp. Weeds Enzyme Inhibitor activity Concentration (g ai/ha) Herbicidal activity (%) SAR/mechanism Ref. 73 C.album HPPD 84 nmol/L 150 100 Forms bidentate chelation with metal ions to form π-π stacking, with excellent safety against cotton, peanuts and corn [119] 74 A.theophrasti HPPD 50 nmol/L 150 90 Forms hydrophobic π-π interactions with HPPD [120] 75 G.aparine PPO 0.039 mg/L 150 96 Forms hydrogen bonding interactions with amino acid residues ARG-98 [121] 76 Barnyard grass 150 > 89 The introduction of different substituents on phenyl significantly affected the herbicidal activity (electron-withdrawing group > neutral group > electron-donating group) [122] HPPD: Hydroxyphenylpyruvate dioxygenase. PPO: Protoporphyrinogen oxidase. Chenopodium album (C.album), Abutilon theophrasti (A.theophrasti), Galium aparine (G.aparine). Figure 20
2.6 Nematicidal activity
Plant pathogenic nematodes have the characteristics of fast transmission, wide distribution, infectivity and adaptability, and cause economic losses of up to $157 billion in global agriculture every year [123-126]. At present, the use of nematicides is still one of the effective methods of nematode disease management. Therefore, the development of high efficiency and low toxicity nematicides is an urgent problem in nematode disease management. Although pyrazoles are rarely reported in nematicidal discovery, some pyrazoles have excellent nematicidal activity. For example, the nematode killing activity of compound 77 (Fig. 21) against Meloidogyne incognita (M. incognita) was 100% at 25 mg/L. When the test concentration was reduced to 5 mg/L, compound 77 still had good nematicidal activity (66.7%) [127]. Keeping the pyridine-pyrazole-amide fragment unchanged, compound 78 showed excellent in vivo activity (92.4%) against M. incognita at 10 mg/L after introduction of triazole. The pyridine-pyrazole-amide fragment is beneficial to the nematicidal activity of the compound. Meanwhile, in this scaffold, the introduction of electron donating group on the benzene ring is a key factor for the compounds to maintain high nematicidal activity [128]. It is possible that the introduction of electron donor groups influences the affinity and selectivity of pyrazole derivatives in their binding to targets within nematodes. Furthermore, the mechanism of action can be further investigated through physiological and biochemical experiments involving pyrazole derivatives, focusing on aspects such as egg incubation, protein content in vivo, oxidative stress and other physiological and biochemical experiments to further explore its action mechanism, to discover excellent nematicides pyrazole derivatives.
Figure 21
The novel chiral pyrazole carboxamide compounds have excellent nematicidal activity, which inhibiting the activity of acetylcholinase (AChE), leading to neurotoxicity of nematodes, and thus exhibiting nematicidal activity. For example, compound 79 had 100% in vivo nematicidal activity against M. incognita at 40 mg/L 129. In addition, the in vivo inhibitory activity of compounds 80 and 81 on M. incognita was 100% at 40 mg/L, and when the test concentration was reduced to 5 and 1 mg/L, compounds 80 and 81 still had good inhibitory effect (50%) [129]. The nematicidal activity of the compounds did not change significantly after the trifluoromethyl at the 3-position of pyrazole was replaced by methyl. For example, compounds 82–84 have in vivo inhibitory activity against M. incognita greater than 90% at 40 mg/L [130]. Interestingly, the introduction of the natural active fragment chromone improved the nematicidal activity of the compounds, for example, compounds 85 and 86 both showed 100% in vivo inhibition of M. incognita at 10 mg/L. In addition, the introduction of a trifluoromethyl group at the 3-position of the pyrazole ring favors the nematicidal activity of the compounds [131]. The typical synthesis method of new chiral pyrazole carboxamide compounds is shown in Fig. 22. Chlorantraniliprole is the lead compound of compound 79, which is prepared by cyclization, hydrolysis, acyl chlorination and substitution reaction. Compound 84 was prepared by substitution, cyclization, hydrolysis and substitution with penflupen as the lead compound through structural optimization.
Figure 22
3. Conclusions and outlook
In recent years, the discovery of new pesticides containing pyrazole structure has made remarkable achievements, such as fungicides, insecticides, and herbicides, which also proves that pyrazole derivatives have a broad spectrum of biological activities, and the pyrazole ring with four modified sites is an active group. Novel pyrazole derivatives are promising and valuable in the discovery of agrochemicals, and more pyrazole pesticides will be commercialized in the future. Currently, pyrazoles have been reported to have fungicidal, insecticidal, and herbicidal activities, especially fungicidal activities. Some pyrazole derivatives cause pest death by blocking γ-aminobutyric acid (GABA)-gated chloride channels and glutamate-gated chloride channels (GluCl). Some pyrazole derivatives as SDH inhibitors by inhibiting SDH activity, thereby causing fungal death. Moreover, some pyrazole herbicides cause weeds to bleach and die by inhibiting HPPD or PPO activities. While fewer studies have been reported on antibacterial, antiviral, and nematicidal activities. Perhaps pyrazoles will gain more attention and research in the discovery of antibacterial agents, anti-plant virus agents, and nematicides in the future. In addition, the mechanism of action and further structural modification of the reported pyrazoles are still worthy of further investigation. We reviewed the progress and applications of pyrazoles in the discovery of fungicides, antibacterial agents, insecticides, herbicides, antiviral agents, Besides, we also discussed the SAR and mechanisms of action of the active compounds, aiming to provide new clues and insights for the search of new pyrazoles with high efficiency, low toxicity, and unique mechanisms of action.
Declaration of competing interest
The authors declare that they have no known competing financial interests or personal relationships that could have appeared to influence the work reported in this paper.
CRediT authorship contribution statement
Tingting Du: Writing – original draft, Data curation. Siyu Lu: Investigation, Data curation. Zongnan Zhu: Formal analysis. Mei Zhu: Data curation. Yan Zhang: Investigation, Formal analysis. Jian Zhang: Writing – review & editing. Jixiang Chen: Writing – review & editing, Project administration, Funding acquisition, Conceptualization.
Acknowledgment
The authors are grateful to the National Key R & D Program of China (No. 2023YFD1400400) for supporting the project.
-
-
[1]
E.Y. Jiang, O. Sukhbaatar, M.Z. Zhang, et al., Adv. Agrochem. 3 (2024) 111–114. doi: 10.1016/j.aac.2024.01.006
-
[2]
C. Agrimonti, M. Lauro, G. Visioli, et al., Crit. Rev. Food Sci. Nutr. 61 (2021) 971–981. doi: 10.1080/10408398.2020.1749555
-
[3]
M. Tudi, H.D. Ruan, L. Wang, et al., Int. J. Environ. Res. Public Health. 18 (2021) 1112. doi: 10.3390/ijerph18031112
-
[4]
S. Yang, J.H. Tang, H.X. Peng, et al., Pest Manag. Sci. 79 (2023) 5260–5269. doi: 10.1002/ps.7734
-
[5]
S.S. Gangurde, A. Xavier, Y.D. Naik, et al., Front. Plant Sci. 13 (2022) 1064059. doi: 10.3389/fpls.2022.1064059
-
[6]
S.K. Sharma, A.S.R. Paniraj, Y.B. Tambe, J. Agric. Food Chem. 69 (2021) 14761–14780. doi: 10.1021/acs.jafc.1c05553
-
[7]
S.L. Wang, Y.J. Shi, H.B. He, et al., Chin. Chem. Lett. 26 (2015) 672–674. doi: 10.1016/j.cclet.2015.04.017
-
[8]
R.M. Zaki, Y.A. El-Ossaily, A.A. Geies, J. Heterocycl. Chem. 57 (2020) 653–662. doi: 10.1002/jhet.3805
-
[9]
Z.Z. Yan, A.P. Liu, M.Z. Huang, et al., Eur. J. Med. Chem. 149 (2018) 170–181. doi: 10.1016/j.ejmech.2018.02.036
-
[10]
J. Sowdari, Y. Gudi, S.V. Donthamsetty, et al., J. Heterocycl. Chem. 56 (2019) 2080–2089. doi: 10.1002/jhet.3569
-
[11]
J.X. Yang, D.W. Xie, C.Z. Zhang, et al., Arab. J. Chem. 15 (2022) 103987. doi: 10.1016/j.arabjc.2022.103987
-
[12]
A.K. Pathak, S. Gupta, P.B. Punjabi, et al., J. Heterocycl. Chem. 56 (2019) 2056–2062. doi: 10.1002/jhet.3587
-
[13]
L.G. Yu, T.F. Ni, W. Gao, et al., Eur. J. Med. Chem. 90 (2015) 10–20. doi: 10.1016/j.ejmech.2014.11.015
-
[14]
L. Ruiu, Agronomy-Basel. 10 (2020) 861. doi: 10.3390/agronomy10060861
-
[15]
C.B. Sangani, J.A. Makwana, Y.T. Duan, et al., Res. Chem. Intermed. 41 (2015) 10137–10149. doi: 10.1007/s11164-015-2018-1
-
[16]
Y. Chen, Z.W. Lei, Y. Zhang, et al., Molecules 22 (2017) 1058. doi: 10.3390/molecules22071058
-
[17]
Z.B. Wu, X. Zhou, Y.Q. Ye, et al., Chin. Chem. Lett. 28 (2017) 121–125. doi: 10.3390/app7020121
-
[18]
W.M. Zhang, C.W. Holyoke, T.F. Pahutski, et al., Bioorg. Med. Chem. Lett. 27 (2017) 16–20. doi: 10.1016/j.bmcl.2016.11.042
-
[19]
R.G. Yang, T. Xu, J.P. Fan, et al., Ind. Crop. Prod. 117 (2018) 50–57. doi: 10.1016/j.indcrop.2018.02.088
-
[20]
C.C. Fei, Y.F. Chen, Z.Y. Jiang, et al., Bioorg. Med. Chem. Lett. 28 (2018) 1792–1796. doi: 10.1016/j.bmcl.2018.04.022
-
[21]
R.G. Yang, M. Lv, H. Xu, J. Agric. Food Chem. 66 (2018) 11254–11264. doi: 10.1021/acs.jafc.8b03690
-
[22]
L. Bai, C.L. Wei, Z.J. Shen, et al., J. Agric. Food Chem. 71 (2023) 7239–7249. doi: 10.1021/acs.jafc.3c01005
-
[23]
G.Y. Yang, J.M. Dai, Q.L. Mi, et al., Phytochemistry 198 (2022) 113137. doi: 10.1016/j.phytochem.2022.113137
-
[24]
S.A. Abdel-Mohsen, T.I. El-Emary, H.S. El-Kashef, Chem. Pharm. Bull. 64 (2016) 476–482. doi: 10.1248/cpb.c16-00044
-
[25]
F. Cheng, D.Q. Shi, J. Heterocycl. Chem. 49 (2012) 732–736. doi: 10.1002/jhet.790
-
[26]
H.J. Ma, J.H. Zhang, X.D. Xia, et al., Pest Manag. Sci. 70 (2014) 946–952. doi: 10.1002/ps.3633
-
[27]
J. Kang, X.L. Yue, C.S. Chen, et al., Molecules 21 (2016) 39. doi: 10.13064/KSSS.2016.8.4.039
-
[28]
X.H. Song, N. Ma, J.G. Wang, et al., J. Heterocycl. Chem. 50 (2013) E67–E72.
-
[29]
X.Q. Li, C. Bao, D.B. Yang, et al., Environ. Toxicol. Chem. 29 (2010) 127–132. doi: 10.1002/etc.17
-
[30]
P.G.P. Martin, V. Dupouy, J. Leghait, et al., Toxicol. Appl. Pharmacol. 389 (2020) 114873. doi: 10.1016/j.taap.2019.114873
-
[31]
X.Y. Zeng, Y.R. Huang, J. Dong, et al., Adv. Agrochem. 1 (2022) 73–84. doi: 10.1016/j.aac.2022.08.001
-
[32]
K. Ueda, T. Nagai, J. Pestic. Sci. 46 (2021) 267–273. doi: 10.1584/jpestics.d21-018
-
[33]
F.S. Dong, X. Chen, J. Xu, et al., Chirality 25 (2013) 904–909. doi: 10.1002/chir.22232
-
[34]
F.S. Dong, X. Chen, X.G. Liu, et al., J. Chromatogr. A 1262 (2012) 98–106. doi: 10.1016/j.chroma.2012.08.100
-
[35]
S. Fustero, M. Sanchez-Rosello, P. Barrio, et al., Chem. Rev. 111 (2011) 6984–7034. doi: 10.1021/cr2000459
-
[36]
A. Mohammad-Razdari, D. Rousseau, A. Bakhshipour, et al., Biosens. Bioelectron. 201 (2022) 113953. doi: 10.1016/j.bios.2021.113953
-
[37]
L. Li, X.M. Zhu, Y.R. Zhang, et al., Int. J. Mol. Sci. 23 (2022) 4658. doi: 10.3390/ijms23094658
-
[38]
Y. Jiang, C.H. Zhu, Z.H. Xia, et al., Adv. Agrochem. 3 (2024) 222–228. doi: 10.1016/j.aac.2023.11.003
-
[39]
H. Sang, J.I. Kim, Plant Biotechnol. Rep. 14 (2020) 1–8. doi: 10.1007/s11816-019-00588-3
-
[40]
D.Y. Yang, B. Zhao, Z.J. Fan, et al., J. Agric. Food Chem. 67 (2019) 13185–13194. doi: 10.1021/acs.jafc.9b05751
-
[41]
P. Desbordes, B. Essigmann, S. Gary, et al., Pest Manag. Sci. 76 (2020) 3340–3347. doi: 10.1002/ps.5951
-
[42]
S.Q. Li, X.S. Li, H.M. Zhang, et al., Bioorg. Med. Chem. 50 (2021) 116476.
-
[43]
J.W. Wang, T. Lu, T.T. Xiao, et al., Pest Manag. Sci. 79 (2023) 3425–3438. doi: 10.1002/ps.7332
-
[44]
H. Li, Y.X. Wang, X.L. Zhu, et al., J. Agric. Food Chem. 69 (2021) 13227–13234. doi: 10.1021/acs.jafc.1c04536
-
[45]
Y.B. Bai, Y.Q. Gao, X.D. Nie, et al., J. Agric. Food Chem. 67 (2019) 6125–6132. doi: 10.1021/acs.jafc.9b00606
-
[46]
Z.S. Hao, B. Yu, W. Gao, et al., Mol. Divers. 26 (2022) 205–214. doi: 10.1007/s11030-020-10177-0
-
[47]
X.B. Wang, A. Wang, L.L. Qu, et al., J. Agric. Food Chem. 68 (2020) 14426–14437. doi: 10.1021/acs.jafc.0c03736
-
[48]
W. Wang, J.H. Wang, F.R. Wu, et al., J. Agric. Food Chem. 69 (2021) 5746–5754. doi: 10.1021/acs.jafc.0c08094
-
[49]
E.Y. Hou, M.Y. Han, X.G. Wang, et al., Chem. Biodivers. 19 (2022) e2100779.
-
[50]
C.Z. Zhang, J.X. Yang, C.L. Zhao, et al., J. Agric. Food Chem. 71 (2023) 1862–1872. doi: 10.1021/acs.jafc.2c06962
-
[51]
P.F. Zhang, A.Y. Guan, X.L. Xia, et al., J. Agric. Food Chem. 67 (2019) 11893–11900. doi: 10.1021/acs.jafc.9b05185
-
[52]
S. Zhang, S.Q. Meng, Y. Xie, et al., Molecules 24 (2019) 2607. doi: 10.3390/molecules24142607
-
[53]
D.G. Xia, X. Cheng, X.H. Liu, et al., J. Agric. Food Chem. 69 (2021) 8358–8365. doi: 10.1021/acs.jafc.1c01189
-
[54]
L. Qiao, Z.W. Zhai, P.P. Cai, et al., J. Heterocycl. Chem. 56 (2019) 2536–2541. doi: 10.1002/jhet.3648
-
[55]
X.H. Liu, L. Qiao, Z.W. Zhai, et al., Pest Manag. Sci. 75 (2019) 2892–2900. doi: 10.1002/ps.5463
-
[56]
Y.H. Huang, G. Wei, Z. Liu, et al., J. Agric. Food Chem. 70 (2022) 14480–14487. doi: 10.1021/acs.jafc.2c04770
-
[57]
Z.W. Lei, J.M. Yao, H.F. Liu, et al., Curr. Issues Mol. Biol. 44 (2022) 5605–5621. doi: 10.3390/cimb44110380
-
[58]
C.T. Dong, W. Gao, X.T. Li, et al., Mol. Divers. 25 (2021) 2379–2388. doi: 10.1007/s11030-020-10127-w
-
[59]
J. Jiao, M. Chen, S.X. Sun, et al., Chin. J. Chem. 39 (2021) 323–329. doi: 10.1002/cjoc.202000438
-
[60]
X.B. Wang, M.Q. Wang, L. Han, et al., J. Agric. Food Chem. 69 (2021) 9557–9570. doi: 10.1021/acs.jafc.1c03399
-
[61]
S.S. Sun, L. Chen, J.Q. Huo, et al., J. Agric. Food Chem. 70 (2022) 3447–3457. doi: 10.1021/acs.jafc.2c00092
-
[62]
A. Titi, R. Touzani, A. Moliterni, et al., J. Mol. Struct. 1264 (2022) 133156. doi: 10.1016/j.molstruc.2022.133156
-
[63]
Z.H. Yang, Q.S. Liu, Y. Sun, et al., Chin. J. Struct. Chem. 41 (2022) 2203253.
-
[64]
W.J. Jiang, T.T. Zhang, J.W. Wang, et al., J. Agric. Food Chem. 71 (2023) 729–738. doi: 10.1021/acs.jafc.2c05054
-
[65]
B. Luo, Y.C. Zhao, J. Zhang, et al., J. Agric. Food Chem. 71 (2023) 9255–9265. doi: 10.1021/acs.jafc.3c00116
-
[66]
Y.T. Li, H. Yang, Y.D. Ma, et al., J. Agric. Food Chem. 71 (2023) 17700–17712. doi: 10.1021/acs.jafc.3c04869
-
[67]
B. Luo, W. Zhou, X.A. Zhang, et al., J. Mol. Struct. 1292 (2023) 136202.
-
[68]
C. Yi, J. Chen, D. Hu, et al., Pestic. Biochem. Physiol. 169 (2020) 104645.
-
[69]
J. Peng, Y. Zhang, X. Liu, et al., Pestic. Biochem. Phyiol, 193 (2023) 105457.
-
[70]
J. Xiang, D. Liu, J. Chen, et al., Pestic. Biochem. Phyiol, 170 (2020) 104695.
-
[71]
Y.T. Zheng, T.T. Zhang, P.Y. Wang, et al., Chin. Chem. Lett. 28 (2017) 253–256.
-
[72]
X. Wang, X.Y. Wang, B.H. Zhou, et al., J. Heterocycl. Chem. 58 (2021) 2109–2116. doi: 10.1002/jhet.4334
-
[73]
F. Liu, X. Cao, T. Zhang, et al., Int. J. Mol. Sci. 24 (2023) 10442. doi: 10.3390/ijms241310442
-
[74]
L. Zhou, P.Y. Wang, J. Zhou, et al., J. Saudi Chem. Soc. 21 (2017) 852–860. doi: 10.1016/j.jscs.2017.04.005
-
[75]
S. Savary, A. Ficke, J.N. Aubertot, et al., Food Secur. 4 (2012) 519–537. doi: 10.1007/s12571-012-0200-5
-
[76]
M.P. Zalucki, A. Shabbir, R. Silva, et al., J. Econ. Entomol. 105 (2012) 1115–1129.
-
[77]
P. Kljajic, G. Andric, M.P. Golic, J. Stored Prod. Res. 103 (2023) 102156.
-
[78]
A. Khan, G. Ahmad, M. Haris, et al., Gesunde Pflanz. 75 (2023) 193–209. doi: 10.1007/s10343-022-00679-2
-
[79]
P. Zhang, C.B. Duan, B. Jin, et al., Adv. Agrochem. 2 (2023) 324–339.
-
[80]
S.D. Buckingham, M. Ihara, D.B. Sattelle, et al., Curr. Med. Chem. 24 (2017) 2935–2945.
-
[81]
Y.Y. Zhou, W. Wei, L.L. Zhu, et al., Chin. J. Chem. 37 (2019) 605–610. doi: 10.1002/cjoc.201900073
-
[82]
Q.Q. Zhao, R.F. Sun, Y.X. Liu, et al., Bioorg. Med. Chem. 27 (2019) 115092.
-
[83]
B.L. Wang, H.X. Wang, H. Liu, et al., Chin. Chem. Lett. 31 (2020) 739–745.
-
[84]
Y.Y. Zhao, H.G. Li, P.W. Sun, et al., Bioorg. Med. Chem. Lett. 30 (2020) 127535.
-
[85]
S. Yang, H.X. Peng, J.Y. Zhu, et al., J. Heterocycl. Chem. 59 (2022) 1366–1375. doi: 10.1002/jhet.4476
-
[86]
L.K. Zhong, X.P. Sun, L. Han, et al., J. Agric. Food Chem. 71 (2023) 14458–14470. doi: 10.1021/acs.jafc.3c01608
-
[87]
H.Q. He, X.J. Qin, F.Y. Dong, et al., Sci Rep. 10 (2020) 17999.
-
[88]
X.A. Cheng, F.Y. Dong, J.J. Li, et al., Pestic. Biochem. Physiol. 194 (2023) 105489.
-
[89]
Q.B. Li, M. Liao, Q. Liu, et al., Molecules 24 (2019) 562.
-
[90]
Y.Y. Zhao, L. Gao, H.G. Li, et al., J. Agric. Food Chem. 68 (2020) 11282–11289. doi: 10.1021/acs.jafc.9b08090
-
[91]
S. Yang, K.J. Xu, Q.Q. Lai, et al., J. Heterocycl. Chem. 57 (2020) 4304–4311. doi: 10.1002/jhet.4136
-
[92]
P.W. Sun, Z. Zhang, L.S. Li, et al., J. Heterocycl. Chem. 59 (2022) 820–831. doi: 10.1002/jhet.4422
-
[93]
G.K. Yao, M.F. Wang, B.J. Li, et al., Pest Manag. Sci. 79 (2023) 1164–1174. doi: 10.1002/ps.7287
-
[94]
S. Yang, H.X. Peng, J.H. Tang, et al., Agronomy-Basel. 12 (2022) 2472. doi: 10.3390/agronomy12102472
-
[95]
J.Z. Ren, X. Ji, W. Gao, et al., J. Agric. Food Chem. 71 (2023) 4258–4271. doi: 10.1021/acs.jafc.2c08719
-
[96]
S. Yang, B.J. Li, J.H. Tang, et al., Pestic. Biochem. Physiol. 195 (2023) 105533.
-
[97]
Z.W. Wang, P. Wei, X.Z. Xu, et al., J. Agric. Food Chem. 60 (2012) 8544–8551. doi: 10.1021/jf302746m
-
[98]
J.X. Chen, Y. Wang, X. Luo, et al., Pestic. Biochem. Physiol. 184 (2022) 105122.
-
[99]
M. Rabie, C. Ratti, M. Calassanzio, et al., Eur. J. Plant Pathol. 149 (2017) 219–225. doi: 10.1007/s10658-017-1164-2
-
[100]
E. Monreal-Escalante, B. Banuelos-Hernandez, M. Hernandez, et al., Mol. Biotechnol. 57 (2015) 635–643. doi: 10.1007/s12033-015-9853-6
-
[101]
W.B. Shao, Y.M. Liao, R.S. Luo, et al., Pest Manag. Sci. 79 (2023) 4231–4243.
-
[102]
Z.B. Wu, W.Q. Yang, S.T. Hou, et al., Pestic. Biochem. Physiol. 173 (2021) 104771.
-
[103]
Z.B. Yang, P. Li, X.H. Gan, Molecules 23 (2018) 1798. doi: 10.3390/molecules23071798
-
[104]
G.Q. Yang, H.L. Zheng, W.B. Shao, et al., Pestic. Biochem. Physiol. 171 (2021) 104740.
-
[105]
X.Y. Li, S. Liu, Q.J. Wang, et al., Plant Signal. Behav. 14 (2019) e1621089.
-
[106]
Y. Xie, X.H. Ruan, H.Y. Gong, et al., J. Heterocycl. Chem. 54 (2017) 2644–2649. doi: 10.1002/jhet.2862
-
[107]
J.J. Xiao, M. Liao, M.J. Chu, et al., Molecules 20 (2015) 807–821. doi: 10.3390/molecules20010807
-
[108]
X.H. Lv, Z.L. Ren, D.D. Li, et al., Chin. Chem. Lett. 28 (2017) 377–382.
-
[109]
Y.Y. Wang, F.Z. Xu, Y.Y. Zhu, et al., Bioorg. Med. Chem. Lett. 28 (2018) 2979–2984.
-
[110]
D. Hu, N. Zhang, Q. Zhou, et al., Fitoterapia 166 (2023) 105458.
-
[111]
S.S. Ramanathan, T.W. Gannon, W.J. Everman, et al., Agron. J. 114 (2022) 1068–1079. doi: 10.1002/agj2.21041
-
[112]
S.E. McComic, S.O. Duke, E.R. Burgess, et al., Pestic. Biochem. Physiol. 194 (2023) 105532.
-
[113]
N.G. Genna, J.A. Gourlie, J. Barroso, Plants-Basel. 10 (2021) 2725. doi: 10.3390/plants10122725
-
[114]
M. Tsukamoto, H. Kikugawa, S. Nagayama, et al., J. Pestic. Sci. 46 (2021) 152–159. doi: 10.1584/jpestics.d20-031
-
[115]
J. Gherekhloo, S. Hassanpour-bourkheili, P. Hejazirad, et al., Plants-Basel. 10 (2021) 2248. doi: 10.3390/plants10112248
-
[116]
S.E. Ramos, M. Bakhtiari, M. Castaneda-Zarate, et al., J. Syst. Evol. 61 (2023) 550–560. doi: 10.1111/jse.12851
-
[117]
Q. Fu, P.P. Cai, L. Cheng, et al., Pest Manag. Sci. 76 (2020) 868–879. doi: 10.1002/ps.5591
-
[118]
J.X. Mu, Z.W. Zhai, C.X. Tan, et al., J. Heterocycl. Chem. 56 (2019) 968–971. doi: 10.1002/jhet.3476
-
[119]
B. He, F.X. Wu, L.K. Yu, et al., J. Agric. Food Chem. 68 (2020) 5059–5067. doi: 10.1021/acs.jafc.0c00051
-
[120]
H.A. Zeng, W. Zhang, Z.X. Wang, et al., J. Agric. Food Chem. 71 (2023) 3950–3959. doi: 10.1021/acs.jafc.2c07551
-
[121]
L.X. Zhao, K.Y. Chen, X.L. He, et al., J. Agric. Food Chem. 71 (2023) 14164–14178. doi: 10.1021/acs.jafc.3c03108
-
[122]
D.F. Luo, H.D. Bai, X.M. Zhou, Front. Chem. 9 (2021) 647472.
-
[123]
J.X. Chen, Q.X. Li, B.A. Song, J. Agric. Food Chem. 68 (2020) 12175–12188. doi: 10.1021/acs.jafc.0c02871
-
[124]
S. Wang, T. Du, H. Song, et al., Physiol. Mol. Plant P. 134 (2024) 102433.
-
[125]
Y. Wang, H.Y. Song, S. Wang, et al., Pestic. Biochem. Physiol. 189 (2023) 105310.
-
[126]
C.Q. Wei; J.J. Huang, Y.Q. Luo, et al., Pestic. Biochem. Physiol. 175 (2021) 104857.
-
[127]
J.L. Li, Z.C. Zhang, X.Y. Xu, et al., Aust. J. Chem. 68 (2015) 1543–1549.
-
[128]
X.L. Chen, Y.X. Xiao, G.L. Wang, et al., Res. Chem. Intermed. 42 (2016) 5495–5508. doi: 10.1007/s11164-015-2381-y
-
[129]
X.H. Liu, W. Zhao, Z.H. Shen, et al., Eur. J. Med. Chem. 125 (2017) 881–889.
-
[130]
L. Cheng, Z.H. Shen, T.M. Xu, et al., J. Heterocycl. Chem. 55 (2018) 946–950. doi: 10.1002/jhet.3123
-
[131]
W. Li, J.H. Li, H.F. Shen, et al., Chin. Chem. Lett. 29 (2018) 911–914.
-
[1]
-
Table 1. Some representative pyrazole compounds with antifungal activity.
Comp. Fungi Concentration Antifungal activity SAR/mechanism Ref. 1 CDM 1.22 a The substitution of an electron-withdrawing group, such as -CF3, at the 4-position of the benzene ring enhances the fungicidal activity of the compound [51] 2 B.cinerea 200 mg/L 78% Compounds with benzene ring substituted thiazole or pyrazole active groups have higher fungicidal activity [52] 3 V. mali 0.32 a It leads to hyphal contraction, damage of hyphal cell wall and inhibition of SDH activity [53] 5 B.cinerea 50 mg/L 80% Strong interaction with SDH via hydrogen and π-nor ionic bonds [54] 9 S.sclerotiorum 2.04 a The chiral carbon on the flexible chain is beneficial to the fungicidal activity of the compound [55] 10 WPM 0.63 a The fluorine atom at the 5-position of pyrazole ring increased the fungicidal activity of the compound and its interaction with SDH [56] 11 R.solani 9.06 a The position and number of chlorine atoms significantly affected the fungicidal activity of the compounds. Significantly affects mycelial morphology [57] 12 A.solani 10 mg/L 100% The interaction with SDH has strong affinity [58] 13 F.graminearum 0.56 a The introduction of hydrogen bond receptors at the 1-position of the pyrazole ring is beneficial to the fungicidal activity of the compound [59] 14 F.graminearum 0.47 a It has excellent interaction with SDH protein [59] 16 R.solani 0.27 a The introduction of hydrophobic groups favors the fungicidal activity of the compounds [60] 18 B.cinerea 100 mg/L 89% Inhibits fungal growth by affecting mycelial morphology [61] 19 FOA 92 b – [62] 20 B.cinerea 200 mg/L 85.3% The introduction of electron-withdrawing groups on the benzene ring, such as chlorine atoms, favors the fungicidal activity of the compound [63] 21 B.cinerea 0.39 a Abnormal mycelial growth, rough and deformed mycelial surface, excellent affinity with SDH [64] 22 R.solani 100 mg/L 86.2% The activity of SDH was significantly inhibited, and the structure and morphology of mycelium surface were destroyed [65] 23 R.solani 100 mg/L 72.2% The activity of SDH was significantly inhibited, and the structure and morphology of mycelium surface were destroyed [65] 25 P.capsici 0.41 a The morphology of mycelium was changed, the cell wall was thickened obviously, mitochondria were completely degraded, and vacuoles were abnormally enlarged [66] 26 R.solani 100 mg/L 73.1% The activity of SDH was significantly inhibited, and the structure and morphology of mycelium surface were destroyed [67] a Median effective concentration (EC50, mg/L).
b Minimum inhibitory concentration (MIC, mg/L). Cucumber downy mildew (CDM), Wheat powdery mildew (WPM), Alternaria solani (A.solani), Fusarium Oxysporum Albedinis (FOA), Phytophthora capsici (P.capsici).Table 2. Some representative pyrazole compounds with insecticidal activity.
Comp. Pest Concentration Insecticidal activity SAR/mechanism Ref. 38 A.craccivora 20 mg/L 88.3% The introduction of saturated alkyl groups facilitates the insecticidal activity of the compounds [89] 39 P.xylostella 100 mg/L 100% – [89] 46 P.xylostella 10−5 mg/L 94% The fluorine-substituted phenyl-pyrazole derivatives had better insecticidal activity against P.xylostella [90] 48 P.xylostella 22.11a The introduction of phenyl ring para-CF3 was beneficial to the improvement of insecticidal activity of the compound [91] 49 P.xylostella 0.1 mg/L 60% Pyrazole 3-position methylene may be key to the insecticidal activity of compounds [92] 50 P.xylostella 1.43a – [93] 51 P.xylostella 5.32a The introduction of amide structure containing electron-absorbing groups to the benzene ring is beneficial to the improvement of insecticidal activity of the compound [94] S.exigua 6.75a S.frugiperda 7.64a 54 M. separate 0.21a Strong interaction with the RyRs receptors of P.xylostella [95] P.xylostella 0.0015a S.frugiperda 0.0266a 55 P.xylostella 1.49a – [96] 56 P.xylostella 0.97a Effective antagonist of GABAR [96] a Lethal medium concentration (LC50, mg/L). Aphis craccivora (A.craccivora), Spodoptera exigua (S.exigua), Spodoptera frugiperda (S.frugiperda). Table 3. Some representative pyrazole compounds with antiviral activity.
Comp. Plant viruses Concentration Antiviral activity (%) SAR/mechanism Ref. 60 TMV 500 g/mL 59.5a – [106] 61 TMV 500 mg/mL 81.5a The introduction of fluorine atoms improves the resistance to TMV [107] 62 TMV 500 mg/mL 72.4b The compounds were able to stabilize the insertion of the nucleotide sequence of OriRNA (GAAGUU), suggesting that the nucleotide may be a potential target for the compounds [108] 63 TMV 500 mg/L 92.1b Interaction with TMV coat protein and enhancement of anti-TMV activity after introduction of 5-methylthiophene-2-yl group [109] 64 TMV 500 mg/L 94.6b Interacts with TMV coat protein [109] 68 TMV 500 mg/L 76.6a The addition of electron-donating groups increased the curative and protective activity of the compound against TMV [110] 79.1c a Curative activity.
b Inactivation activity.
c Protective activity.Table 4. Some representative pyrazole compounds with herbicidal activity.
Comp. Weeds Enzyme Inhibitor activity Concentration (g ai/ha) Herbicidal activity (%) SAR/mechanism Ref. 73 C.album HPPD 84 nmol/L 150 100 Forms bidentate chelation with metal ions to form π-π stacking, with excellent safety against cotton, peanuts and corn [119] 74 A.theophrasti HPPD 50 nmol/L 150 90 Forms hydrophobic π-π interactions with HPPD [120] 75 G.aparine PPO 0.039 mg/L 150 96 Forms hydrogen bonding interactions with amino acid residues ARG-98 [121] 76 Barnyard grass 150 > 89 The introduction of different substituents on phenyl significantly affected the herbicidal activity (electron-withdrawing group > neutral group > electron-donating group) [122] HPPD: Hydroxyphenylpyruvate dioxygenase. PPO: Protoporphyrinogen oxidase. Chenopodium album (C.album), Abutilon theophrasti (A.theophrasti), Galium aparine (G.aparine). -
扫一扫看文章
计量
- PDF下载量: 2
- 文章访问数: 2583
- HTML全文浏览量: 69

DownLoad:
下载:
下载: