Diterpenoids with unexpected 5/6/6-fused ring system and its dimer from Strophioblachia glandulosa

Xue-Wen Wu Bin-Bao Wang Yu Qin Yong-Xiang Huang Muhammad Aurang Zeb Bin Cheng Xiao-Li Li Chang-Bo Zheng Wei-Lie Xiao

Citation:  Xue-Wen Wu, Bin-Bao Wang, Yu Qin, Yong-Xiang Huang, Muhammad Aurang Zeb, Bin Cheng, Xiao-Li Li, Chang-Bo Zheng, Wei-Lie Xiao. Diterpenoids with unexpected 5/6/6-fused ring system and its dimer from Strophioblachia glandulosa[J]. Chinese Chemical Letters, 2025, 36(8): 110584. doi: 10.1016/j.cclet.2024.110584 shu

Diterpenoids with unexpected 5/6/6-fused ring system and its dimer from Strophioblachia glandulosa

English

  • According to the data released by the World Health Organization in recent years, the death caused by cardiovascular disease (CVD) still ranks first in the global cause of death [1]. Heart failure (HF) is a type of CVD, and many CVDs eventually develop into HF [2]. It has been reported that cardiac hypertrophy can induce HF, which is an early pathological manifestation of HF [3]. Due to the complex pathogenesis and pathological course of myocardial hypertrophy, there is still a lack of targeted prevention and treatment drugs for cardiac hypertrophy in clinical treatment. Although researchers have conducted continuous research in this field, the targeted treatment is not satisfactory [4]. Natural products provide new insights into the treatment of cardiac hypertrophy [5]. Therefore, the search for new drugs against cardiac hypertrophy is imminent.

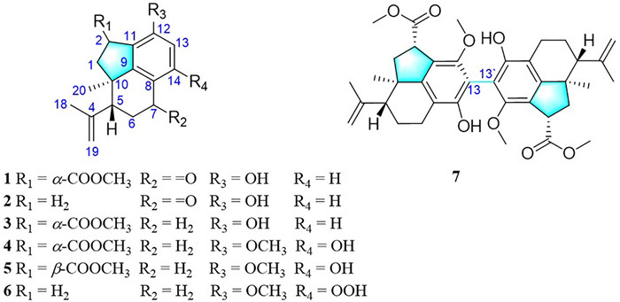
    Naturally originated diterpenoids and their derivatives play a crucial role in drug research and development [6]. Structurally diverse diterpenoids are abundant in the Euphorbiaceae family. Strophioblachia glandulosa Pax belonging to Strophioblachia, a small genus of the Euphorbiaceae family, mainly distributed in the southern regions of China, Vietnam and Cambodia [7]. Previous research on the plants from the genus Strophiobiachia led to the isolation of many fascinating rearranged molecules, including 6/6/5/6 tetracyclic, 6/6/5 tricyclic, 7/6/6 tricyclic diterpenoids, as well as normal cleistanthane, pimarane and phenanthrene derivatives with potential anticardiac hypertrophic and NOD-like receptor thermal protein domain associated protein 3 (NLRP3) inflammasome inhibitory effects [812]. Based on the obtained rich scaffold diversifications of diterpenoid substances, we further investigate and clarify the target component of our interest and their anticardiac hypertrophic effect of the whole plant of S. glandulosa. In our ongoing investigation, six unprecedented nor-diterpenoids with rearranged 5/6/6-fused tricyclic carbon scaffold (16), and one unprecedented rearranged symmetrical dimer with 5/6/6/6/6/5-fused ring system (7) (Fig. 1) were identified via spectroscopic analysis, electronic circular dichroism (ECD), quantum chemical calculations, and single-crystal X-ray diffraction measurements. Interestingly, compared with compound 1, compound 2 is degraded with an COOCH3 group at C-2, and the same occurs among 4/5/6. Herein, we report the isolation, structural elucidation, plausible biosynthetic pathway and bioactivity investigation of the isolated diterpenoids.

    Figure 1

    Figure 1.  Structures of compounds 1–7.

    Glandulosawy A (1) was isolated as colorless crystals with a molecular formula of C18H20O4, as determined by 13C nuclear magnetic resonance spectroscopy (NMR) and the (+)-high-resolution electrospray ionization mass spectrometry (HR-ESI-MS) ion peak at m/z 301.1433 [M + H]+ (calcd. 301.1434), indicating 9 indices of hydrogen deficiency (IHD). The infrared spectra (IR) data indicated absorption bands at 3259 and 1735 cm−1 attributed to a hydroxy and a carbonyl group in 1. The interpretation of the 1H NMR spectrum (Table S1 in Supporting information) showed typical proton signals for two methyl groups at δH 1.88 (s, Me-18), and 1.07 (s, Me-18), a methoxy at δH 3.87 (s, OMe-3), vinyl protons at δH 5.04 (s, H-19a), and 4.85 (s, H-19b), and two aromatic protons at δH 7.77 (d, J = 8.1 Hz, H-14), and 6.87 (d, J = 8.1 Hz, H-13). The 13C NMR data (Table S1) combined with the distortionless enhancement by polarization transfer (DEPT) and 2D data identified two carbonyls at δC 196.8 and 175.0 (C-7, C-3), eight olefinic carbons, one sp3 quaternary carbon, two sp3 methine, two sp3 methylene, two methyl, and one methoxy group, identifying 1 as a nor-diterpenoid. Eight olefinic carbons and two carbonyls accounted for six IHD, while the remaining IDH suggested that 1 possessed a tricyclic system.

    A comprehensive investigation of the 2D NMR spectra of 1 delineated its planar structure (Fig. 2). The key 1H–1H correlation spectroscopy (1H–1H COSY) data of H2–1/H-2, H-5/H2–6, and H-13/H-14, along with 1H detected heteronuclear multiple bond correlation (HMBC) correlations from H-2 to C-3, C-9, C-10, C-11, and C-12, from H-20 to C-1, C-9, and C-10; from H-5 to C-4, C-7, C-10, C-18, C-19, and C-20, from H-6 to C-8; from H-13 to C-8, C-9, C-11 and C-12, from H-14 to C-7, C-9, and C-12, established the A/B/C ring system and confirmed that 1 possessed a unique 5/6/6 tricyclic carbon skeleton with a five-membered ring linked by the carbon-carbon bond between C-2 and C-11. Thus, the planar structure of 1 was confirmed.

    Figure 2

    Figure 2.  Key 2D correlations, and X-ray crystallographic structure of compounds 1 and 7.

    In the nuclear Overhauser effect spectroscopy (NOESY) spectrum, the cross-peaks between H-1β and H-2/H-5, and between H-5 and H-6β, indicating that, H-2 and H-5 adopted β-orientation. The correlations of H-20 and H-1α/H-6α indicated that H-20 was α-oriented. Calculated and experimental ECD results were consistent, defining the absolute configuration of (2S,5R,10R)−1 (Fig. S3 in Supporting information), which was also in agreement with the X-ray diffraction analysis with Cu Kα radiation [Flack parameter: 0.00(6)].

    Glandulosawy B (2) obtained in the form of colorless oil, yielded the molecular formula C16H18O2, as deduced via HR-ESI-MS (m/z 243.1385 [M + H]+). Interpretation of the NMR data of 2 (Table S1) indicated that its structure highly resembled that of compound 1 with the absence of a COOCH3 group. The above assignment was confirmed by the key 1H–1H COSY data of H2–1/H2–2, and HMBCs from H-2 to C-9, C-10, C-11, and C-12 (Fig. S1 in Supporting information). The relative configuration was established by the NOESY data between H-5 and H-1β, and between H-20 and H-1α (Fig. S2 in Supporting information). ECD analysis further confirmed the absolute configurations of (5R,10R)−2 (Fig. S3).

    Compound 3 namely glandulosawy C, a colorless oil, has a molecular formula of C18H22O3 based on the (+)-HR-ESI-MS ion peak at m/z 287.1642 [M + H]+ (calcd. 287.1642), requiring 8 IDH. By comparing the 13C NMR data of 3 (Table S2 in Supporting information) and 1, it was evident that the carbon types and chemical shifts of the two compounds are the similar, except that the chemical shift of C-7 changes from 196.8 ppm to 25.9 ppm, corresponding to a change from quaternary to secondary carbon. The above assumption was evinced by combining the 1H–1H COSY correlations of H-5/H-62/H-7 and the HMBCs from H-7 to C-8, C-9 and C-14. Observation of NOESY cross-peaks of H-20/H-1α, H-20/H-6α, H-2/H-1β, and H-5/H-6β, identified the relative configuration. ECD calculations were adopted to assign the absolute configuration of (2S,5R,10R)−3 (Fig. S3).

    The molecular formula C19H24O4 of glandulosawy D (4) was established by (+)-HR-ESI-MS ([M + H]+, m/z 317.1742) and 13C NMR data. Scrutiny of the NMR spectrum (Table S3 in Supporting information) revealed similarity in its structure to that of 3, differing only in the substitution of a hydroxy group for a methoxy at C-12 and deshielding of C-14 signal from δC 129.1 to 154.4. The HMBC cross-peaks from 12-OMe to C-12, from H-13 to C-12 and C-14, from H-2 to C-12, and from H-7 to C-14 supported the above assignment. Unfortunately, no correlations were evident between H-2 and other protons. Therefore, quantum chemical calculation of NMR with DP4+ analysis was adopted to assign its configuration as S (R2 = 0.9988) better than R (R2 = 0.9985) (Fig. S4 in Supporting information) [13]. The DP4+ probability analysis of NMR calculations indicated that 2S was the most promising candidate structure with a DP4+ 98.00% probability (Fig. S14 in Supporting information). Calculated and experimental ECD results were consistent, defining the absolute configuration of (2S,5R,10R)−4 (Fig. S3).

    Glandulosawy E (5) was assigned the molecular formula C19H24O4 according to the ion peak at m/z 317.1750 (calcd. 317.1747) in the positive HR-ESI-MS spectrum. Interpretation of the NMR data of 5 (Table S3) showed that its structure highly resembled that of 4, indicating that they shared the same planer structure. The major differences were the chemical shifts of H-2/C-2, and C-1, C-3 and C-11 attached to C-2, attributed to the stereochemistry switch of H-2. This conclusion was corroborated by the NOESY correlations of H-2 and Me-20 randomly assigned as α-orientation (Fig. S2). Absolute stereochemistry was elucidated as (2R,5R,10R)−5 based on time-dependent density functional theory (TDDFT) ECD calculations (Fig. S3).

    Glandulosawy F (6) was isolated as a colorless oil. HR-ESI-MS in conjugation with 1D NMR data revealed its molecular formula to be C17H22O3 with 7 degrees of unsaturation. 1H and 13C NMR data (Table S2) were like those of 4. Notable differences between them were the absence of a COOCH3 in 6. Key HMBC and 1H–1H COSY correlations revealed the above assumption (Fig. S1). Since glandulosawy F showed a purple spot due to peroxide on a TLC plate when treated with N,N-dimethyl p-phenylenediamine dihydrochloride, the remaining two oxygen atoms were assigned to the hydroperoxy group at C-14 [14]. NOESY correlations of H-20/H-6α and H-5/H-6β, defined the relative configuration. ECD calculations were adopted to assign the absolute configuration of (5R,10R)−6 (Fig. S3).

    Glandulosawxw A (7), isolated as colorless crystals, has a molecular formula of C38H46O8 as established by 13C data and HR-ESI-MS (631.3259 [M + H]+). The characteristic features of 1H and 13C NMR data together with the molecular formula indicated 7 was a dimeric nor-diterpenoid with a highly symmetrical skeleton. Interpretation of the NMR data of 7 (Table S4) indicated that its structure highly resembled that of 4, and the main difference was the presence of a quaternary carbon (δC 110.6, C-13) in 7 instead of the presence of an aromatic methine (δC 97.8, C-13) in 4. Finally, the correlations in the 1H–1H COSY and HMBC spectra further established the two symmetric units (1a and 1b) for 7 (Fig. S1).

    The above evidence revealed that the units of 7 were connected through a C—C bond between C-13 and C-13′. The NOESY spectrum revealed the cross-peaks between Me-20 and H-1α, and between H-5 and H-1β, indicating H-20 and H-5 adopted opposite orientations. However, no correlations were observed between H-2 and other protons. Finally, the single-crystal X-ray diffraction, using Cu Kα radiation [Flack parameter: 0.04(8)], determined the absolute stereochemistry as (2S,5R,10R,2S',5R',10R')−7 (Fig. 2) and confirmed the final structure. In conclusion, compound 7 was the first example of symmetrical dimers linked by a C—C bond based on a rare 5/6/6 core. The plausible biosynthetic pathways for 17 were proposed as shown in Scheme S1 (Supporting information).

    Previous studies have shown that reducing the expression of atrial natriuretic peptide (ANP) can reverse myocardial hypertrophy, and Nppa, as the mRNA expression form of ANP, also has the same effect [15]. It has also been reported that the protein and mRNA expression levels of myosin heavy chain 7 (MYH7) will increase in patients with myocardial hypertrophy [16]. Therefore, to assess the effect of compounds on phenylephrine (PE)-induced myocardial hypertrophy, we examined the mRNA expression levels of the hypertrophy markers Nppa and Myh7 for seven isolated compounds. In the preliminary screening of the compounds for anti-myocardial hypertrophy, it was found that compound 7 was too toxic to cells. Therefore, compound 7 was excluded in subsequent studies. However, compared with the control group, compounds 26 significantly reduced the expression of Nppa and Myh7 mRNA in neonatal rat cardiomyocytes (NRCMS) (Fig. 3A). The results indicated that these compounds had better anti-hypertrophy effect in vitro. Therefore, based on the above experimental results, compounds 2 and 3 were selected for further study. Low cytotoxicity of compounds is a basic requirement for anti-cardiac hypertrophy drugs. Therefore, the cell counting kit-8 (CCK-8) assay was used to detect the cytotoxicity of compounds 2 and 3, and the results showed that both compounds had low cytotoxicity (Fig. 3B). Subsequently, Western blot analysis was used to analyze the expression levels of ANP and MYH7 proteins, and the results showed that the levels of ANP and MYH7 proteins increased in the model group induced by PE, and compounds 2 and 3 significantly inhibited the expression levels of ANP and MYH7 proteins (Figs. 3CE).

    Figure 3

    Figure 3.  The compounds exhibited an anti-myocardial hypertrophy effect. (A) Quantitative reverse transcription polymerase chain reaction (qRT-PCR) was used to detect the effect of the compounds on the mRNA expression of Nppa and Myh7. (B) The cytotoxicity of the compounds was detected by CCK-8 assay. (C) Western blot to detect the effect of the compounds (50 µmol/L) on ANP and MYH7. (D) Quantitative analysis of ANP protein levels in NRCMS by Western blot. (E) Quantitative analysis of MYH7 protein levels in NRCMS by Western blot. Data are presented as mean ± standard error of the mean (SEM) (n = 3). **P < 0.01 vs. CTL; #P < 0.05, ##P < 0.01 vs. PE group. GAPDH, glyceraldehyde-3-phosphate dehydrogenase.

    The target of compound 3 against myocardial hypertrophy was predicted and verified by network pharmacology. Through database search, 72 related targets of compound 3 active ingredient were obtained. Cytoscape 3.9.1 visualized "component-target" network diagram (Fig. 4A). Then, 6262 genes related to cardiac hypertrophy were found. The intersection of drugs and disease targets was combined to obtain 54 targets for drug treatment of cardiac hypertrophy, and the Wayne diagram was drawn (Fig. 4B). Then, the above drug targets and diseases were introduced into Cytoscape 3.9.0 for visualization processing, and the network diagram of "component-target-pathway-disease" was constructed (Fig. 4C). According to the analysis of the network, there are 77 nodes and 299 edges in the network diagram. Among them, the same active ingredient may correspond to different targets, and different active ingredients may also correspond to the same target, which indicates that the drug acts on the disease through multi-component and multi-target. Then, 54 intersection targets were imported into the String database for analysis, and the protein-protein interaction (PPI) map was obtained, as shown in the Fig. 4D. The network contains 54 nodes and 596 edges. The top five nodes in terms of degree value are serine/threonine kinase 1 (Akt1), b-cell lymphoma 2 (Bcl2), glycogen synthase kinase 3β (Gsk3b), mitogen-activated protein kinase 14 (Mapk14) and matrix metalloproteinase-9 (Mmp9), indicating that these nodes are in the core position in the PPI network and are closely connected. The above five gene targets may be the core targets of drug treatment of myocardial hypertrophy, and the mechanism of drug efficacy may be related to the expression of these five genes (Fig. 4D, Table S5 in Supporting information). Then, the enrichment analysis of the target was carried out using the DAVID database, and the above gene ontology (GO) enrichment diagram (Fig. 4E) was obtained. The vertical coordinate represented each item of GO, and the horizontal coordinate represented the number of targets enriched to the same item. Biological process (BP) is mainly involved in the negative regulation of apoptosis, the positive regulation of cell proliferation, the positive regulation of protein phosphorylation and the positive regulation of endothelial cell proliferation. Molecular function (MF) mainly includes enzyme binding, receptor binding, protease binding, etc. Cellular component (CC) mainly contains mitochondria, protein complexes, cell intima binding organelles, and so on. According to the analysis of the graph (Fig. 4E), a total of 290 GO enrichment items were obtained, among which 193 belonged to BP and 45 belonged to CC, while 52 belongs to MF. After that, enrichment analysis of Kyoto encyclopedia of genes and genomes (KEGG) pathway was carried out on the target. The longitudinal coordinate was different KEGG pathway, bubble size was the number of genes, horizontal coordinate was fold enrichment, and color depth was also −lg(P). A total of 100 signal pathways could be enriched, and enrichment pathways were sorted according to P-value. The bubble map of the first 20 channels was drawn for visual analysis (Fig. 4F). In view of the above network pharmacological predictions, we verified the above five gene targets, and the results showed that the mRNA expression level of Mapk14 in the PE model group was significantly decreased after the addition of compound 3 (Fig. 4G), indicating that Mapk14 may be involved in the regulation of compound 3 on cardiac hypertrophic disease (more details of Fig. 4 are shown in Supporting information).

    Figure 4

    Figure 4.  Network pharmacology predicts the anti-myocardial hypertrophy target of compound 3. (A) Composition-target map. (B) Venn diagram of drug and cardiac hypertrophy targets. (C) Component-target-pathway-disease network diagram. (D) PPI network diagram. (E) GO enrichment analysis of active targets for drug treatment of myocardial hypertrophy (the top 10 of BP, CC and MF were selected for visualization). (F) KEGG metabolic pathway enrichment analysis diagram. (G) Identification of anti-myocardial hypertrophy target of compound 3. Data are presented as mean ± SEM (n = 3). **P < 0.01 vs. CTL; ##P < 0.01 vs. PE group.

    In summary, compounds 17 with unprecedented 5/6/6 core backbones were isolated from Strophioblachia glandulosa. Compounds 2 and 3 exhibited potent anti-myocardial hypertrophy effect by inhibiting the expression levels of ANP and MYH7 proteins. In particular, Mapk14 may be involved in the regulation of compound 3 on cardiac hypertrophic disease confirmed by network pharmacology prediction and experimental verification. Altogether, our results may provide a whole new bioactive scaffold for the further research of related cardiac hypertrophic diseases.

    The authors declare that they have no known competing financial interests or personal relationships that could have appeared to influence the work reported in this paper.

    Xue-Wen Wu: Writing – original draft, Formal analysis, Data curation. Bin-Bao Wang: Formal analysis, Data curation. Yu Qin: Formal analysis. Yong-Xiang Huang: Formal analysis. Muhammad Aurang Zeb: Formal analysis. Bin Cheng: Formal analysis. Xiao-Li Li: Supervision, Investigation, Funding acquisition. Chang-Bo Zheng: Validation, Supervision, Project administration, Funding acquisition. Wei-Lie Xiao: Supervision, Resources, Project administration, Investigation, Funding acquisition.

    This work was supported financially by the National Natural Science Foundation of China (Nos. 82260682, 22477108, 81960662, 82200550), the Project of Yunnan Characteristic Plant Screening and R&D Service CXO Platform (No. 2022YKZY001), the Yunnan Provincial Science and Technology Department (Nos. 202101AT070154, 202301AT0–70270 and 202401AY070001–303), the Scientific Research Fund Project of Yunnan Provincial Department of Education (No. 2023Y0–797), the Program Innovative Research Team in Science and Technology in Kunming Medical University (No. CXTD202202), the Program for Changjiang Scholars and Innovative Research Team in University (No. IRT-17R94), the Project of Innovative Research Team of Yunnan Province (No. 202005AE160005), the Open Research Foundation of Yunnan Key Laboratory of Bioactive Peptides in Yunnan Province (No. HXDT-2022–1), a grant (No. 2023KF007) from YNCUB, First-Class Discipline Team of Kunming Medical University (No. 2024XKTDPY12), Yunnan Revitalization Talent Support Program, the Yun Ling Scholar Project to W.-L. Xiao. The authors thank Advanced Analysis and Measurement Center of Yunnan University for the sample testing service.

    Supplementary material associated with this article can be found, in the online version, at doi:10.1016/j.cclet.2024.110584.


    1. [1]

      World Health OrganizationWorld Health Statistics Overview 2019: Monitoring health For the SDGs, Sustainable Development Goals, WHO, 2019 https://www.who.int/publications/i/item/9789241565707.

    2. [2]

      C.W. Tsao, A.W. Aday, Z.I. Almarzooq, et al., Circulation 147 (2023) e93–e621.

    3. [3]

      G.G. Schiattarella, J.A. Hill, Circulation 131 (2015) 1435–1447.

    4. [4]

      B. Ren, J.P. Feng, N. Yang, et al., Int. Immunopharmacol. 98 (2021) 107841.

    5. [5]

      C.Y. Lee, H.K. Park, B.S. Lee, et al., Molecules 25 (2020) 5279. doi: 10.3390/molecules25225279

    6. [6]

      J.B. Gao, X.J. Zhang, K. Shang, et al., Chin. Chem. Lett. 31 (2020) 427–430.

    7. [7]

      J.S. Kaunda, Y.J. Xu, R.H. Zhang, et al., Chem. Biodivers. 19 (2022) e202200838.

    8. [8]

      X. Qiu, Y.X. Huang, J. Yuan, et al., J. Nat. Prod. 86 (2023) 1211–1221. doi: 10.1021/acs.jnatprod.2c01115

    9. [9]

      H.L. Jiang, Y.Y. Zhang, H.Y. Mao, et al., J. Org. Chem. 88 (2023) 5936–5943. doi: 10.1021/acs.joc.3c00301

    10. [10]

      C.S. Yang, H.L. Jiang, H.Y. Mao, et al., Tetrahedron 135 (2023) 133331.

    11. [11]

      C.S. Yang, H.L. Jiang, H.Y. Mao, et al., Phytochemistry 221 (2024) 114035.

    12. [12]

      L. Cheng, K.L. Ji, S.G. Liao, et al., Tetrahedron Lett. 57 (2016) 2262–2265.

    13. [13]

      M.M. Zanardi, A.G. Suárez, A.M. Sarottit, J. Org. Chem. 80 (2015) 12526–12534.

    14. [14]

      H. Itokawa, H. Morita, K. Watanabe, Chem. Pharm. Bull. 35 (1987) 1460–1463. doi: 10.1248/cpb.35.1460

    15. [15]

      Y.Y. Cao, K. Li, Y. Li, et al., Pharm. Biol. 58 (2020) 176–183. doi: 10.1080/13880209.2020.1723648

    16. [16]

      Y. Kakimoto, A. Ueda, M. Ito, et al., J. Leg. Med. 137 (2023) 1453–1461. doi: 10.1007/s00414-023-03038-6

  • Figure 1  Structures of compounds 1–7.

    Figure 2  Key 2D correlations, and X-ray crystallographic structure of compounds 1 and 7.

    Figure 3  The compounds exhibited an anti-myocardial hypertrophy effect. (A) Quantitative reverse transcription polymerase chain reaction (qRT-PCR) was used to detect the effect of the compounds on the mRNA expression of Nppa and Myh7. (B) The cytotoxicity of the compounds was detected by CCK-8 assay. (C) Western blot to detect the effect of the compounds (50 µmol/L) on ANP and MYH7. (D) Quantitative analysis of ANP protein levels in NRCMS by Western blot. (E) Quantitative analysis of MYH7 protein levels in NRCMS by Western blot. Data are presented as mean ± standard error of the mean (SEM) (n = 3). **P < 0.01 vs. CTL; #P < 0.05, ##P < 0.01 vs. PE group. GAPDH, glyceraldehyde-3-phosphate dehydrogenase.

    Figure 4  Network pharmacology predicts the anti-myocardial hypertrophy target of compound 3. (A) Composition-target map. (B) Venn diagram of drug and cardiac hypertrophy targets. (C) Component-target-pathway-disease network diagram. (D) PPI network diagram. (E) GO enrichment analysis of active targets for drug treatment of myocardial hypertrophy (the top 10 of BP, CC and MF were selected for visualization). (F) KEGG metabolic pathway enrichment analysis diagram. (G) Identification of anti-myocardial hypertrophy target of compound 3. Data are presented as mean ± SEM (n = 3). **P < 0.01 vs. CTL; ##P < 0.01 vs. PE group.

  • 加载中
计量
  • PDF下载量:  2
  • 文章访问数:  783
  • HTML全文浏览量:  46
文章相关
  • 发布日期:  2025-08-15
  • 收稿日期:  2024-08-23
  • 接受日期:  2024-10-27
  • 修回日期:  2024-10-22
  • 网络出版日期:  2024-10-29
通讯作者: 陈斌, bchen63@163.com
  • 1. 

    沈阳化工大学材料科学与工程学院 沈阳 110142

  1. 本站搜索
  2. 百度学术搜索
  3. 万方数据库搜索
  4. CNKI搜索

/

返回文章