Theoretical insight into the active sites for chlorobenzene oxidation: From phosphate to M3 clusters

Jin Li Xin Chen Aling Chen Zhi-Qiang Wang Dengsong Zhang

Citation:  Jin Li, Xin Chen, Aling Chen, Zhi-Qiang Wang, Dengsong Zhang. Theoretical insight into the active sites for chlorobenzene oxidation: From phosphate to M3 clusters[J]. Chinese Chemical Letters, 2025, 36(8): 110527. doi: 10.1016/j.cclet.2024.110527 shu

Theoretical insight into the active sites for chlorobenzene oxidation: From phosphate to M3 clusters

English

  • The rational design of different catalysts for heterogeneous catalysis is a popular subject among scientists, especially in environmental catalysis [1]. It is well known that aromatic chlorinated volatile organic compounds, such as polychlorinated dibenzofurans (PCDFs) and polychlorinated biphenyls (PCBs), which are also known as dioxins, are considered the most toxic pollutants [2]. It can be particularly challenging to treat such complex molecules. Chlorobenzene (PhCl) is often used as a model molecule to study the degradation of hazardous pollutants due to its similarity with dioxin. Many efforts have been made to degrade it [3], and catalytic oxidation is one of the most commonly used strategies [4]. However, most studies of catalytic reactions tend to focus only on the overall redox and acid abilities of catalysts while neglecting the enhancement of the activation of PhCl molecule by rational design of active sites.

    Ceria-based catalysts are effective for PhCl oxidation reactions due to their excellent redox ability and highly localized 4f electrons [5], and phosphorizing the surface of Ce-based catalysts is a common strategy to improve their catalytic activity further [6-9]. The introduction of phosphate can generate a variety of active oxygen species and enhance the redox capability during the oxidation and chlorine removal stages of PhCl catalytic oxidation. This process mainly involves the cleavage of the C-Cl bond, the opening of the benzene ring, and the deep oxidation of PhCl. However, the results of previous studies revealed that the adsorption of PhCl during the reaction was underestimated due to its physical adsorption properties [6, 10].

    In this work, we systematically calculated the different phosphate groups (HxPO4) on the CeO2 surface and confirmed a covalent interaction between H2PO4 and PhCl by spin-polarized density functional theory (DFT) calculation. The results show that the PhCl is physically adsorbed on the CeO2 system, which helped us design active sites to activate the PhCl molecules. We also find that the Ru3/CeO2 surface can effectively enhance the adsorption activation of PhCl, which is mainly attributed to the fact that the loading planar sites with a suitable orbital of the system can distort and break the p-π conjugation of PhCl. This work provides theoretical insights into the rational design of effective Ce-based catalysts for complex molecule conversion, which will also give some valuable explanations for experimental results.

    We constructed a series of phosphorylated CeO2 (111) models (P/CeO2) and analyzed their stability (Fig. 1). The calculated results show that the P/CeO2-a system is less stable due to the presence of an unstable P═O bond (Figs. 1a and b). In addition, with the dissociation process of H atoms in H3PO4 (Figs. 1c and d), the co-adsorption energies of H and HxPO4 species on the CeO2(111) surface increased and then decreased (Table S1 in Supporting information). Moreover, we also noticed that the geometries and electronic structures of Figs. 1eh are similar, so they can be treated as the same surface model. Thus, the P/CeO2-a, P/CeO2-b, and P/CeO2-c surfaces were considered models for PhCl adsorption (Table S2 in Supporting information).

    Figure 1

    Figure 1.  Calculated structures and LDOS of phosphorylated CeO2 (111) with different HxPO4 (x = 1 or 2). (a, b) P/CeO2-a with one P-O bond, (c, d) P/CeO2-b with two P-OH, (e, f) P/CeO2-c and (g, h) P/CeO2-d differing in the position of surface H. Red: O atoms; yellow: Ce atoms; white: H atoms; prune: P atoms. This notation is used throughout the paper.

    Next, we also analyze the electronic properties of different P/CeO2 surface models. The calculated results show that the position of the HxPO4 orbital (-4.053 eV, Fig. 1d) is also much higher than that of other orbitals (-0.442 eV ~ -0.430 eV) and that the occupancy states of all the orbitals (Figs. 1b, f and h) are slightly lower than the Fermi energy (Ef), resulting in their internal orbitals being in the lower states with lower activity. We also find that the orbital energy level of P/CeO2-b is closest to -4 eV, which is more likely to interact with the PhCl's p-π orbitals than the other orbitals with similar energies. As shown in Figs. S1 and S2 (Supporting information), the orbital in P/CeO2-b and PhCl's π orbitals have the same symmetry. Thus, there might be a possibility that an orbital interaction could appear when PhCl approaches this group.

    We next performed systematic calculations on the adsorption of PhCl on the P/CeO2 surface, which showed that the parallel adsorption of PhCl on the P/CeO2 surfaces are much more stable than the perpendicular adsorption structure and the corresponding adsorption energies are -0.663 eV and -0.293 eV, respectively (Figs. S3 and S4, Table S2 in Supporting information). A careful analysis of the above adsorption configurations also reveals that PhCl will adsorb between a vertical and parallel configuration due to the presence of tetrahedral HxPO4. We also performed an in-depth analysis of the geometrical and electronic structures of the most stable adsorption structures of PhCl on the P/CeO2-a, P/CeO2-b, and P/CeO2-c surfaces.

    Next, we calculated the adsorption PhCl molecules on the P/CeO2-a, P/CeO2-b, and P/CeO2-c surfaces (Figs. 2a-c), which are called PhCl-P/CeO2-a, PhCl-P/CeO2-b and PhCl-P/CeO2-c, respectively. The results show that the PhCl molecule is physically adsorbed at these surfaces. The corresponding adsorption energies are exothermic, about 0.963, 0.701, and 0.824 eV, respectively. One can note that the PhCl adsorbs most weakly on the P/CeO2-b surface, which is attributed to the fact that the PhCl-P/CeO2-b system has two small new states. In addition, we also find that the PhCl's wavefunction images (WF) of two new states around seventh highest occupied molecule orbital (HOMO7) are broken HOMO7 shapes, while the middle one is a whole HOMO7 shape (Figs. 2dl). These three fully occupied states can be characterized as bonding, anti-bonding, and non-bonding orbitals from low to high energy levels according to Hückel method [11-13]. PhCl's HOMO7 and H2PO4 orbitals can be treated as two individual states, forming these new orbitals through coupling and overlapping, i.e., covalent or orbital interactions. Therefore, the fully occupied anti-bonding makes PhCl-P/CeO2-b unstable.

    Figure 2

    Figure 2.  Calculated adsorption energies and structures of adsorption PhCl on (a) PhCl-P/CeO2-a, (b) PhCl-P/CeO2-b, and (c) PhCl-P/CeO2-c surfaces. The corresponding LDOS on the PhCl molecule (d-f), the enlarged states around its HOMO7 (g-i), and three wavefunction images with corresponding ones labeled by different dots (j-l) are also shown.

    Moreover, the dipole-dipole or Coulomb interactions on the adsorption strength of the reactant molecules must be addressed. Using the charge density difference calculations, we show a significant charge transfer between PhCl and P/CeO2 surfaces (Figs. 3ac) and that species with high electron density can attract species with low electron density. Aside from the attraction between O and H (Figs. 3a and c), and Cl and H (Fig. 3b), there is also an accumulation of electron density in the ortho H of Cl on the PhCl-P/CeO2-b system (Fig. 3b). Combined with the anti-bonding image in Fig. 2, this phenomenon again confirms the existence of strong orbital interactions between PhCl and PO42− on the PhCl-P/CeO2-b. Though the adsorption energy exceeds the usual physical adsorption energy, the charge density difference shows no electron transfer between the adsorption site and PhCl. And the distances between PhCl and HxPO4 are all larger than 2 Å with PhCl no reformation. This evidence indicates that PhCl still physically adsorbs on these P/CeO2 slabs.

    Figure 3

    Figure 3.  The calculated charge density difference of three representing adsorption configurations on the HxPO4/CeO2 (x = 1 or 2) surfaces, where the pink part shows the reduction of electron density and the blue area represents the opposing situation. The PhCl adsorbed on the (a) P/CeO2-a, (b) P/CeO2-b, and (c) P/CeO2-c surfaces. The isosurface value is set as 0.003 e/Å.

    From the above discussion, we can find that by constructing planar catalytic material structures, we can fully ensure that the active site orbitals match the symmetry of the PhCl π-frontier orbitals. Therefore, a new type of catalytic site consisting of three single-atom clusters (M3 clusters) has been proposed, and these models are called single-atom cluster catalysts (SACCs), which can interact with the PhCl, e.g., the CeO2 (111) surface anchors M3 clusters differ from conventional transition metal close-packed surface models (Fig. S5 in Supporting information) in that M3 can remain in a narrow state such as atomic orbitals to interact with molecular orbitals, thereby enhancing covalent interactions with a more precise energy match, whereas Fe3 and Ru3 are preferentially considered.

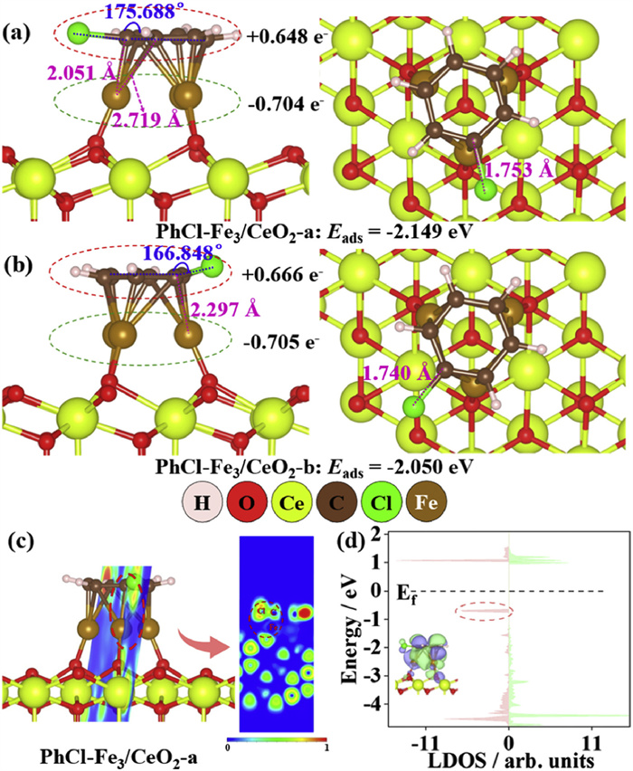
    As a classical elemental, Fe was chosen due to its ability to donate electrons to N2, which is also a similar π orbital system [14], and since the ground state of Fe3 is ferromagnetic (Table S3 in Supporting information) with high magnetic moment values, and all calculations in this work are based on this. Considering the two adsorption configurations according to the symmetry of Fe3 (Fig. 4), we can find that PhCl adsorption is slightly distorted: the bond angle of Cl-C-Cpara (Cpara represents the para-C of Cl) is 175.688° in PhCl-Fe3/CeO2-a (Fig. 4a) and 166.848° in PhCl-Fe3/CeO2-b (Fig. 4b) systems. The bond length of C-Cl is 1.753 Å in the PhCl-Fe3/CeO2-a and 1.740 Å in the PhCl-Fe3/CeO2-b systems. In addition, Bader charge calculations (Table S4 in Supporting information) show that Fe3 transfers 0.648 |e| of electrons to PhCl on the PhCl-Fe3/CeO2-a and 0.666 |e| to PhCl-Fe3/CeO2-b, while the remaining electrons of Fe3 are transferred to the surface. In parallel, we have calculated an in-depth analysis of the electronic structures of the more stable PhCl-Fe3/CeO2-a. The electron localization function (ELF) of PhCl-Fe3/CeO2-a (Fig. 4c) shows the weak electron localization between Fe and C atoms, and the LDOS (Fig. 4d) shows an occupied lowest unoccupied molecule orbital (LUMO), respectively. This calculation suggests that the bonding is more ionic and that Fe3 activates PhCl by donating electrons [15].

    Figure 4

    Figure 4.  Calculated adsorption energies and structures of PhCl adsorbed on (a) the PhCl-Fe3/CeO2-a, (b) PhCl-Fe3/CeO2-b surfaces, and the corresponding Bader charges are also shown. (c) The ELF of PhCl-Fe3/CeO2-a and (d) the LDOS of the adsorbed PhCl molecules on the PhCl-Fe3/CeO2-a surface (inset: the wavefunction image).

    In addition, Ru is also a commonly used catalytic material in PhCl degradation and then we also carried out a systematic study of the properties of the Ru3 cluster (Fig. 5) [16, 17]. As similar to Fe3, the magnetic arrangement was also tested, and the results showed that the Ru species was in a ferromagnetic state (Table S3). We first calculated the adsorption structures of PhCl on the Ru3/CeO2 surfaces (Figs. 5a and b). The results show that the PhCl adsorption was stronger (corresponding adsorption energies are exothermic by 2.796 and 2.829 eV), and there also have similar structures at Ru3 (Figs. 5a and b): The bond angle of Cl-C-Cpara is 160.395° in PhCl-Ru3/CeO2-a and 169.246° in PhCl-Ru3/CeO2-b, the bond length of C-Cl is 1.761 Å in PhCl-Ru3/CeO2-a and 1.746 Å in PhCl-Fe3/CeO2-b. In addition, we also find that the PhCl species get around 0.455 |e| electrons from Ru3 in PhCl-Fe3/CeO2-a and 0.434 |e| on the PhCl-Fe3/CeO2-b surfaces (Table S5 in Supporting information), and these results indicate that the Ru3 transfers more electrons than Fe3. Moreover, the ELF results (Fig. 5c) show the same weak electron sharing between C and Ru sites. And the local density of states (LDOS) of PhCl and enlarged around Ef with WF indicate its electron has been spin-polarized after the PhCl adsorption (Fig. 5d and Fig. S6 in Supporting information). There are two group orbitals near Ef as WF images: The two orbitals have a p character in the Cl atom (HOMO1, Fig. S1, purple), and they are similar to the shape of LUMO1 (blue). The results also show that the PhCl accepts electrons and loses electrons simultaneously in the PhCl/CeO2 systems, suggesting the bidirectional electron transfer mechanism of the M3 cluster [18]. In Fig. 5d, the states and wavefunctions noted by purple and brown dots are both HOMO1-like shapes in Fig. S1 with 2pz at the Cl atom and π shape orbitals at the aromatic ring. The purple one is below Fermi energy, and the brown one is above that, which means that HOMO1 loses electrons. On the opposite, the blue and black noted states are both LUMO1 shapes in Fig. S1 without 2pz at Cl and π orbitals at the aromatic ring. The blue state is below Fermi energy, which indicates that LUMO1 gets electrons. Compared with the Fe3 case, the Bader charge accumulation is much smaller in the Ru3 case. Thus, we believe there is a bidirectional electron transfer mechanism. From the above discussion, we can learn that the PhCl can be activated at the Ru3 site similarly to Fe3, but the mechanism is more complex.

    Figure 5

    Figure 5.  Calculated adsorption energies and structures of PhCl adsorbed on (a) the PhCl-Ru3/CeO2-a, (b) PhCl-Ru3/CeO2-b surfaces and the corresponding Bader charges are also shown. (c) The ELF of PhCl-Ru3/CeO2-a, and (d) the LDOS of the adsorbed PhCl molecules on the PhCl-Ru3/CeO2-a surface. Insets: the corresponding wavefunction image labeled by different dots.

    Interestingly, to achieve the bonding between M and C, we have also calculated a particular main group element: Boron (B), mainly because B can form new species through multi-central bonds like B-C-N compounds [19-21]. In addition, the relevant literature reports that B is often used as an additive for CeO2 catalysts to improve the catalytic performance [22]. Therefore, we systematically calculated the PhCl adsorbed at the B3 site on the B3/CeO2 surfaces (Figs. 6ad). The results indicate that the C-B bond length is shorter, approximately 1.6 Å, compared to Fe3 and Ru3 clusters, typically within the range of a covalent bond. The Bader charge shows that the adsorbed PhCl molecules on the B3/CeO2 systems accept more electrons (Table S6 in Supporting information) than other systems (such as Fe3/CeO2 or Ru3/CeO2).

    Figure 6

    Figure 6.  Calculated adsorption energies and structures of PhCl adsorbed on (a) the PhCl-B3/CeO2-a, (b) PhCl-B3/CeO2-b and (c) PhCl-B3/CeO2-c surfaces, and the corresponding Bader charges are also shown. (d) The calculated structures of B3/CeO2 of three directions of initial C-Cl bond orientations. (e) The ELF of PhCl-B3/CeO2-a, and (f) the LDOS of the adsorbed PhCl molecules on the PhCl-B3/CeO2-a surface. Insets: the corresponding wavefunction image labeled by different dots.

    In addition, the calculated results show that the B-O bond length ranges from 1.2 Å to 1.3 Å, indicating that the loaded B3 forms a B3O3 compound on the CeO2 (111) surface, which is coordinated with Ce. PhCl can accept electrons from B3 sites and the CeO2 surface. We also find that the electron localized at the boron and carbon is much stronger (Fig. 6e), indicating the presence of covalent bonding between B and C species [23]. The calculated LDOS and WF of states below Ef also show two obvious C-B orbital overlaps and twisted frontier orbital shapes (Fig. 6f and Fig. S1); these results also suggest that the molecule accepts electrons through the covalent bonding. We can also find that the heavy deformation energy consumption may be why the adsorption energy is lower than that of Ru3 and Fe3 systems. All total and local DOS of three PhCl-M3/CeO2 are shown in Fig. S7 (Supporting information).

    Out of the three M3 clusters, PhCl adsorbs most strongly (-2.829 eV) on the Ru3 site. In electron structure, according to the Bader charge analysis, the order of electrons acquisition in PhCl is B3 (1.112 |e|) > Fe3 (0.648 |e|) > Ru3 (0.434 |e|) site. The smallest electron transfer can be attributed to the different bidirectional electron transfer mechanisms. As for B3, PhCl extracts more electrons through B3O3 from the surface. Besides the electron structure, the adsorption energy is also determined by the molecular reformation. The first step of PhCl oxidation is believed to be the cleavage of C-Cl and the formation of phenol species, which further develop into other organic intermediates and, finally, CO2 + H2O [24]. The C-Cl bond length indicates the possibility of C-Cl dissociation. The order is Fe3 (1.753 Å) > Ru3 (1.746 Å) > B3 (1.733 Å). This trend reveals that PhCl on the Fe3 site dissociates Cl most easily. But another factor influencing oxidation reaction activity is the C atom bond with Cl, which drives the formation of phenol intermediate. The Bader charge of three C can reveal the activity of this (Tables S4-S6 in Supporting information): Fe3 (C4: 0.114 e), Ru3 (C4: 0.005 e), and B3 (C4: 0.096 e). PhCl on Ru3 has the most positive charged C4. Thus, PhCl on Ru3 can be the most active reactant for the next oxidation step.

    Compared to PhCl on HxPO4/CeO2, PhCl performs much differently on M3 sites. First, the PhCl is deformed on Fe3 or Ru3 sites, which is different from PhCl on P/CeO2. Second, The LDOS of PhCl in Fe3 or Ru3 cases shows an electron transfer, which is not observed in P/CeO2 surfaces. Third, the adsorption ability of Fe3 and Ru3 sites is much stronger than P/CeO2 surfaces. These characters illustrate again that Fe3 and Ru3 sites chemically bond with PhCl and P/CeO2 adsorb PhCl physically.

    So, from the above discussion, we can see that the PhCl adsorbed at the Fe3 and Ru3 sites donates electrons to PhCl and binds to it through stronger ionic interactions, whereas PhCl acts mainly with covalent bonding at the B3 site. Secondly, we can also find that the C atom of the deformed PhCl can interact with boron and break its stable p-π conjugation. The discrepancy may be attributed to the overlap integral (S) and coupling matrix elemental (V) related to the orbitals of M3 and the frontier orbitals of PhCl. In particular, the values of the wider sp orbitals of B3/CeO2 are all larger, enhancing the covalent character of the B-C bond according to the Newns-Anderson model [25].

    In this work, the physical adsorption interaction between PhCl and different phosphorylated CeO2 (111) was studied deeply. A covalent interaction in one case guided us to design a class of tri-cluster M3 adsorption sites to activate PhCl in theory. The analysis involves three clusters: Fe3, Ru3, and B3. Interestingly, in addition to traditional transition metal elements that transfer electrons and form more ionic bonds, boron atoms share electrons with carbon atoms and form more covalent bonds. The broken of p-π conjugation shall activate PhCl and make molecular easier to dissociate C-Cl bond. This will avoid chlorinated organic species at first reaction step. Our research does not only guide a catalyst design for the PhCl degradation but also provides a template or rational descriptor (S or V) for designing catalyst sites for complex molecules according to fundamental theory.

    All authors declare that there are no conflicts of interest, financial or otherwise in this work; and there are no other relationships or activities that can appear to have influenced the submitted work.

    Jin Li: Writing – original draft, Software, Methodology, Investigation, Formal analysis, Data curation, Conceptualization. Xin Chen: Methodology, Investigation. Aling Chen: Writing – review & editing, Writing – original draft, Supervision, Investigation, Funding acquisition, Formal analysis, Data curation, Conceptualization. Zhi-Qiang Wang: Writing – review & editing, Methodology, Investigation, Formal analysis, Data curation. Dengsong Zhang: Supervision, Data curation, Conceptualization.

    The authors acknowledge the support from the National Key Research and Development Program of China (No. 2023YFA1508500) and the National Natural Science Foundation of China (No. 22276120).

    Supplementary material associated with this article can be found, in the online version, at doi:10.1016/j.cclet.2024.110527.


    1. [1]

      V.V. Welborn, L. Ruiz Pestana, T. Head-Gordon, Nat. Catal. 1 (2018) 649–655. doi: 10.1038/s41929-018-0109-2

    2. [2]

      Y. Zhao, J. Meijer, D.I. Walker, et al. Environ. Sci. Technol. 58 (2024) 258–268. doi: 10.1021/acs.est.3c07588

    3. [3]

      Y. Gu, S. Shao, W. Sun, et al., J. Catal. 380 (2019) 375–386.

    4. [4]

      B. Sun, Q. Li, G. Su, et al., Environ. Sci. Technol. 56 (2022) 16292–16302. doi: 10.1021/acs.est.2c05981

    5. [5]

      A. Trovarelli, J. Llorca, ACS Catal. 7 (2017) 4716–4735. doi: 10.1021/acscatal.7b01246

    6. [6]

      X. Dai, X. Wang, Y. Long, et al., Environ. Sci. Technol. 53 (2019) 12697–12705. doi: 10.1021/acs.est.9b05088

    7. [7]

      X. Zhu, X. Yuan, Z. Song, Y. Peng, J. Li, Appl. Catal. B 342 (2024) 123364.

    8. [8]

      L. Chen, Y. Shen, Q. Wang, et al., J. Hazard. Mater. 427 (2022) 128148.

    9. [9]

      Y. Su, K. Cao, Y. Lu, et al., Environ. Sci. Technol. 58 (2024) 1369–1377. doi: 10.1021/acs.est.3c06878

    10. [10]

      G. Li, K. Shen, L. Wang, et al., Appl. Catal. B 286 (2021) 119865.

    11. [11]

      E. Hückel, Z. Phys. 70 (1931) 204–286.

    12. [12]

      E. Hückel, Z. Phys. 72 (1931) 310–337.

    13. [13]

      E. Hückel, Z. Phys. 76 (1932) 628–648.

    14. [14]

      T.M. Buscagan, D.C. Rees, Joule, 3 (2019) 2662–2678.

    15. [15]

      Z.Q. Huang, L.P. Liu, S. Qi, et al., ACS Catal. 8 (2018) 546–554. doi: 10.1021/acscatal.7b02732

    16. [16]

      Z. Song, Y. Peng, X. Zhao, et al., ACS Catal. 12 (2022) 11505–11517. doi: 10.1021/acscatal.2c03782

    17. [17]

      Y. Wang, Z. Liu, Y. Wei, et al., J. Mater. Chem. A 12 (2024) 2949–2958. doi: 10.1039/d3ta06969a

    18. [18]

      P. Shu, X. Qi, Q. Peng, et al., Mol. Catal. 539 (2023) 113036.

    19. [19]

      M. Chen, J. Xu, D. Zhao, et al., Angew. Chem. Int. Ed. 61 (2022) e202205672.

    20. [20]

      P.V. Gaikwad, J. Bang, J. Phys. Chem. C 127 (2023) 2581–2588. doi: 10.1021/acs.jpcc.2c07178

    21. [21]

      Y. Wu, Z. Liu, T. Lu, et al., Inorg. Chem. 62 (2023) 19986–19996. doi: 10.1021/acs.inorgchem.3c02675

    22. [22]

      P. Zhang, P. Wang, A. Chen, et al., Environ. Sci. Technol. 55 (2021) 11970–11978. doi: 10.1021/acs.est.1c02882

    23. [23]

      B. Silvi, A. Savin, Nature 371 (1994) 683–686.

    24. [24]

      J. Lichtenberger, M.D. Amiridis, J. Catal. 223 (2004) 296–308.

    25. [25]

      D.M. Newns, Phys. Rev. 178 (1969) 1123–1135.

  • Figure 1  Calculated structures and LDOS of phosphorylated CeO2 (111) with different HxPO4 (x = 1 or 2). (a, b) P/CeO2-a with one P-O bond, (c, d) P/CeO2-b with two P-OH, (e, f) P/CeO2-c and (g, h) P/CeO2-d differing in the position of surface H. Red: O atoms; yellow: Ce atoms; white: H atoms; prune: P atoms. This notation is used throughout the paper.

    Figure 2  Calculated adsorption energies and structures of adsorption PhCl on (a) PhCl-P/CeO2-a, (b) PhCl-P/CeO2-b, and (c) PhCl-P/CeO2-c surfaces. The corresponding LDOS on the PhCl molecule (d-f), the enlarged states around its HOMO7 (g-i), and three wavefunction images with corresponding ones labeled by different dots (j-l) are also shown.

    Figure 3  The calculated charge density difference of three representing adsorption configurations on the HxPO4/CeO2 (x = 1 or 2) surfaces, where the pink part shows the reduction of electron density and the blue area represents the opposing situation. The PhCl adsorbed on the (a) P/CeO2-a, (b) P/CeO2-b, and (c) P/CeO2-c surfaces. The isosurface value is set as 0.003 e/Å.

    Figure 4  Calculated adsorption energies and structures of PhCl adsorbed on (a) the PhCl-Fe3/CeO2-a, (b) PhCl-Fe3/CeO2-b surfaces, and the corresponding Bader charges are also shown. (c) The ELF of PhCl-Fe3/CeO2-a and (d) the LDOS of the adsorbed PhCl molecules on the PhCl-Fe3/CeO2-a surface (inset: the wavefunction image).

    Figure 5  Calculated adsorption energies and structures of PhCl adsorbed on (a) the PhCl-Ru3/CeO2-a, (b) PhCl-Ru3/CeO2-b surfaces and the corresponding Bader charges are also shown. (c) The ELF of PhCl-Ru3/CeO2-a, and (d) the LDOS of the adsorbed PhCl molecules on the PhCl-Ru3/CeO2-a surface. Insets: the corresponding wavefunction image labeled by different dots.

    Figure 6  Calculated adsorption energies and structures of PhCl adsorbed on (a) the PhCl-B3/CeO2-a, (b) PhCl-B3/CeO2-b and (c) PhCl-B3/CeO2-c surfaces, and the corresponding Bader charges are also shown. (d) The calculated structures of B3/CeO2 of three directions of initial C-Cl bond orientations. (e) The ELF of PhCl-B3/CeO2-a, and (f) the LDOS of the adsorbed PhCl molecules on the PhCl-B3/CeO2-a surface. Insets: the corresponding wavefunction image labeled by different dots.

  • 加载中
计量
  • PDF下载量:  1
  • 文章访问数:  827
  • HTML全文浏览量:  55
文章相关
  • 发布日期:  2025-08-15
  • 收稿日期:  2024-04-03
  • 接受日期:  2024-10-03
  • 修回日期:  2024-08-21
  • 网络出版日期:  2024-10-05
通讯作者: 陈斌, bchen63@163.com
  • 1. 

    沈阳化工大学材料科学与工程学院 沈阳 110142

  1. 本站搜索
  2. 百度学术搜索
  3. 万方数据库搜索
  4. CNKI搜索

/

返回文章