Dual activation pathways based on OH-functionalized alk-Ti3C2 MXene/RuOx boosting the hydrogen generation

Chongbei Wu Benzhi Wang Xuan Li Jiaxuan Gu Yihan Wu Zhe Zhao Pengfei Jia Jizhou Jiang

Citation:  Chongbei Wu, Benzhi Wang, Xuan Li, Jiaxuan Gu, Yihan Wu, Zhe Zhao, Pengfei Jia, Jizhou Jiang. Dual activation pathways based on OH-functionalized alk-Ti3C2 MXene/RuOx boosting the hydrogen generation[J]. Chinese Chemical Letters, 2025, 36(8): 111162. doi: 10.1016/j.cclet.2025.111162 shu

Dual activation pathways based on OH-functionalized alk-Ti3C2 MXene/RuOx boosting the hydrogen generation

English

  • Hydrogen, recognized as a renewable zero-carbon energy source with a maximum energy density of 142 MJ/kg, is widely regarded as a clean, sustainable, and environmentally friendly energy carrier [13]. Chemical hydrogen storage materials offer a promising solution to overcome the challenges associated with hydrogen storage and transportation [47]. Among these, sodium borohydride (NaBH4) has attracted significant interest due to its high hydrogen content (10.6%), low molecular weight, and excellent chemical stability [8,9]. Through catalytic hydrolysis, 1 mol of NaBH4 can generate 4 mol of hydrogen gas at room temperature (NaBH4 + (2 + x)H2O → NaBO2·xH2O + 4H2) [10,11]. To date, noble metal catalysts, such as Pt, Pd, and Ru, deposited on supports have been extensively studied for this purpose [12]. However, the high cost of noble metals and the insufficient activity of some supports present significant barriers to their large-scale industrial application. Thus, developing cost-effective supported catalysts is crucial for achieving sustainable hydrogen generation [13,14].

    By manipulating the electronic structure of the catalyst, the catalytic hydrolysis model of NaBH4 can be significantly altered [15]. The adsorption process of H2O molecules and BH4 anion on the catalyst surface can be classified into two distinct models (Fig. 1a): The Langmuir-Hinshelwood model, which involves bifunctional sites adsorption and activation, and the Michaelis-Menten model, characterized by single site adsorption activation [16,17]. The bifunctional catalytic process relies on two separate adsorption sites: one for the electron-rich BH4 anion and another for H2O molecules [16,18]. This bifunctional adsorption configuration mitigates the competitive interaction between H2O molecules and BH4 anion, promoting efficient hydrogen generation [19,20]. For example, catalysts featuring bifunctional adsorption sites, such as Ru and CoP active centers, can separately adsorb H2O molecules and BH4 anion, leading to remarkable hydrogen generation rate (HGR) performance (Fig. 1b) [10]. Thus, constructing RuOx-supported catalysts with abundant vacant 4d orbitals facilitates the development of highly efficient charge accumulation centers [2123]. This implies that supported catalysts with a 4d⁷ electronic configuration are ideal candidates for hydrogen generation via bifunctional sites adsorption and activation of H2O molecules and BH4 anion [2426]. MXenes, with its unique morphology and tunable surface functional groups, has been widely studied as a catalyst support [2729]. Recent theoretical studies on functional group-modified MXenes have shown promising applications in hydrogen generation reaction (HGR) catalysis. Handoko et al. demonstrated that higher fluorine (-F) coverage on the basal plane of Ti3C2 reduces its HGR activity [30]. Ran et al. used density functional theory (DFT) calculations to show that oxygen (-O) modification of Ti3C2 results in excellent hydrogen adsorption energy [31]. As a result, oxygen-modified Ti3C2 MXene is considered an ideal electrocatalyst for HGR. Additionally, hydroxyl (-OH) functional groups can be introduced onto the surface of Ti3C2 by etching the Al or Si layers from its precursor using an HF solution. Based on this, DFT calculations were performed on the adsorption Gibbs free energies of H2O molecules and BH4 anion on O-Ti3C2/RuOx, F-Ti3C2/RuOx, and OH-Ti3C2/RuOx. As shown in Fig. 1c, the adsorption energies for H2O molecules and BH4 anion on OH-Ti3C2/RuOx (−3.92 eV, −1.11 eV) are significantly higher than those on O-Ti3C2/RuOx (−3.69 eV, −0.72 eV) and F-Ti3C2/RuOx (−3.78 eV, −0.89 eV). This difference is likely attributed to the high electronegativity and strong coordination ability of the -OH functional group, which can effectively modulate the electronic structure of metals, stabilize Ru nanoparticles, and enhance the activation of H2O molecules [3234]. Therefore, -OH modified Ti3C2 is considered an ideal platform for studying the hydrolysis of NaBH4.

    Figure 1

    Figure 1.  (a) Schematic diagrams of the Langmuir-Hinshelwood model and the Michaelis-Menten model for the adsorption of H2O molecules and BH4 anion on the catalyst surface. (b) Schematic diagram of the adsorption of H2O molecules and BH4 anion induced by -OH functional groups. (c) The adsorption energies of H2O molecules and BH4 anion on O-Ti3C2/RuOx, F-Ti3C2/RuOx, and OH-Ti3C2/RuOx. (d) The electron localization function (ELF) calculations on Ti3C2/RuOx and alk-Ti3C2/RuOx, respectively.

    Hence, we developed a RuOx-loaded functionalized alk-Ti3C2 catalyst for the catalytic hydrolysis of NaBH4 to hydrogen generation. Preliminary theoretical predictions suggest that RuOx, with its 4d7 5s1 electronic configuration, acts as an effective adsorption site for BH4 anion, while the functionalized alk-Ti3C2 modulates its electronic structure to serve as an adsorption site for H2O molecules [35]. The optimized alk-Ti3C2/RuOx catalyst demonstrated an impressive HGR of 9468 mL min−1 gcat.−1 and a low activation energy of 45.9 kJ/mol. Both experimental data and theoretical calculations indicate that this exceptional catalytic performance stems from the strong electronic interaction between the alk-Ti3C2 substrate and RuOx nanoclusters. This interaction facilitates the concurrent adsorption and cleavage of H2O molecules and BH4 anion through a bimolecular activation pathway, thereby significantly enhancing catalytic activity. This study provides critical insights into the design of catalysts based on the bimolecular activation model, laying a strong foundation for future innovations in hydrogen generation catalysts.

    Theoretical predictions and catalyst screening provide a cost-efficient strategy to minimize trial-and-error in experimental procedures [36]. By leveraging the optimized atomic structures of alk-Ti3C2/RuOx and Ti3C2/RuOx, a series of advanced DFT calculations were conducted to assess the impact of -OH functional groups on electron transfer pathways, as well as their influence on the adsorption and activation of H2O molecules and BH4 anion. Theoretically, -OH functional groups act as electron donors, modifying the surface charge distribution of Ti3C2, which subsequently adjusts the d-band center of the catalyst, influencing the binding energy of reactants and intermediates [37]. The electron localization function (ELF) analysis in Fig. 1d shows that introducing -OH functional groups leads to enhanced charge redistribution, resulting in significant charge accumulation on the support [38]. This enhances the bifunctional sites adsorption and capture of reactant molecules [39]. Additionally, planar-averaged charge density calculations were used to investigate electron transfer between the support and RuOx nanoclusters. As depicted in Fig. S1 (Supporting information), in the Ti3C2/RuOx catalyst, electrons transfer from Ti3C2 to RuOx nanoclusters, leading to pronounced electron accumulation on the RuOx nanoclusters. The introduction of -OH functional groups, functioning as electron donors, further increases the energy level difference between the support and RuOx nanoclusters [40]. This causes electron flow from the donor to both Ti3C2 and RuOx nanoclusters until equilibrium is reached, facilitating bidirectional regulation of charge transfer [41]. Moreover, adjusting the electron filling in the molecular orbitals of Ti3C2 can significantly affect the binding energy of H2O molecules adsorption. These findings indicate that -OH functional groups can effectively regulate charge transfer and improve the adsorption capacity of Ti3C2 for H2O molecules and RuOx nanoclusters for BH4 anion, making this approach highly promising for bifunctional sites activation in the NaBH4 hydrolysis catalytic process.

    Building on the aforementioned theoretical predictions, an efficient and versatile -OH functionalization strategy was implemented to synthesize alk-Ti3C2/RuOx catalysts for hydrogen generation through NaBH4 hydrolysis [4244]. The preparation process for the alk-Ti3C2/RuOx catalyst was illustrated in Fig. 2a. Initially, the clean surface of Ti3C2, etched with HF, was utilized as the substrate. Following this, ultrathin nanosheets of alk-Ti3C2 were obtained via NaOH treatment, serving as the support. alk-Ti3C2/RuOx catalysts, with nanoparticle sizes of approximately 1.5 nm, were synthesized through liquid impregnation and freeze-drying techniques. Finally, a series of alk-Ti3C2/RuOx target materials with varying ratios of -OH functional groups and RuOx nanoclusters were prepared.

    Figure 2

    Figure 2.  (a) Schematic diagram of the preparation process for alk-Ti3C2/RuOx and corresponding TEM images of the intermediate products. (b) XRD patterns of Ti3C2, alk-Ti3C2, Ti3C2/RuOx and alk-Ti3C2/RuOx. (c) FTIR spectra of alk-Ti3C2, Ti3C2/RuOx and alk-Ti3C2/RuOx. (d) High-resolution XPS spectra of O 1s in the Ti3C2, alk-Ti3C2 and alk-Ti3C2/RuOx. (e) Statistics of the contents of different species in the O 1s region of the XPS spectra.

    The microstructure and elemental composition of Ti3C2, Ti3C2, Ti3C2/RuOx, and alk-Ti3C2/RuOx were analyzed using scanning electron microscopy (SEM), transmission electron microscopy (TEM), and energy-dispersive X-ray spectroscopy (EDS). As shown in Fig. S2 (Supporting information), the SEM images demonstrated that the introduction of -OH functional groups result in the surface of alk-Ti3C2 exhibiting numerous interlaced "loofah-like" nanostructures, and the larger specific surface area of alk-Ti3C2/RuOx (43.02 m2/g) can enhance its adsorption capacity for reactants (Fig. S3 in Supporting information). Additionally, SEM-EDS analysis was conducted to assess the elemental composition of the catalyst surfaces. As depicted in Fig. S4 (Supporting information), the oxygen content in alk-Ti3C2 increased to 28.4%, compared to 14.0% in Ti3C2. Furthermore, the oxygen content in alk-Ti3C2/RuOx rose to 32.3%, notably higher than the 16.2% observed on the surface of the Ti3C2/RuOx catalyst (Fig. S5 in Supporting information). These results from the SEM-EDS analysis suggest that the increased oxygen content in the catalysts indicates the successful incorporation of -OH functional groups.

    The TEM images of Ti3C2, alk-Ti3C2, Ti3C2/RuOx, and alk-Ti3C2/RuOx were shown in Fig. S6 (Supporting information). It can be observed that the edges of alk-Ti3C2 exhibited interwoven nanosheet structures, facilitating the uniform dispersion of RuOx nanoclusters. Elemental composition analysis was performed using TEM-EDS, as presented in Figs. S7 and S8 (Supporting information). Both alk-Ti3C2 and alk-Ti3C2/RuOx demonstrated a significant increase in surface oxygen content after the introduction of -OH functional groups compared to Ti3C2 and Ti3C2/RuOx, consistent with the SEM results and further confirming the successful incorporation of -OH functional groups.

    The Ru mass fraction in alk-Ti3C2/RuOx was measured to be 4.81% using ICP-AES (Table S1 in Supporting Information), which showed a small discrepancy when compared to the results obtained from TEM-Mapping (6.10%) and SEM-Mapping (5.21%). Additionally, as shown in Figs. S9 and S10 (Supporting information), the crystal structures of Ru and Ti3C2 exhibited lattice fringes of 2.16 Å, 2.06 Å and 2.02 Å, corresponding to the (210) plane of RuO2, the (101) plane of Ru, and the (106) plane of Ti3C2, respectively. This indicated that Ru exists in both the 0 and +4 oxidation states in Ti3C2/RuOx and alk-Ti3C2/RuOx and was therefore collectively referred to as RuOx. These findings were in agreement with the XRD results, which were discussed in the following section.

    The crystal structures of Ti3C2, alk-Ti3C2, Ti3C2/RuOx, and alk-Ti3C2/RuOx were investigated using powder X-ray diffraction (XRD). As shown in Fig. 2b and Fig. S11 (Supporting information), after the alkalization treatment, the (002) peak of Ti3C2 shifted towards a lower angle by 1.7°, indicating that the intercalation of -OH functional groups resulted in an increased spacing between the Ti3C2 layers [45]. Additionally, the new diffraction peak at 2θ = 27.5° represents the insertion of -OH functional groups [46]. The surface modification with -OH functional groups aids in stabilizing Ru ions through electrostatic self-assembly. More importantly, the introduction of -OH functional groups led to charge accumulation on the support, facilitated the adsorption of H2O molecules and formed strong hydrogen bonds, thereby weakening the H—OH bonds. Moreover, Fig. 2b demonstrated the successful synthesis of Ti3C2/RuOx and alk-Ti3C2/RuOx, where all the XRD peaks of the alk-Ti3C2/RuOx sample matched with the standard cards of RuO2 (PDF #87–0726), Ru (PDF #06–0663), and Ti3C2 (PDF #52–0875). Although multiple phases were observed in alk-Ti3C2/RuOx, the XRD spectrum predominantly shows the presence of metallic Ru and RuOx. This observation is consistent with the results from transmission electron microscopy (TEM), confirming the coexistence of Ru and RuO2 in alk-Ti3C2/RuOx. This phenomenon was attributed to the small Ru nanoclusters, which undergo oxidation upon the introduction of OH, resulting in the formation of RuOx.

    Additionally, the introduction of -OH functional groups was further confirmed by FT-IR spectra. As shown in Fig. 2c and Fig. S12 (Supporting information), the peaks at 3400 and 1625 cm−1 were attributed to the vibrations of -OH functional groups. However, after the introduction of RuOx nanoclusters, the characteristic peaks of the functional groups exhibited a decrease in vibration intensity, likely due to the formation of strong interfacial interactions with RuOx nanoclusters. This also confirmed the presence of significant interactions between the RuOx nanoclusters and the support during the reduction process.

    XPS spectra were employed to analyze the chemical states and surface interactions of the Ti3C2/RuOx and alk-Ti3C2/RuOx catalysts. As shown in Fig. S13 (Supporting information), the full XPS survey spectra and the high-resolution Al 2p spectra, indicate that the Al element has been etched by HF and subsequently rinsed with water and ethanol to a pH of 7, effectively removing the HF. As shown in Figs. S14a and c (Supporting information), the high-resolution XPS spectrum of the C 1s region was calibrated using C—C (284.8 eV) as a reference standard [47]. The high-resolution C 1s XPS spectrum of alk-Ti3C2/RuOx (Fig. S14c) shows a peak at 286.3 eV corresponding to C—OH, indicating the incorporation of -OH functional groups in the alk-Ti3C2/RuOx catalyst. The high-resolution XPS spectrum of the C 1s + Ru 3d region in the Ti3C2/RuOx catalyst revealed three strong peaks at 284.8 eV (C—C), 285.9 eV (C—O), and 288.7 eV (C = O). Meanwhile, the binding energies at 280.0 eV, 280.6 eV, and 282.6 eV corresponded to the 3d5/2 of Ru metal and RuO2, respectively (Fig. S14b in Supporting information) [48,49]. Compared to Ti3C2/RuOx, the binding energies of Ru(0) in alk-Ti3C2/RuOx shift negatively from 282.6 eV and 280.0 eV to 282.3 eV and 279.9 eV, respectively (Fig. S14d in Supporting information). This indicated that the doped -OH functional groups have an electron-donating effect, which aids in the formation of electron-rich Ru. The electron-rich Ru nanoparticles can more effectively weaken the B-H bonds during NaBH4 hydrolysis, facilitating the further cleavage of these bonds.

    The O 1s core-level spectra of Ti3C2 and alk-Ti3C2, as shown in Fig. 2d, can be deconvoluted into three main peaks: one at 530.1 eV, corresponding to lattice oxygen in metal oxides; another at 531.8 eV, attributed to -OH adsorption; and an additional peak associated with oxygen in H2O molecules [50]. The results indicated that the -OH content in alk-Ti3C2 and alk-Ti3C2/RuOx were 66%, respectively, which was significantly higher than the 24% observed in Ti3C2 (Fig. 2e). The notable changes in the chemical states of Ti3C2 and -OH reflect strong electronic interactions between them, which were hypothesized to be key factors in enhancing water molecule adsorption and activation [51].

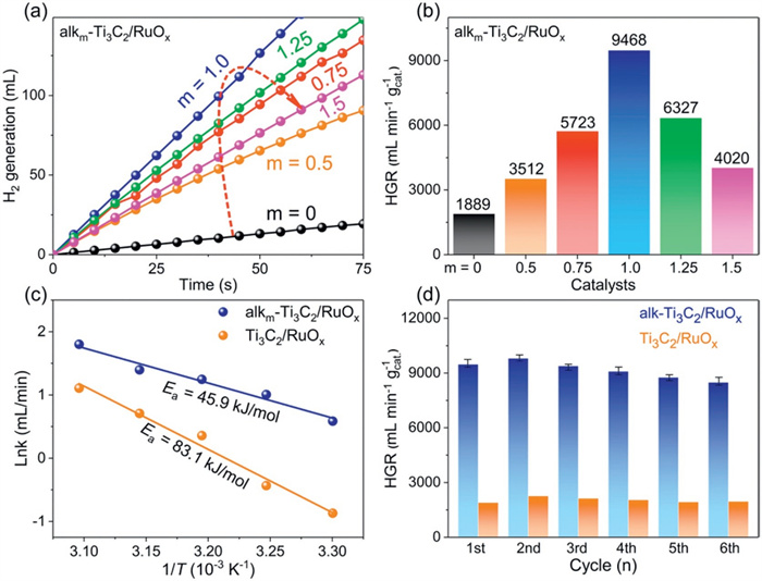
    The catalytic activity was evaluated in an aqueous solution of NaBH4 at 25 ℃, with the volume of H2 measured using a water displacement method [52,53]. First, we investigated the HGR of alk-Ti3C2/RuOx catalysts prepared with different molar ratios of -OH functional groups. As shown in Figs. 3a and b, the HGR exhibited a volcano-shaped curve as the molar ratio of -OH functional groups increase. When the molar ratio of -OH functional groups reached 1, the maximum HGR performance was 9468 mL min−1 gcat.−1. Excessive -OH functional groups may induce the aggregation of active catalytic sites, leading to a decline in performance. Additionally, as shown in Fig. S15 (Supporting information), the Ru loading was studied in detail. With increasing Ru loading, the catalytic activity progressively improved. When the Ru molar ratio increased from 0.1 to 0.2, the 0.1 molar increment resulted in a 1.64-fold performance enhancement. Similarly, when the Ru ratio increased from 0.2 to 0.25, the additional 0.05 molar increment also led to a 1.64-fold improvement. Considering both HGR efficiency and economic factors, Ru0.25Ox/alk-Ti3C2 was selected as the optimal catalyst. Furthermore, we analyzed the catalytic HGR performance of Ti3C2, alk-Ti3C2, and physically mixed alk-Ti3C2@RuOx, which exhibited a nearly negligible HGR (Fig. S16 in Supporting information). This suggested that the interaction between RuOx nanoclusters and alk-Ti3C2, along with the formation of the -OH interface, is key to inducing charge transfer and enhancing catalytic performance for hydrogen generation via the hydrolysis of NaBH4 [54]. To investigate the reaction kinetics, the catalytic performance of alk-Ti3C2/RuOx and Ti3C2/RuOx for NaBH4 hydrolysis was studied under various reaction temperatures, substrate concentrations, and catalyst concentrations. Fig. S17 (Supporting information) shows the hydrogen generation time profiles for alk-Ti3C2/RuOx and Ti3C2/RuOx catalysts at different temperatures (293, 298, 303, 308, 313, and 318 K). As the reaction temperature increases, the hydrogen generation rate (HGR) from NaBH4 significantly accelerates. The activation energies of alk-Ti3C2/RuOx and Ti3C2/RuOx were calculated based on the Arrhenius equation [55,56]. As shown in Fig. 3c, the activation energy (Ea) for NaBH4 hydrolysis over alk-Ti3C2/RuOx is calculated to be 45.9 kJ/mol, which is approximately 45% lower than that of Ti3C2/RuOx (83.1 kJ/mol). The lower activation energy indicateed that the alk-Ti3C2/RuOx catalyst exhibited a reduced energy barrier in the hydrolysis reaction, resulting in faster reaction kinetics [57,58].

    Figure 3

    Figure 3.  (a) The equivalent H2 of NaBH4 versus time with different molar ratios of -OH and (b) the corresponding HGR performance. (c) The summarized Arrhenius plots of Ti3C2/RuOx and alk-Ti3C2/RuOx at different reaction temperatures for NaBH4 hydrolysis. (d) Reusability tests of Ti3C2/RuOx and alk-Ti3C2/RuOx.

    Figs. S18a-c (Supporting information) shown the hydrogen generation rate (HGR) curves of Ti3C2/RuOx and alk-Ti3C2/RuOx catalysts at different NaOH concentrations. When the NaBH4 concentration was fixed at 150 mmol/L, the HGR of the Ti3C2/RuOx catalyst reached its optimum at 0.8 mol/L NaOH. However, when the NaOH concentration increased to 1.2 mol/L, the HGR decreased. This decrease indicated that the introduction of -OH functional groups formed coordination bonds with the Ru nanoparticle surface, enriching the surface with electrons and promoting the dissociation and release of water. The effect of NaOH concentration on the HGR of Ti3C2/RuOx was consistent with the findings of Zhao et al. [59]. In contrast, NaOH concentration had a negative impact on the catalytic hydrolysis of NaBH4 by alk-Ti3C2/RuOx. This suggested that during the preparation of alk-Ti3C2/RuOx, a sufficient amount of -OH functional groups were introduced to promote the O—H oxidative addition on the Ru nanoparticle surface. Further increasing the concentration of -OH functional groups in the alkaline solution did not enhance the electron enrichment on the Ru surface but instead occupied the active sites on the catalyst surface, limiting its catalytic activity [60,61]. This observation aligns with the conclusions drawn from Fig. 3b. In summary, the bonding of -OH functional groups to the Ru nanoparticle surface increases the electron density on the surface, inducing the oxidative addition of the O—H bond in water molecules, thereby promoting the adsorption and dissociation of water. This step was considered the rate-determining step. These findings further confirm that the catalytic mechanism of the alk-Ti3C2/RuOx catalyst follows a Langmuir-Hinshelwood bifunctional active sites hydrolysis mechanism for hydrogen generation [14].

    As shown in Figs. S18d and e (Supporting information), the effect of different NaBH4 concentrations on hydrogen generation rate (HGR) was further investigated. The results demonstrated that with increasing NaBH4 concentration, the HGR of both alk-Ti3C2/RuOx and Ti3C2/RuOx catalysts increased slightly [62]. In Fig. S18f (Supporting information), the fitted relationship between ln (reaction rate) and NaBH4 concentration yielded slopes of 0.176 (for alk-Ti3C2/RuOx) and 0.386 (for Ti3C2/RuOx), indicating that the hydrolysis reaction of NaBH4 follows zero-order kinetics [63]. This eliminates the possibility of NaBH4 activation alone being the rate-determining step. Additionally, the effect of catalyst dosage on the HGR from NaBH4 hydrolysis was evaluated. As shown in Figs. S18g-i (Supporting information), increasing the catalyst amount reduces the time required to generate the same volume of hydrogen, indicating a higher availability of active sites. The logarithmic fit of HGR versus catalyst dosage reveals a zero-order reaction with respect to catalyst mass, supporting the scalability potential of this process for large-scale applications [64]. Continuous cycling tests were conducted on the alk-Ti3C2/RuOx and Ti3C2/RuOx catalysts to evaluate their reusability. After each test cycle, the samples were collected by centrifugation and freeze-dried to obtain reusable catalysts, followed by the addition of fresh NaBH4 solution to continue testing. As shown in Fig. 3d and Fig. S19 (Supporting information), the HGR of both alk-Ti3C2/RuOx and Ti3C2/RuOx catalysts exhibited a slight decrease after five cycles, likely due to catalyst loss during recovery and Ru leaching [65,66]. XRD and HRTEM analysis of the alk-Ti3C2/RuOx catalyst after five cycles (Figs. S20 and S21 in Supporting information) revealed no significant changes in microstructural morphology and crystalline structure, indicating that the catalyst exhibits excellent structural stability. Moreover, as shown in Fig. S22 (Supporting information), the presence of different Ca and Mg impurities in the drinking water, river water, and seawater led to a decrease in performance.

    Through density functional theory (DFT) calculations, we explored the superior catalytic hydrolysis performance of the catalyst in depth. Initially, we optimized the nanoclusters of alk-Ti3C2/RuOx and Ti3C2/RuOx to achieve stable configurations and minimize energy. The charge density difference diagram in Fig. 4a showed that charge accumulation occured on the RuOx nanocluster, confirming the transfer of charge from the support to the RuOx nanocluster. This charge transfer facilitates the adsorption of B atoms at the Ru active sites [67].

    Figure 4

    Figure 4.  (a) Charge-density difference diagram of Ti3C2/RuOx and alk-Ti3C2/RuOx. (b) Work functions of Ti3C2, alk-Ti3C2, and RuOx from UPS spectroscopy. (c) Plane averaged electronic potential along the perpendicular direction of alk-Ti3C2/RuOx. (d) Bader charge calculation of the charge transfer amounts for different species in alk-Ti3C2/RuOx and Ti3C2/RuOx. PDOS plots of Ru (e), Ti (f) in alk-Ti3C2/RuOx and Ti3C2/RuOx, respectively.

    Using ultraviolet photoemission spectroscopy (UPS) to measure the work functions of individual components in the catalyst reveals the pathways of electron transfer during the catalytic process. Specifically, UPS showed the minimum energy required for electron transitions from the Fermi level to the vacuum level, indicating that catalysts with lower work functions were more favorable for electron transfer. As shown in Fig. 4b and Fig. S23 (Supporting information), the work functions of Ti3C2 (4.61 eV) and alk-Ti3C2 (4.51 eV) were lower than that of RuOx (4.72 eV), further verified the flow of electrons from the support to the RuOx nanoclusters. Furthermore, after the introduction of -OH functional groups, the work function of alk-Ti3C2 was further reduced, suggesting that these groups enhance electron transfer from the support to the RuOx nanoclusters [68]. Additionally, the Nyquist plot (Fig. S24 in Supporting information) shows that alk-Ti3C2/RuOx exhibited significantly lower charge transfer resistance compared to Ti3C2/RuOx, indicating that the electron-rich -OH functional groups effectively enhance charge transfer kinetics at the interface [69].

    To further validate the predicted bidirectional charge transfer from the electron localization function (ELF) theory, we analyzed the planar averaged self-consistent electrostatic potential in the Z direction for the alk-Ti3C2/RuOx and Ti3C2/RuOx catalysts. As shown in Fig. 4c and Fig. S25 (Supporting information), after introducing the electron-donor -OH functional groups, the potential difference at the interface between the -OH functional groups and the RuOx nanoclusters, as well as the Ti3C2 plane, were 5.74 eV and 0.97 eV, respectively. The results indicated that the negative charge on the oxygen atom in the -OH functional groups induce a higher potential, directing charge flow toward the RuOx nanoclusters and the Ti3C2 substrate [70]. This provided a theoretical basis for the bifunctional active sites catalysis of NaBH4 hydrolysis for hydrogen generation based on the Langmuir-Hinshelwood model.

    Subsequently, Bader charge analysis further revealed charge transfer at the catalyst interface (Fig. 4d and Fig. S26 in Supporting information). The results showed a net charge transfer of 1.188 e in Ti3C2/RuOx, while a charge transfer of 1.736 e was observed in alk-Ti3C2/RuOx, confirming that the introduction of -OH functional groups effectively enhances charge distribution and transfer [24,71,72]. Interestingly, the -OH functional groups not only transfer 1.274 e to the RuOx nanoclusters but also transfer charge to Ti3C2 (0.462 e), transforming Ti3C2 from an electron donor (in Ti3C2/RuOx) to an electron acceptor (in alk-Ti3C2/RuOx). The results of the Bader charge analysis were consistent with the conclusions drawn from the electrostatic potential and ELF analysis of the catalyst.

    As shown in Fig. S27 (Supporting information), the water contact angle analysis examined the adsorption capabilities of Ti3C2/RuOx (52°) and alk-Ti3C2/RuOx (19°) for water molecules. The study indicated that the accumulation of negative charge on the surface of alk-Ti3C2 can effectively adsorb water molecules, which carry partial positive charges. This electrostatic attraction promotes the contact and adsorption of water molecules, leading to the formation of intermediate species that enhance the hydrogen generation rate (HGR) performance through NaBH4 hydrolysis. In summary, the introduction of electron-rich -OH functional groups induce the formation of bifunctional adsorption active sites for NaBH4 and H2O molecules on RuOx nanoclusters and alk-Ti3C2, further validating the dual-channel catalytic mechanism based on the Langmuir-Hinshelwood model.

    According to the d-band center theory, the closer the d-band center is to the Fermi level (Ef), the more unoccupied antibonding states exist, thereby enhancing the adsorption capability for reaction intermediates [73]. Compared to Ti3C2/RuOx catalyst, alk-Ti3C2/RuOx exhibits a higher total density of states (TDOS) near the Fermi level (Fig. S28 in Supporting information), indicating that the interfacial interaction between RuOx nanoclusters and alk-Ti3C2 strengthens the charge transfer capability [74,75]. This was expected to improve the adsorption performance for reactant molecules and lower the activation energy barrier during the catalysis of NaBH4 hydrolysis. The d-band center of the catalyst was also derived from the density of states of its d orbitals, with the Ed value related to the metal-adsorbate interaction. As shown in Figs. 4e and f, and Fig. S29 (Supporting information), the Ed of the Ru 4d orbitals in the alk-Ti3C2/RuOx catalyst was −2.461 eV, which was better than that of the Ti3C2/RuOx catalyst (−2.550 eV) and closer to the Fermi level, indicating enhanced adsorption and desorption effects for intermediate products in the alk-Ti3C2/RuOx catalyst [76]. Notably, the Ed of the Ti 3d orbitals in the alk-Ti3C2/RuOx catalyst was −1.392 eV, closer to the Fermi level compared to Ti3C2/RuOx (−1.658 eV), which will facilitate the adsorption of H2O molecules by the alk-Ti3C2 support, further highlighting the role of electron-rich -OH functional groups in modulating the evolution of reaction intermediates [77]. This observation suggests that the introduction of electron-rich -OH functional groups trigger local charge redistribution and transfer at the interface, inducing a dual-pathway mechanism for catalyzing the hydrolysis of NaBH4 to generate hydrogen. This notion is supported by the Bader charge and ELF plane potential results of the catalyst.

    To better understand the kinetics of the dual-channel catalytic hydrolysis of NaBH4 for HGR performance, we calculated the activation energy barriers for alk-Ti3C2/RuOx and Ti3C2/RuOx across each elementary step, particularly focusing on the adsorption energies of the noble metal active sites for BH4 anion and the active sites in the support for H2O molecules, as well as the dissociation barriers of the resultant products [78,79]. As shown in Fig. 5a, the activation energy for NaBH4 cleavage in the alk-Ti3C2/RuOx catalyst is 0.312 eV, lower than that of Ti3C2/RuOx at 0.647 eV. This indicated that the alk-Ti3C2/RuOx catalyst enhances charge transfer through charge redistribution, facilitating the formation of transition state intermediates and the desorption of H molecules. Furthermore, during the activation process for H2O molecules cleavage, the desorption free energy barrier for the alk-Ti3C2/RuOx catalyst was 0.376 eV, significantly lower than 0.473 eV for Ti3C2/RuOx (Fig. 5b) [80]. This lower barrier was attributed to the charge flow from the electron-rich -OH functional groups to alk-Ti3C2, with the enriched electron-active sites promoting the redox reaction of water molecules and further enhancing their adsorption and dissociation processes [81]. The introduction of bifunctional active sites enhances the kinetics of the sodium borohydride hydrolysis reaction, resulting in a higher hydrogen release rate.

    Figure 5

    Figure 5.  The cleavage activation energies of (a) NaBH4 and (b) H2O molecules of alk-Ti3C2/RuOx and Ti3C2/RuOx catalysts calculated by DFT. (c) Catalytic mechanism diagram for the hydrolysis of NaBH4 to generate H2 using the alk-Ti3C2/RuOx catalyst.

    Based on the Langmuir-Hinshelwood model and the analysis of experimental and DFT theoretical results, a possible bimolecular activation mechanism for the catalytic hydrolysis of NaBH4 is proposed as follows (Eqs. 1–3) [82,83]:

    $ \mathrm{NaBH}_4+\mathrm{Ru} \rightarrow \mathrm{BH}_3-\mathrm{Ru}^*+\mathrm{H}-\mathrm{Ru}^* $

    (1)

    $ \mathrm{H}_2 \mathrm{O}+\text { alk- } \mathrm{Ti}_3 \mathrm{C}_2 \rightarrow \mathrm{OH} \text {-alk- } \mathrm{Ti}_3 \mathrm{C}_2{ }^*+\mathrm{H}-\mathrm{Ti}^* $

    (2)

    $ \mathrm{BH}_3-\mathrm{Ru}^*+\mathrm{H}-\mathrm{Ru}^*+\mathrm{OH}-\text { alk- } \mathrm{Ti}_3 \mathrm{C}_2{ }^*+\mathrm{H}-\mathrm{Ti}^* \rightarrow \mathrm{BH}_2 \mathrm{OH}-\mathrm{Ru}^*+\mathrm{H}_2 \uparrow $

    (3)

    The abundant vacant 4d orbitals on Ru atoms selectively adsorb and activate BH4 anion, facilitating the cleavage of the B-H bond [84]. Meanwhile, H2O molecules are adsorbed and activated by the electron-rich alk-Ti3C2, resulting in the breaking of the O–H bond (Fig. 5c) [5,78,85]. The hydrogen atoms from the formed H-Ru and H-Ti bonds then combine to generate H2, which rapidly desorbs from the surface of the alk-Ti3C2/RuOx catalyst. During this process, the electron-rich -OH functional groups provide a bidirectional electron-donating effect to both the RuOx nanoclusters and alk-Ti3C2, enhancing RuOx nanocluster's ability to activate BH4 anion and improving the redox capability of alk-Ti3C2 for H2O molecules [86,87].

    Subsequently, another H2O molecules were activated on the alk-Ti3C2 support. The -OH functional groups adsorbed on alk-Ti3C2 attack NaBH2OH-Ru*, resulting in the formation of NaBH(OH)2-Ru and H-Ru. The H-Ru then combines with H-Ti adsorbed on alk-Ti3C2, leading to the release of another H2 molecule [88]. Finally, a third H2O molecules were activated on the surface of alk-Ti3C2. The -OH functional groups from alk-Ti3C2 attack the B-H bond in NaBH(OH)2-Ru, resulting in the generation of H2 and NaB(OH)3-Ru, which subsequently dissociates into Na+ and B(OH)4 [89,90].

    In this bimolecular activation reaction mechanism, the electron-rich -OH functional groups not only donate electrons to the RuOx nanoclusters, thereby enhancing their catalytic activity, but also facilitate the activation of H2O molecules on the alk-Ti3C2 support [87]. Therefore, this study confirms that RuOx nanoclusters anchored on alk-Ti3C2 modified with -OH functional groups can significantly enhance its catalytic capability in the hydrolysis of NaBH4.

    In summary, guided by theoretical predictions from ELF and planar-averaged charge density analyses, we successfully synthesized a alk-Ti3C2/RuOx catalyst modified with electron-rich -OH functional groups to achieve efficient dual-channel HGR. The resulting alk-Ti3C2/RuOx catalyst demonstrated excellent catalytic activity (9468 mL min−1gcat.−1) in the hydrolysis of NaBH4. Both theoretical predictions and experimental validations indicate that the bidirectional electron-donating effect of the electron-rich -OH functional groups enhance charge redistribution and transfer within the catalyst. This effect enables efficient adsorption and dissociation at the bifunctional active sites for H2O molecules and BH4 anion, thereby improving overall catalytic performance. This study highlights how the bidirectional electron transfer from the electron-rich functional groups reduces the activation energy for the cleavage of H2O molecules and BH4 anion, further supporting the dual-molecular Langmuir-Hinshelwood model in NaBH4 hydrolysis.

    Chongbei Wu: Writing, original draft, Software, Resources, Project administration, Methodology, Investigation, Formal analysis, Datacuration, Conceptualization, Funding acquisition. Benzhi Wang: Visualization, Software, Resources, Methodology, Investigation, Formal analysis, Data curation, Conceptualization. Xuan Li: Original draft, Validation, Software, Resources, Methodology, Investigation, Formal analysis, Data curation, Conceptualization. Jiaxuan Gu: Software, Methodology, Investigation, Formal analysis, Data curation. Yihan Wu: Software, Methodology, Investigation, Formal analysis, Data curation. Zhe Zhao: Original draft, Software, Resources, Methodology, Investigation, Formal analysis. Pengfei Jia: Writing - Language polishing, Methodology, Investigation, Formal analysis. Jizhou Jiang: Writing – review & editing, Visualization, Validation, Supervision, Software, Resources, Project administration, Methodology, Investigation, Funding acquisition, Formal analysis, Datacuration, Conceptualization.

    The authors declare that they have no known competing financial interests or personal relationships that could have appeared to influence the work reported in this paper.

    This work was supported by the Hebei province Natural Science Foundation (No. B2023108012), the Science Research Project of Hebei Education Department (No. BJK2024137), the S&T Program of Xingtai (No. 2023ZZ096), the National Natural Science Foundation of China (No. 62004143), the Key R&D Program of Hubei Province (No. 2022BAA084).

    Supplementary material associated with this article can be found, in the online version, at doi:10.1016/j.cclet.2025.111162.


    1. [1]

      X. Liu, W. Sun, J. Chen, Z. Wen, Angew. Chem. Int. Ed. 63 (2024) 202317313.

    2. [2]

      C. Wu, G. Yu, Y. Yin, et al., Small 16 (2020) 2003162.

    3. [3]

      F. Li, Y. Anjarsari, J. Wang, et al., Carbon Lett. 33 (2023) 1321–1331. doi: 10.1007/s42823-022-00380-4

    4. [4]

      J. Guo, B. Wang, D. Yang, et al., Appl. Catal. B: Environ. Energy 265 (2020) 118584.

    5. [5]

      S.H. So, S. Ha, C.G. Min, Y.S. Lee, C.R. Park, Carbon Lett. 33 (2023) 1027–1034. doi: 10.1007/s42823-023-00524-0

    6. [6]

      Q. Sun, N. Wang, R. Bai, et al., Adv. Sci. 6 (2019) 1802350.

    7. [7]

      Q. Sun, X. Wang, H. Wang, et al., J. Mater. Chem. A 10 (2022) 10837–10843. doi: 10.1039/d2ta01544g

    8. [8]

      F. Fu, C. Wang, Q. Wang, et al., J. Am. Chem. Soc. 140 (2018) 10034–10042. doi: 10.1021/jacs.8b06511

    9. [9]

      S. Guan, Y. Liu, H. Zhang, et al., Adv. Sci. 10 (2023) 2300726.

    10. [10]

      J. Huo, H. Wei, L. Fu, C. Zhao, C. He, Carbon Lett. 34 (2023) 107261.

    11. [11]

      B. Liu, A. Rose, N. Zhang, Y. Hu, M. Ma, J. Phys. Chem. C 121 (2017) 12610–12616. doi: 10.1021/acs.jpcc.7b03094

    12. [12]

      F. Yao, S. Guan, L. Bian, et al., ACS Sustainable Chem. Eng. 9 (2021) 12332–12340. doi: 10.1021/acssuschemeng.1c04249

    13. [13]

      S. Zhang, Z. Huang, T.T. Isimjan, D. Cai, X. Yang, Appl. Catal. B: Environ. Energy 343 (2024) 123448.

    14. [14]

      Q. Sun, N. Wang, T. Zhang, et al., Angew. Chem. Int. Ed. 131 (2019) 18743–18749. doi: 10.1002/ange.201912367

    15. [15]

      L. Shi, K. Zhu, Y. Yang, et al., Chin. Chem. Lett. 35 (2024) 109222.

    16. [16]

      U.B. Demirci, P. Miele, C. R. Chimie 17 (2014) 707–716.

    17. [17]

      F. Yang, J. Ruan, T. Li, et al., J. Alloys Compd. 926 (2022) 166902.

    18. [18]

      H. Li, X. Hu, L. Wang, et al., Chem. Eng. J. 481 (2024) 148547.

    19. [19]

      S. Zhou, Q. Yang, Y. Liu, et al., J. Catal. 433 (2024) 115491.

    20. [20]

      W. Xu, W. Li, H. Wen, et al., Appl. Catal. B: Environ. Energy 286 (2021) 119946.

    21. [21]

      Y. Yang, L. Shi, Q. Liang, et al., Chin. J. Catal. 56 (2024) 176–187.

    22. [22]

      Y. Zou, L. Dong, S. Yan, et al., J. Catal. 429 (2024) 115241.

    23. [23]

      Y. Liu, L. Cheng, Y. Huang, et al., ChemSusChem 16 (2023) e202202113.

    24. [24]

      Z. Teng, Q. Zhang, H. Yang, et al., Nat. Catal. 4 (2021) 374–384. doi: 10.1038/s41929-021-00605-1

    25. [25]

      H. Li, Z. Liu, L. Wang, et al., Chem. Eur. J. 29 (2023) e202203207.

    26. [26]

      Y. Liu, H. Wen, D. Zhou, et al., Appl. Catal. B: Environ. Energy 291 (2021) 120094.

    27. [27]

      J. Wang, Q. Qin, F. Li, et al., Carbon Lett. 33 (2023) 1381–1394. doi: 10.1007/s42823-022-00401-2

    28. [28]

      J. Jiang, F. Li, S. Bai, et al., Nano Res. 16 (2023) 4656–4663. doi: 10.1007/s12274-022-5112-x

    29. [29]

      J. Jiang, S. Bai, M. Yang, et al., Nano Res. 15 (2022) 5977–5986. doi: 10.1007/s12274-022-4276-8

    30. [30]

      A.D. Handoko, K.D. Fredrickson, B. Anasori, et al., ACS Appl. Energy Mater. 1 (2018) 173–180. doi: 10.1021/acsaem.7b00054

    31. [31]

      J. Ran, G. Gao, F. Li, et al., Nat. Commun. 8 (2017) 13907.

    32. [32]

      A.A. Mayyahi, S. Sarker, B.M. Everhart, X. He, P.B. Amama, Mater. Today Commun. 32 (2022) 103835.

    33. [33]

      Y. Karatas, T. Cetin, I.N. Akkus, Y. Akinay, M. Gulcan, Int. J. Energy Res. 46 (2022) 11411–11423. doi: 10.1002/er.7938

    34. [34]

      C. Wu, Q. Han, L. Qu, APL Mater. 8 (2020) 120703.

    35. [35]

      C. Zhou, K. Ma, Z. Zhuang, et al., J. Am. Chem. Soc. 146 (2024) 21453–21465. doi: 10.1021/jacs.4c04189

    36. [36]

      L. Wang, T. Yang, B. Feng, et al., Chin. J. Catal. 54 (2023) 265–277.

    37. [37]

      C. Hu, F. Wei, Q. Liang, et al., J. Energy Chem. 80 (2023) 247–255.

    38. [38]

      Y. Liu, Y. Chen, Y. Tian, et al., Adv. Mater. 34 (2022) 2203615.

    39. [39]

      E. Cui, Y. Lu, J. Jiang, D. Wang, T. Zhai, Chin. J. Catal. 59 (2024) 126–136.

    40. [40]

      L. Zhai, X. She, L. Zhuang, et al., Angew. Chem. Int. Ed. 61 (2022) e202116057.

    41. [41]

      X. Chen, H. Fu, X. Li, et al., Chem. Eng. J. 467 (2023) 143374.

    42. [42]

      R. Shi, X. Wang, G. Zhou, Appl. Surf. Sci. 624 (2023) 157159.

    43. [43]

      K. Xiang, Y. Wang, Z. Zhuang, et al., J. Mater. Sci. Technol. 203 (2024) 108–117.

    44. [44]

      C. Wu, X. Li, X. Liu, et al., J. Mater. Sci. Technol. 218 (2025) 305–316.

    45. [45]

      Q. Tang, Z. Sun, S. Deng, H. Wang, Z. Wu, J. Colloid Interf. Sci. 564 (2020) 406–417.

    46. [46]

      C. Wu, X. Li, H. Wang, et al., Sci. China Technol. Sci. 59 (2024) 183–190.

    47. [47]

      J. Zou, S. Wu, Y. Liu, et al., Carbon 130 (2018) 652–663.

    48. [48]

      Q. Han, C. Wu, H. Jiao, et al., Adv. Mater. 33 (2021) 2008180.

    49. [49]

      J. Guo, C. Wu, J. Zhang, et al., J. Mater. Chem. A 7 (2019) 8865–8872. doi: 10.1039/c8ta10695a

    50. [50]

      Y. Chen, Q. Chen, G. Fan, Int. J. Hydrogen Energy 45 (2020) 28812–28820.

    51. [51]

      L. Wang, J. Huang, X. Hu, et al., J. Colloid Interf. Sci. 660 (2024) 989–996. doi: 10.1587/transfun.2023eap1075

    52. [52]

      G. Li, Y. Tan, Z. Lei, F. Yin, X. He, Carbon Lett. 33 (2023) 899–908. doi: 10.1007/s42823-023-00471-w

    53. [53]

      Y. Ren, H. Zhang, C. Hao, et al., Chin. Chem. Lett. 35 (2024) 108225.

    54. [54]

      S. Dou, C. Hu, L. Shi, et al., ChemCatChem 19 (2021) 1–9.

    55. [55]

      S. Dou, S. Zhou, H. Huang, et al., Chem. Eur. J. 26 (2020) 1–10.

    56. [56]

      C. Tang, G. Zhou, J. Chen, et al., Energy Fuels 37 (2023) 9444–9451. doi: 10.1021/acs.energyfuels.3c00620

    57. [57]

      B. Long, J. Chen, Z. Zhao, et al., Energy Technol. 10 (2022) 2200439.

    58. [58]

      J. Duan, X. Liu, L. Bian, Y. Fan, B. Liu, ACS Appl. Energy Mater. 6 (2023) 1753–1762. doi: 10.1021/acsaem.2c03636

    59. [59]

      C. Luo, F. Fu, X. Yang, et al., ChemCatChem 11 (2019) 1643–1649. doi: 10.1002/cctc.201900051

    60. [60]

      K. Yao, C. Zhao, N. Wang, et al., Nanoscale 12 (2020) 638–647. doi: 10.1039/c9nr07144j

    61. [61]

      Z. Li, L. An, M. Song, et al., Chin. Chem. Lett. 34 (2023) 107622.

    62. [62]

      R. Shen, Y. Liu, H. Wen, et al., Energy Environ. Mater. 6 (2023) e12292.

    63. [63]

      L. Liu, H. Zhu, Y. Zheng, ACS Appl. Energy Mater. 5 (2022) 731–739. doi: 10.1021/acsaem.1c03171

    64. [64]

      M. Asim, S. Zhang, Y. Wang, et al., Fuel 318 (2022) 123544.

    65. [65]

      B. Mao, Y. Zhu, D. Huang, et al., Adv. Mater. Interfaces 10 (2023) 2201891.

    66. [66]

      B. Cui, G. Wu, S. Qiu, et al., Adv. Sustainable Syst. 5 (2021) 2100209.

    67. [67]

      Y. Qin, T. Yu, S. Deng, et al., Nat. Commun. 13 (2022) 3784.

    68. [68]

      L. Wang, X. Hu, H. Li, et al., Green Chem. 26 (2024) 2011–2020. doi: 10.1039/d3gc04537d

    69. [69]

      T.T. Dang, T.K.A. Nguyen, K.C. Bhamu, et al., ACS Catal. 12 (2022) 13763–13780. doi: 10.1021/acscatal.2c03523

    70. [70]

      B. Wang, L. Wang, J.H. Lee, et al., Carbon Energy 6 (2024) e526.

    71. [71]

      C. Wu, Z. Teng, C. Yang, F. et al., Adv. Mater. 34 (2022) e2110266.

    72. [72]

      Y. Wang, J. Ding, F. Deng, H. Liu, Carbon Lett. 34 (2023) 1593–1608.

    73. [73]

      J. Ding, D. Guo, N. Wang, et al., Angew. Chem. Int. Ed. 62 (2023) e202311909.

    74. [74]

      J. Zheng, X. Peng, Z. Xu, J. Gong, Z. Wang, ACS Catal. 12 (2022) 10245–10254. doi: 10.1021/acscatal.2c01825

    75. [75]

      X. Zhang, J. Jiang, A.A. Suleiman, et al., Adv. Funct. Mater. 29 (2019) 1906585.

    76. [76]

      W. Li, Y. Zhao, Y. Liu, et al., Angew. Chem. Int. Ed. 60 (2021) 3290–3298.

    77. [77]

      H. Luo, J. Jiang, M. Li, K. Sun, Y. Zheng, J. Colloid Interf. Sci. 654 (2024) 289–299.

    78. [78]

      E. Vallejo, Carbon Lett. 33 (2023) 823–832.

    79. [79]

      Y. Meng, Q. Sun, T. Zhang, et al., J. Am. Chem. Soc. 145 (2023) 5486–5495. doi: 10.1021/jacs.3c00047

    80. [80]

      S. Chen, B. Gong, J. Gu, et al., Angew. Chem. 134 (2022) e202211919.

    81. [81]

      C. Wu, J. Zhang, J. Guo, et al., ACS Sustain. Chem. Eng. 66 (2018) 7451–7457. doi: 10.1021/acssuschemeng.8b00061

    82. [82]

      S. Mehdi, Y. Liu, H. Wei, et al., Appl. Catal. B: Environ. Energy 325 (2023) 122317.

    83. [83]

      X. Huang, Y. Liu, H. Wen, et al., Appl. Catal. B: Environ. Energy 287 (2021) 119960.

    84. [84]

      S. Dou, W. Zhang, Y. Yang, et al., Int. J. Hydrogen Energy 46 (2020) 7772–7781.

    85. [85]

      S. Zhou, L. Cheng, Y. Liu, et al., Inorg. Chem. 63 (2024) 2015–2023. doi: 10.1021/acs.inorgchem.3c03746

    86. [86]

      H. Zhang, K. Zhang, S. Ashraf, et al., Energy Environ. Mater. 6 (2023) e12273.

    87. [87]

      W. Xu, S. Zhang, R. Shen, et al., Energy Environ. Mater. 6 (2023) e12279.

    88. [88]

      Z. Huang, Z. Liu, M. Liao, et al., Chem. Eng. J. 462 (2023) 142281.

    89. [89]

      C. Wu, J. Guo, J. Zhang, et al., Renew. Energy 136 (2019) 1064–1070.

    90. [90]

      S. Guan, L. An, S. Ashraf, et al., Appl. Catal. B: Environ. Energy 269 (2020) 118775.

  • Figure 1  (a) Schematic diagrams of the Langmuir-Hinshelwood model and the Michaelis-Menten model for the adsorption of H2O molecules and BH4 anion on the catalyst surface. (b) Schematic diagram of the adsorption of H2O molecules and BH4 anion induced by -OH functional groups. (c) The adsorption energies of H2O molecules and BH4 anion on O-Ti3C2/RuOx, F-Ti3C2/RuOx, and OH-Ti3C2/RuOx. (d) The electron localization function (ELF) calculations on Ti3C2/RuOx and alk-Ti3C2/RuOx, respectively.

    Figure 2  (a) Schematic diagram of the preparation process for alk-Ti3C2/RuOx and corresponding TEM images of the intermediate products. (b) XRD patterns of Ti3C2, alk-Ti3C2, Ti3C2/RuOx and alk-Ti3C2/RuOx. (c) FTIR spectra of alk-Ti3C2, Ti3C2/RuOx and alk-Ti3C2/RuOx. (d) High-resolution XPS spectra of O 1s in the Ti3C2, alk-Ti3C2 and alk-Ti3C2/RuOx. (e) Statistics of the contents of different species in the O 1s region of the XPS spectra.

    Figure 3  (a) The equivalent H2 of NaBH4 versus time with different molar ratios of -OH and (b) the corresponding HGR performance. (c) The summarized Arrhenius plots of Ti3C2/RuOx and alk-Ti3C2/RuOx at different reaction temperatures for NaBH4 hydrolysis. (d) Reusability tests of Ti3C2/RuOx and alk-Ti3C2/RuOx.

    Figure 4  (a) Charge-density difference diagram of Ti3C2/RuOx and alk-Ti3C2/RuOx. (b) Work functions of Ti3C2, alk-Ti3C2, and RuOx from UPS spectroscopy. (c) Plane averaged electronic potential along the perpendicular direction of alk-Ti3C2/RuOx. (d) Bader charge calculation of the charge transfer amounts for different species in alk-Ti3C2/RuOx and Ti3C2/RuOx. PDOS plots of Ru (e), Ti (f) in alk-Ti3C2/RuOx and Ti3C2/RuOx, respectively.

    Figure 5  The cleavage activation energies of (a) NaBH4 and (b) H2O molecules of alk-Ti3C2/RuOx and Ti3C2/RuOx catalysts calculated by DFT. (c) Catalytic mechanism diagram for the hydrolysis of NaBH4 to generate H2 using the alk-Ti3C2/RuOx catalyst.

  • 加载中
计量
  • PDF下载量:  4
  • 文章访问数:  833
  • HTML全文浏览量:  44
文章相关
  • 发布日期:  2025-08-15
  • 收稿日期:  2024-12-05
  • 接受日期:  2025-03-31
  • 修回日期:  2025-03-26
  • 网络出版日期:  2025-03-31
通讯作者: 陈斌, bchen63@163.com
  • 1. 

    沈阳化工大学材料科学与工程学院 沈阳 110142

  1. 本站搜索
  2. 百度学术搜索
  3. 万方数据库搜索
  4. CNKI搜索

/

返回文章