Molecular tailoring towards two-dimensional organic crystals at the thickness limit

Zhilei Zhang Yanan Sun Xiaosong Shi Xiaozhe Yin Dawei Liu Erjing Wang Jie Liu Yuanyuan Hu Lang Jiang

Citation:  Zhilei Zhang, Yanan Sun, Xiaosong Shi, Xiaozhe Yin, Dawei Liu, Erjing Wang, Jie Liu, Yuanyuan Hu, Lang Jiang. Molecular tailoring towards two-dimensional organic crystals at the thickness limit[J]. Chinese Chemical Letters, 2025, 36(9): 110786. doi: 10.1016/j.cclet.2024.110786 shu

Molecular tailoring towards two-dimensional organic crystals at the thickness limit

English

  • Highly crystallized, ultrathin (≤2 molecular layers) two-dimensional molecular crystals (2DMCs) have been intensively studied in organic field-effect transistors (OFETs) and attracted wide attention for their great prospects in high-frequency circuits [1-3], heterojunctions [4, 5], large-scale flexible, and printed organic electronics [6-9]. In general, the charge carrier transport in OFETs mainly occurs at the first few molecular layers of the semiconductors at the dielectric/semiconductor interface [10, 11]. Thus, compared to bulk organic semiconducting crystals, 2DMCs with a thickness comparable to the conductive channel can achieve more efficient charge transport owing to the suppression of the interlayer screening effect [12, 13]. In addition, tailoring the thickness of molecular crystal from bulk down to ultrathin or even monolayer would significantly reduce the access resistance and improve carrier injection efficiency [14-16]. Ultrathin 2DMCs, especially monolayer molecular crystals (MMCs), also facilitate the direct characterization of intrinsic electrical properties and achieve optimized sensing response [17-22]. Therefore, developing highly ordered, layer-defined ultrathin 2DMCs is significant to the promising field.

    Through unremitting efforts of more than ten years, various growth techniques for ultrathin 2DMCs have been developed. The physical vapor deposition [23], van der Walls epitaxy [19, 24], liquid-liquid interface self-assembly [25-27], and meniscus-guided coating method [28-30] are found effective in preparing high-quality 2DMCs. Meanwhile, a variety of molecular semiconductors have been developed to realize ultrathin 2DMC growth or even MMC growth. These mainly include alkylated thienoacenes, such as 2,7-dioctyl[1]benzothieno[3,2-b][1]benzothiophene (C8-BTBT) [23, 24], 2, 9-didecyldinaphtho[2,3-b: 2′,3′-f]thieno[3,2-b]thiophen (C10-DNTT) [8, 16], and 3,11-dioctyldinaphtho[2,3-d: 2′,3′-d′]benzo[1,2-b: 4,5-b′]dithiophene (C8-DNBDT-NW) [1], acenes, like 2, 6-bis(4-hexylphenyl)anthracene (C6-DPA) [31, 32], thiophene-aryl co-oligomers, such as 2,7-bis(59-hexyl-2, 29-bithien-5-yl)phenanthrene (DH-TTPTT) [33], and 1,4-bis((50-hexyl-2, 20-bithiophen-5-yl)-ethynyl)benzene (HTEB) [14, 34], and several n-type semiconductors, such as dicyanomethylene-substituted fused tetrathienoquinoid (CMUT) [4], NDI3HU-DTYM2[17, 20] and furan-thiophene quinoid (TFT-CN) [35]. These molecules generally have the structural characteristics of symmetric molecules with linear alkyl chain substitutions. Recently, alkyl-substituted asymmetric molecules that adopt a layered herringbone packing were found with significant advantages in reducing crystal thickness to achieve ultrathin 2DMC growth [36-38]. This is because the layered herringbone packing with tail-to-tail contacts between alkyl chains enabled weaker interlayer interactions than aryl-aryl intralayer intermolecular interactions. The successful demonstration of ultrathin polycrystalline films of 2-decyl-7-phenyl-[1]benzothieno[3,2-b][1]benzothiophene (Ph-BTBT-10) with monolayer or bilayer thickness provides a new opportunity for designing molecules to achieve ultrathin 2DMC growth [38]. However, there are few studies on regulating crystal packing to achieve ultrathin or MMC growth by systematically altering the π-conjugation and alkyl chain types through molecular design strategies. Moreover, research on the stability of ultrathin 2DMCs remains limited.

    Based on the analysis above, two typical alkyl chain types, i.e., linear alkyl chains (C6) and branched tert-butyl chains (tBu) are introduced into the terminal of two π-extended anthracene-based cores 2-phenylanthracene (AP), and (E)−2-phenyl-6-styrylanthracene (SAP), to regulate the molecular packing structure to achieve ultrathin 2DMCs growth with the following considerations (Scheme 1a): (i) Different types of terminal alkyl chains are used to weaken interlayer interactions to reduce crystal thickness [39-42] (ii) Benzene and styryl groups are introduced to extend the π-conjugation length to enhance intralayer interactions, further facilitate 2D growth while improving charge transport properties [43-48]. In this case, high-quality ultrathin 2DMCs were obtained for AP-C6 and SAP-C6 with linear n-hexyl group by the physical vapor transport (PVT) method, wherein SAP-C6 obtained MMC with the ultimate crystal thickness. While crystals with a thickness of dozens of nanometers were observed for AP-tBu and SAP-tBu. OFETs based on SAP-C6 MMC exhibited a high mobility of 3.22 cm2 V-1 s-1, and low contact resistance (Rc) of 1.63 kΩ cm, which is ~15 times lower than that of SAP-tBu. Temperature-dependent mobility study revealed that the SAP-C6 transistor exhibits band-like charge transport behavior, and the lowest activation energy among the four materials. Furthermore, the device based on SAP-C6 MMC exhibits excellent thermal stability, maintaining ~70% of its initial performance at 140 ℃ in air, while C6-DPA MMC shows a dramatic performance degradation at 80 ℃. This is the first report on the thermal stability of devices based on MMCs.

    Scheme1

    Scheme1.  (a) The design concept for asymmetric anthracene derivatives. (b) Synthetic route of AP-tBu, AP-C6, SAP-tBu, and SAP-C6.

    As shown in Scheme 1b, AP-tBu and AP-C6 were obtained by taking a simple one-step Suzuki coupling reaction between 2-bromoanthracene and the corresponding boron ester in yields over 80%. SAP-tBu and SAP-C6 were synthesized from 2, 6-diyl-bis(trifluoromethanesulfonate)-anthracene via a two-step Suzuki coupling reaction in an overall yield of 21%. All the compounds were purified by column chromatography on silica gel and then vacuum sublimed before characterization. Their chemical structures were confirmed by 1H NMR, EI-MS, and elemental analysis (Figs. S1-S4 in Supporting information).

    UV–vis absorption spectra of the four compounds were obtained in dichloromethane solution (Fig. 1a). All four compounds showed fine vibrational peaks of typical anthracene derivatives. Compared with the solution, the absorption of these molecules in single crystal states (Fig. S5 in Supporting information) showed a large redshift (24 nm for AP-C6 and AP-tBu, 29 nm for SAP-C6 and SAP-tBu), indicating stronger intermolecular interactions in the aggregation states. The energy gap (Eg) calculated from the onset of the UV–vis absorption spectra was 3.08 eV for AP-C6 and AP-tBu, and 2.91 eV for SAP-C6 and SAP-tBu (Table S1 in Supporting information). The electrochemical properties of the solution were examined by cyclic voltammetry measurements, and the compounds showed a similar electrochemical behavior with irreversible redox peaks (Fig. 1b). The HOMO energy levels were estimated from the onset of the oxidation potentials and the LUMO energy levels were calculated from the HOMO energy levels and the Eg values. The calculated energy levels are presented in Fig. 1c. The almost identical HOMO and LUMO levels of AP-C6 and AP-tBu (~−5.58/~−2.50 eV), SAP-C6 and SAP-tBu (~−5.49/~−2.58 eV) illustrated that enlarging π-conjugation effectively reduces the molecular energy level. In contrast, alkyl substituents have negligible influence on their energy levels, which is almost coincident with density functional theory (DFT) calculations in Fig. S6 (Supporting information), showing that the π-electron density is mainly distributed over the aromatic backbone.

    Figure 1

    Figure 1.  (a) UV-visible absorption and (b) cyclic voltammetry in dichloromethane solution, (c) frontier orbital energy levels, and (d) thermal gravimetric analysis, insets are DSC curves of the four compounds.

    The thermal properties of the obtained compounds were characterized by thermogravimetric analysis (TGA) and differential scanning calorimetry (DSC), as shown in Fig. 1d. All four compounds exhibited good thermal stability and the decomposition temperature (Tdec, 5% weight loss) of the SAP-C6, SAP-tBu, AP-C6, and AP-tBu are 355, 313, 250, and 240 ℃, respectively. The result indicates that the larger π-conjugation and molecular weight (Mw) of SAP-C6 and SAP-tBu could enhance molecular thermal stability [42, 43]. It is worth mentioning that, SAP-C6 (Mw, 441 g/mol) shows a higher Tdec than the molecules with similar Mw, such as the typical anthracene-derived molecule C6-DPA (Mw, 498 g/mol) with Tdec of 310 ℃. This suggests that asymmetric conjugated SAP-C6 exhibits superior thermal stability [49]. In addition. DSC results show that SAP-C6 and AP-C6 have a sharp melting transition peak during heating and an exothermic crystallization peak during cooling, which are 302 and 171 ℃, and 296 and 168 ℃, respectively.

    High-quality single crystals of AP-tBu (CCDC: 2324909), AP-C6 (CCDC: 2324908), and SAP-tBu (CCDC: 2324910) grown by slow evaporation from chlorobenzene/toluene at room temperature were examined by X-ray analysis, and the data are presented in Table S2 (Supporting information). Despite several attempts, we experienced limited success in obtaining SAP-C6 single crystals of sufficient quality. All three compounds exhibit head-tail layer-by-layer stacking along the molecular long-axis direction (Figs. 2a-c) and typical intra-layer herringbone packing modes (Figs. 2d-f). Notably, AP-C6 and AP-tBu, which contain the same π-system but different types of alkyl chains, show distinct differences in their crystal structures. As illustrated in Figs. 2a and b, the dihedral angle between the anthracene and phenyl moieties is smaller for AP-C6 (7.24°) compared to AP-tBu, which has a larger dihedral angle. Additionally, the herringbone angle for AP-C6 (45.46°) is smaller than that of AP-tBu (49.98°). The stacking distances along the molecular short axes are smaller for AP-C6 (7.472 Å and 5.968 Å) and the C-H-π interactions are enriched in AP-C6 with shorter distances (ranging from 2.823 Å to 2.877 Å) than those observed for AP-tBu (2.831 Å to 2.897 Å). These findings indicate that AP-C6, with its linear alkyl substituent, exhibits better planarity, stronger intralayer interactions, and a higher packing density, which are conducive to enhanced charge transport. In comparison to the crystal structure of AP-tBu, SAP-tBu, which possesses a more extended π-conjugation length, also displays a smaller herringbone packing angle (47.08°) and enriched and shorter C-H-π interactions (distances ranging from 2.800 Å to 2.875 Å). These enhanced intralayer interactions and more compact stacking motifs in C6-substituted and enlarged π-conjugated molecules indicate that improved charge transport behavior could be expected for SAP-tBu.

    Figure 2

    Figure 2.  Single crystal structure of AP-tBu (a, d), AP-C6 (b, e), and SAP-tBu (c, f) single crystals. molecular length, the dihedral angles between the benzene and anthracene moiety, herringbone packing angle, stacking distance and C-H-π interactions are labeled. (g) Transfer integrals of three molecules in all directions, the inset is a schematic diagram of all the transport paths (named π-π stacking and herringbone stacking) of the crystal structure. (h) Interlayer surface energy (Esur) of three molecules in the out-of-plane direction.

    Based on the single crystal structures, charge transfer integrals were calculated by DFT to gain more insights into the charge transport properties of these materials. The transfer integral values of all the transport paths are shown in Fig. 2g, where the hole transfer integrals of AP-C6 in the π-π stacking and herringbone stacking directions are slightly improved compared to AP-tBu, indicating that alkyl substituents have negligible influence on their charge transport properties. SAP-tBu demonstrates charge transfer integrals in both π-π stacking (−14.7 meV) and herringbone stacking (−43.9 meV) directions, which illustrated that enlarging π-conjugation would effectively enhance charge transport.

    In addition, to better investigate and predict the crystal growth behavior of the obtained compounds, the interlayer surface energy (Esur) in the out-of-plane direction of AP-C6, AP-tBu, and SAP-tBu molecules based on their crystal structures were evaluated by DFT calculation [50, 51]. The Esur of AP-C6 (6.27 meV/Å2) with hexyl group is smaller than that of AP-tBu (7.99 meV/Å2) and SAP-tBu (8.51 meV/Å2) with tert-butyl group, suggesting that materials with C6 substituents have weaker interlayer intermolecular interactions. Based on the results above, we speculate that SAP-C6 with stronger intralayer interactions and weaker interlayer interactions, has great potential to grow into ultrathin or even monolayer molecular crystals.

    Micro-nano single crystals of the four compounds were successfully obtained by PVT technique in an argon atmosphere on OTS-treated SiO2/Si substrates. As shown in Fig. 3 and Fig. S7 (Supporting information), SAP-C6 shows ellipsoid-like crystals with lateral sizes of 50–70 µm, and AP-C6 shows rectangular-like crystals with lateral sizes of 40–80 µm. Both SAP-tBu and AP-tBu display ribbon-like shapes, with lengths varying between 40 µm and 160 µm. The polarized optical images confirm their single-crystal properties (Figs. 3e-h). Furthermore, the single crystal thickness of the four compounds was determined by AFM, and the result is shown in Figs. 3i-l. A wide thickness distribution ranging from 15 nm to 45 nm was observed in AP-tBu and SAP-tBu crystals (Fig. S8 in Supporting information), and the typical thickness is 22.5 nm and 21.4 nm, respectively. However, the typical thickness of AP-C6 is about 4.1 nm, which is equivalent to the thickness of two molecular layers. The thickness of SAP-C6 is about 2.7 nm, which is roughly equivalent to monolayer thickness. These findings suggest that by simply tailoring the molecular structures, the crystal thickness could be drastically reduced and achieve 2DMCs. The SAP-C6 with a longer π-conjugation length achieves the ultimate thickness of a monolayer. Under the optimal PVT growth conditions, a large number of uniform ultra-thin molecular crystals was obtained for SAP-C6 (Fig. 3m), with approximately 77.5% of the crystals exhibiting monolayer molecular thickness (Fig. 3n).

    Figure 3

    Figure 3.  (a-d) Optical microscopy images for AP-tBu, AP-C6, SAP-tBu, and SAP-C6 micro-nano single crystals, and (e-h) corresponding POM images. (i-l) AFM images, (m) optical microscopy images of SAP-C6 crystals in large scale. (n) Statistical distribution of crystal thickness of SAP-C6. (o) HR-AFM images of SAP-C6 (the inset corresponds to a 2D FFT pattern). (p) Out-of-plane X-ray diffraction patterns of SAP-C6 single crystal sample.

    High-resolution AFM (HR-AFM) characterizations were conducted to verify their in-plane molecular arrangements, and their corresponding 2D fast Fourier transform (FFT) patterns are shown in Fig. 3o and Fig. S9 (Supporting information). In Fig. 3o, the SAP-C6 MMCs exhibit high crystallinity, with packing parameters of a = 6.26 Å, b = 7.29 Å, and θ = 85.4° extracted from the 2D FFT patterns. In addition, out-of-plane X-ray diffraction (XRD) measurements were conducted to investigate molecular arrangement within the micro-nano crystals, as shown in Fig. 3p and Fig. S10 (Supporting information). The sharp and ordered peaks with the smooth baseline also demonstrated high crystallinity of SAP-C6 single crystals. The extracted d-spacings are about 2.74 nm for SAP-C6 (Fig. 3p), which was in good agreement with the thickness deduced from AFM, confirming the layer-by-layer growth mode of SAP-C6 perpendicular to the substrate.

    The charge transport behavior of micro single-crystal OFET devices with a bottom-gate top-contact (BGTC) configuration using Au as the source and drain electrodes were measured under air conditions [52]. The optical images of the devices are shown in Fig. S11 (Supporting information), and the typical transfer curves in the saturation region and output curves are displayed in Figs. 4a-d and 4e-h, and the distribution of saturation mobility (30 devices) of the four semiconductors is shown in Fig. 4i. The average mobilities are 0.60 ± 0.19, 1.49 ± 0.24, 1.68 ± 0.38, and 2.38 ± 0.46 cm2 V−1 s−1 with the maximum mobility up to 1.02, 2.06, 2.46, 3.22 cm2 V−1 s−1 for AP-tBu, AP-C6, SAP-tBu, SAP-C6, respectively. In addition, the results of threshold voltage (Vth) distribution (Fig. S12 in Supporting information) and on/off current ratio shows that SAP-C6 have a smaller Vth distribution of around −3~1 V as well as higher on/off ratio of ~107. As a contrast, SAP-tBu single-crystal transistors exhibited a wider Vth distribution from −8 V to 3 V and an on/off ratio of ~106. The results show that SAP-C6 MMCs have better electrical performance than the bulk crystals of SAP-tBu.

    Figure 4

    Figure 4.  Typical transfer and output curves of single crystal FET devices of AP-tBu (a, e), AP-C6 (b, f), SAP-tBu (c, g), and SAP-C6 (d, h). (i) Hole mobility distribution (30 devices), (j) the extracted gate voltage-dependent mobility for SAP-C6 and SAP-tBu devices, (k) total device resistance calculated using TLM and plotted as a function of the channel length of the transistors at VG-Vth = −60 V.

    The mobilities at different VG for SAP-C6 and SAP-tBu single crystal devices were extracted, as shown in Fig. 3j, to demonstrate the gate-dependent phenomenon of the device. The mobility of SAP-C6 is almost independent of the gate voltage, indicating the negligible influence of contact resistance and interface traps on device performance. In addition, the good linearity in output curves of SAP-C6 (Fig. 4h) under low source-drain voltages (VDS) also indicates low contact resistance in monolayer crystals based OFETs. Then the transmission-line method (TLM) measurements were conducted on single crystal transistors to estimate the contact resistance [16, 53]. The optical microscopy images layout in Figs. S13a-d (Supporting information) show the FETs with the same channel width and different lengths, which were fabricated on the same single crystals. The width-normalized contact resistance was summarized in Fig. 4j, and for SAP-C6, SAP-tBu, AP-C6, and AP-tBu single crystal OFETs, the RcW is 1.63, 24.32, 3.14, and 45.83 kΩ cm at VG-Vth = −60 V, respectively. The results demonstrate that the contact resistance in monolayer crystals based on SAP-C6 and bilayer crystals based on AP-C6 exhibited lower contact resistance, compared to SAP-tBu and AP-tBu. The larger contact resistance observed in the latter may be attributed to access resistance resulting from the thickness of the crystals.

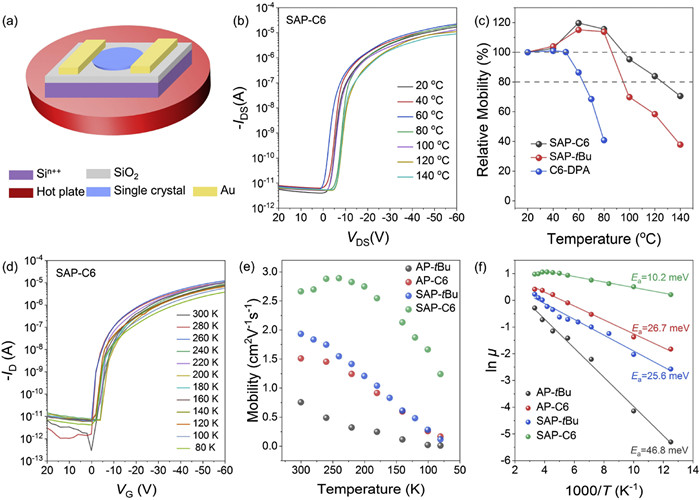
    To gain insights into the thermal stability of devices based on SAP-C6 and SAP-tBu, single-crystal FETs were measured in situ at elevated temperatures, the testing system is shown in Fig. 5a. The transfer curves of devices are shown in Fig. 5b and Fig. S14 (Supporting information), and the corresponding mobility changes as a function of temperatures are summarized in Fig. 5c. It can be seen that the mobility of the device based on SAP-C6 MMC showed an initial increase when the temperature raised from 20 ℃ to 80 ℃ and then a decrease on heating above 80 ℃. Though further heating the device resulted in a mobility drop, the mobility remained 83% of the initial value at 120 ℃, and ~70% even at 140 ℃. In contrast, SAP-tBu FETs exhibit a substantial decrease in mobility to ~70% when heated at 100 ℃. The improved thermal stabilities of SAP-C6 OFETs compared to SAP-tBu can be partially related to their higher decomposition temperature [54]. The contact quality of the dielectric/single crystal/gold electrodes is also essential for the electronic performance stability at elevated testing temperatures, which needs more in-depth study. For comparison, similar measurements were conducted on C6-DPA, which is a typical anthracene-derived molecule known for preparing MMCs (Fig. S14 in Supporting information) [31, 32] and corresponding MMCs used here were prepared by PVT technique. As shown in Fig. 5c, the mobility of the C6-DPA MMC-based device drops to ~40% of the initial value when heated at 80 ℃. The significant difference in MMC device thermal stability between C6-DPA and SAP-C6 with similar molecular weights further highlights the superior thermal stability of asymmetric SAP-C6 molecular. Notably, this is the first report on the thermal stability of MMC devices.

    Figure 5

    Figure 5.  (a) Schematic image of devices thermal stability measurement system. (b) Transfer curves at various temperatures for SAP-C6 single crystal FET. (c) Temperature-dependent mobilities of SAP-C6, SAP-tBu, and C6-DPA single crystal devices. (d) Transfer curves of SAP-C6 single crystal FET at temperatures ranging from 300 K to 80 K. (e) The extracted mobility at given temperatures. (f) The plot of 1000/T-lnµ and the extracted activation energy Ea.

    Furthermore, the charge transport physics of the four single-crystal materials was studied by executing temperature-dependent electrical characterizations. The transfer curves of the four devices show different temperature dependence from 300 K to 80 K (Fig. 5d and Fig. S15 in Supporting information). The extracted mobilities versus temperatures plot is shown in Fig. 5e. For SAP-C6, the mobility increases slightly with decreasing temperature from 300 K to 240 K, exhibiting the band-like transport characteristics, and then turns to decreases with decreasing temperature, showing hopping transport behaviours. In contrast, the mobilities of SAP-tBu, AP-C6, and AP-tBu consistently decrease during cooling, with an accelerating decrease rate, suggesting that charge carriers are becoming trapped in shallow traps as decreasing the temperatures. Activation energy (Ea) values can be extracted from the slope of the mobility versus temperature plot (Fig. 5f). For SAP-C6, SAP-tBu, AP-C6, and AP-tBu, the Ea values are 10.2, 25.6, 26.7, and 46.8 meV, respectively. The lower Ea value of SAP-C6 suggests a reduced level of defects in the active layer of its single-crystal devices.

    In summary, four novel asymmetric molecules based on π-extended anthracene-based cores with varied alkyl chains were developed. In this case, aryl substitutions are introduced to extend the π-conjugation length and enhance intralayer interactions, asymmetric alkyl side-chain engineering is adopted to weaken the interlayer interactions, the tailoring of molecular structures synergistically facilitates the growth of 2DMCs and MMCs. High quality MMCs were achieved for SAP-C6 with linear n-hexyl and larger π-conjugation, and OFETs based on SAP-C6 MMC exhibited a high mobility of 3.22 cm2 V-1 s-1, and lowest contact resistance (Rc) of 1.63 kΩ cm among the four materials developed here. Temperature-dependent mobility study revealed that the SAP-C6 transistor exhibits band-like charge transport behavior from 300 K to 240 K, and the lowest activation energy among the four materials from 240 K to 80 K. Furthermore, the device based on SAP-C6 MMC exhibits excellent thermal stability, maintaining ~70% of its initial performance at 140 ℃ in air. Our study on alkyl-substituted asymmetric anthracene derivatives proves that, the asymmetric molecules are promising in achieve ultrathin 2DMC/MMC growth, and improving the performance by greatly reduce contact resistance, and even thermal stability in OFETs.

    The authors declare that they have no known competing financial interests or personal relationships that could have appeared to influence the work reported in this paper.

    Zhilei Zhang: Writing – review & editing, Writing – original draft, Visualization, Investigation, Conceptualization. Yanan Sun: Visualization, Software, Data curation. Xiaosong Shi: Validation, Supervision, Methodology. Xiaozhe Yin: Visualization, Software. Dawei Liu: Visualization, Software, Methodology. Erjing Wang: Supervision, Project administration, Investigation. Jie Liu: Writing – review & editing, Validation, Supervision, Methodology, Funding acquisition. Yuanyuan Hu: Writing – review & editing, Visualization, Validation. Lang Jiang: Writing – review & editing, Supervision, Resources, Funding acquisition, Formal analysis, Conceptualization.

    This work was supported by the Ministry of Science and Technology of China through the National Key R & D Plan (Nos. 2022YFA1205900, 2022YFB3603801), Chinese Academy of Sciences (Hundred Talents Plan, Youth Innovation Promotion Association), the Strategic Priority Research Program of Sciences (No. XDB0520201) and Young Scientists in Basic Research (No. YSBR-053). National Natural Science Foundation of China (Nos. T2225028, 22475219, 22075295, U22A6002, U21A20497).

    Supplementary material associated with this article can be found, in the online version, at doi:10.1016/j.cclet.2024.110786.


    1. [1]

      A. Yamamura, S. Watanabe, M. Uno, M. Mitani, et al., Sci. Adv. 4 (2018) eaao5758.

    2. [2]

      B. Crone, A. Dodabalapur, Y.Y. Lin, et al., Nature 403 (2000) 521–523.

    3. [3]

      Q. Wang, J. Qian, Y. Li, et al., Adv. Funct. Mater. 26 (2016) 3191–3198. doi: 10.1002/adfm.201600304

    4. [4]

      Y. Shi, L. Jiang, J. Liu, et al., Nat. Commun. 9 (2018) 2933.

    5. [5]

      M. Xiao, J. Liu, C. Liu, et al., Nat. Commun. 12 (2021) 2774.

    6. [6]

      Y. Wang, L. Sun, C. Wang, F. et al., Chem. Soc. Rev. 48 (2019) 1492–1530. doi: 10.1039/c8cs00406d

    7. [7]

      X. Zhang, X. Zhao, L. Rao, et al., Nano Res. 15 (2021) 858–863.

    8. [8]

      Z. Luo, B. Peng, J. Zeng, et al., Nat. Commun. 12 (2021) 1928. doi: 10.37188/cjl.20210304

    9. [9]

      Y. Guo, K. Li, D. Zou, et al., Adv. Electron. Mater. 10 (2023) 2300570.

    10. [10]

      H. Chen, S. Dong, M. Bai, et al., Adv. Mater. 27 (2015) 2113–2120. doi: 10.1002/adma.201405378

    11. [11]

      Y. Fan, J. Liu, W. Hu, et al., J. Mater. Chem. C 8 (2020) 13154–13168. doi: 10.1039/d0tc03193c

    12. [12]

      M. Pei, J. Guo, B. Zhang, et al., Adv. Phy. X 5 (2020) 1747945. doi: 10.1080/23746149.2020.1747945

    13. [13]

      E.M. Mannebach, J.W. Spalenka, P.S. Johnson, et al., Adv. Funct. Mater. 23 (2013) 554–564. doi: 10.1002/adfm.201201548

    14. [14]

      L. Jiang, J. Liu, Y. Shi, et al., J. Mater. Chem. C 7 (2019) 3436–3442. doi: 10.1039/c9tc00443b

    15. [15]

      J. Zeng, D. He, J. Qiao, et al., Nat. Commun. 14 (2023) 324.

    16. [16]

      B. Peng, K. Cao, A.H.Y. Lau, et al., Adv. Mater. 32 (2020) 2002281.

    17. [17]

      H. Li, Y. Shi, G. Han, et al., Angew. Chem. Int. Ed. 59 (2020) 4380–4384. doi: 10.1002/anie.201916397

    18. [18]

      Y. Dong, S. Chertopalov, K. Maleski, et al., Adv. Mater. 30 (2018) 1705714.

    19. [19]

      Y. Zhang, J. Qiao, S. Gao, et al., Phys. Rev. Lett. 116 (2016) 016602. doi: 10.1103/PhysRevLett.116.016602

    20. [20]

      F. Qiu, J. Liu, H. Zhang, et al., Adv. Electron. Mater. 6 (2020) 2000579.

    21. [21]

      J. Liu, W. Hu, L. Jiang, Sci. Bull. 68 (2023) 1474–1477.

    22. [22]

      J. Liu, L. Jiang, W. Hu, et al., Sci. China Chem. 62 (2019) 313–330.

    23. [23]

      D. He, Y. Zhang, Q. Wu, et al., Nat. Commun. 5 (2014) 5162.

    24. [24]

      D. He, J. Qiao, L. Zhang, et al., Sci. Adv. 3 (2017) e1701186.

    25. [25]

      J. Zhang, J. Guo, H. Zhang, et al., Precis. Chem. 2 (2024) 380–397. doi: 10.1021/prechem.3c00124

    26. [26]

      J. Wang, X. Wu, J. Pan, et al., Adv. Mater. 32 (2020) 2003315.

    27. [27]

      J. Wang, Z. Ren, J. Pan, et al., Adv. Mater. 35 (2023) 2301017.

    28. [28]

      Z. Chen, S. Duan, X. Zhang, et al., Mater. Chem. Front. 8 (2024) 2227–2272. doi: 10.1039/d3qm01281f

    29. [29]

      F. Sheng, W. Deng, X. Ren, et al., Adv. Mater. 36 (2024) 2401822.

    30. [30]

      X. Zhang, X. Dai, H. Wan, et al., Adv. Funct. Mater. 34 (2024) 2314134.

    31. [31]

      W. Hu, J.Y. Yao, Y.Z. Zhang, et al., Angew. Chem. Int. Ed. 58 (2019) 16082–16086.

    32. [32]

      J. Liu, Y. Yu, J. Liu, et al., Adv. Mater. 34 (2022) 2107574.

    33. [33]

      H. Tian, J. Wang, J. Shi, et al., J. Mater. Chem. 15 (2005) 3026–3033. doi: 10.1039/b504044b

    34. [34]

      L. Jiang, H. Dong, Q. Meng, et al., Adv. Mater. 23 (2011) 2059–2063. doi: 10.1002/adma.201004551

    35. [35]

      X. Zhu, Y. Zhang, X. Ren, et al., Small. 15 (2019) 1902187.

    36. [36]

      S. Inoue, T. Higashino, S. Arai, et al., Chem. Sci. 11 (2020) 12493–12505. doi: 10.1039/d0sc04461j

    37. [37]

      Y. Dong, Y. Sun, J. Liu, et al., Adv. Sci. 9 (2022) 2106085.

    38. [38]

      H. Iino, T. Usui, J. Hanna, Nat. Commun. 6 (2015) 6828.

    39. [39]

      G. Schweicher, V. Lemaur, C. Niebel, et al., Adv. Mater. 27 (2015) 3066–3072. doi: 10.1002/adma.201500322

    40. [40]

      J. Li, Z. Qin, Y. Sun, et al., Angew. Chem. Int. Ed. 134 (2022) e202206825.

    41. [41]

      K. He, W. Li, H. Tian, et al., ACS Appl. Mater. Interfaces 9 (2017) 35427–35436. doi: 10.1021/acsami.7b10675

    42. [42]

      J.Y. Back, T.K. An, Y.R. Cheon, et al., ACS Appl. Mater. Interfaces 7 (2015) 351–358. doi: 10.1021/am5063103

    43. [43]

      F. Qiu, Y. Dong, J. Liu, et al., J. Mater. Chem. C 8 (2020) 6006–6012. doi: 10.1039/d0tc01122c

    44. [44]

      X. Shi, Y. Sun, J. Liu, et al., J. Mater. Chem. C 11 (2023) 11822–11827. doi: 10.1039/d3tc02533k

    45. [45]

      M. Chen, L. Yan, Y. Zhao, et al., J. Mater. Chem. C 6 (2018) 7416–7444. doi: 10.1039/c8tc01865k

    46. [46]

      X. Zhang, G. Zhao, Y. Zhen, et al., J. Mater. Chem. C 3 (2015) 5368–5371.

    47. [47]

      M. Chen, Y. Zhao, L. Yan, et al., Angew. Chem. Int. Ed. 56 (2017) 722–727. doi: 10.1002/anie.201608131

    48. [48]

      J. Liu, H. Zhang, H. Dong, et al., Nat. Commun. 6 (2015) 10032.

    49. [49]

      Y. Dong, Y. Guo, H. Zhang, et al., Front. Chem. 7 (2019) 11.

    50. [50]

      R. Li, X. Zhang, H. Dong, et al., Adv. Mater. 28 (2016) 1697–1702. doi: 10.1002/adma.201504370

    51. [51]

      L.F. Drummy, P.K. Miska, D. Alberts, et al., J. Phy. Chem. B 110 (2006) 6066–6071. doi: 10.1021/jp054951g

    52. [52]

      Q. Tang, L. Jiang, Y. Tong, et al., Adv. Mater. 20 (2008) 2947–2951. doi: 10.1002/adma.200800669

    53. [53]

      Y. Sun, X. Shi, Y. Yu, et al., Adv. Sci. 11 (2024) 2400112.

    54. [54]

      J. Zhang, X. Lu, Y. Sun, et al., ACS Mater. Lett. 4 (2022) 548–553. doi: 10.1021/acsmaterialslett.1c00844

  • Scheme1  (a) The design concept for asymmetric anthracene derivatives. (b) Synthetic route of AP-tBu, AP-C6, SAP-tBu, and SAP-C6.

    Figure 1  (a) UV-visible absorption and (b) cyclic voltammetry in dichloromethane solution, (c) frontier orbital energy levels, and (d) thermal gravimetric analysis, insets are DSC curves of the four compounds.

    Figure 2  Single crystal structure of AP-tBu (a, d), AP-C6 (b, e), and SAP-tBu (c, f) single crystals. molecular length, the dihedral angles between the benzene and anthracene moiety, herringbone packing angle, stacking distance and C-H-π interactions are labeled. (g) Transfer integrals of three molecules in all directions, the inset is a schematic diagram of all the transport paths (named π-π stacking and herringbone stacking) of the crystal structure. (h) Interlayer surface energy (Esur) of three molecules in the out-of-plane direction.

    Figure 3  (a-d) Optical microscopy images for AP-tBu, AP-C6, SAP-tBu, and SAP-C6 micro-nano single crystals, and (e-h) corresponding POM images. (i-l) AFM images, (m) optical microscopy images of SAP-C6 crystals in large scale. (n) Statistical distribution of crystal thickness of SAP-C6. (o) HR-AFM images of SAP-C6 (the inset corresponds to a 2D FFT pattern). (p) Out-of-plane X-ray diffraction patterns of SAP-C6 single crystal sample.

    Figure 4  Typical transfer and output curves of single crystal FET devices of AP-tBu (a, e), AP-C6 (b, f), SAP-tBu (c, g), and SAP-C6 (d, h). (i) Hole mobility distribution (30 devices), (j) the extracted gate voltage-dependent mobility for SAP-C6 and SAP-tBu devices, (k) total device resistance calculated using TLM and plotted as a function of the channel length of the transistors at VG-Vth = −60 V.

    Figure 5  (a) Schematic image of devices thermal stability measurement system. (b) Transfer curves at various temperatures for SAP-C6 single crystal FET. (c) Temperature-dependent mobilities of SAP-C6, SAP-tBu, and C6-DPA single crystal devices. (d) Transfer curves of SAP-C6 single crystal FET at temperatures ranging from 300 K to 80 K. (e) The extracted mobility at given temperatures. (f) The plot of 1000/T-lnµ and the extracted activation energy Ea.

  • 加载中
计量
  • PDF下载量:  1
  • 文章访问数:  1946
  • HTML全文浏览量:  46
文章相关
  • 发布日期:  2025-09-15
  • 收稿日期:  2024-10-10
  • 接受日期:  2024-12-19
  • 修回日期:  2024-12-06
  • 网络出版日期:  2024-12-20
通讯作者: 陈斌, bchen63@163.com
  • 1. 

    沈阳化工大学材料科学与工程学院 沈阳 110142

  1. 本站搜索
  2. 百度学术搜索
  3. 万方数据库搜索
  4. CNKI搜索

/

返回文章