Asymmetric Büchner reaction and arene cyclopropanation via copper-catalyzed controllable cyclization of diynes
English
Asymmetric Büchner reaction and arene cyclopropanation via copper-catalyzed controllable cyclization of diynes
-
Catalytic asymmetric dearomatization (CADA) has emerged as a powerful strategy for transforming planar aromatic systems into three-dimensional chiral architectures [1]. Notably, the Büchner reaction and arene cyclopropanation excel in constructing complex polycyclic frameworks [2]. However, current methods predominantly rely on diazo compounds as carbene precursors (Scheme 1a), which pose safety risks and limit functional group compatibility. Additionally, asymmetric cyclopropanation of simple benzenes and naphthalenes remains challenging due to issues such as intermediate isomerization (from norcaradiene to cycloheptatriene) and poor stereocontrol.
Scheme 1
Recent advances in non-diazo asymmetric Büchner reactions, primarily utilizing alkynes and studied by Nemoto [3] and Zhu et al. [4], have opened up new possibilities (Scheme 1b). Nevertheless, achieving divergent synthesis of chiral cycloheptatrienes and benzonorcaradienes from a single catalytic system still remains a huge challenge. Furthermore, arenes cyclopropanation reactions based on alkynes have yet to be reported. To address these issues, Ye and colleagues have successfully introduced an efficient copper-catalyzed strategy that utilizes vinyl cation intermediates to facilitate enantioselective Büchner reactions and arene cyclopropanations, providing a unified platform for the synthesis of structurally diverse chiral scaffolds (Scheme 1c) [5].
The authors have demonstrated remarkable versatility of these two types of reactions. For the Büchner reaction, N-propargyl ynamides bearing diverse substituents were efficiently converted into tricyclic cycloheptatrienes in moderate to excellent yields (50%-99%) with high enantioselectivities (80%-98% ee). Ligands, temperature and solvent screening revealed using toluene as the solvent at -20 ℃ was optimal, enhancing both yield and ee (96% ee). Cu-catalyzed asymmetric arene cyclopropanation was developed using naphthalene-substituted ynamide, achieving optimal conditions (0 ℃, 2-MeTHF, SaBOX ligand) to afford tricyclic benzonorcaradiene in 95% yield and 96% ee. Substrates with diverse N-protecting groups, electron-donating/withdrawing substituents afforded benzonorcaradienes with high enantioselectivities (74%-96% ee) and yields (73%-99%).
To demonstrate its practicality, gram-scale reactions and product transformations were explored. Chiral cycloheptatrienes 2 were synthesized on gram-scale, and further elaborations including selective hydrogenation and coupling reactions yielded diverse products with high enantiopurity. Cyclopropane products 3 were also synthesized on gram-scale and underwent various transformations. Almost no erosion of the enantiopurity of the compounds was observed in all these elaborations.
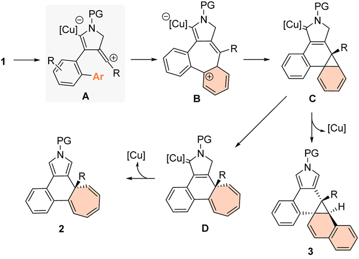
The authors proposed that the Cu(Ⅰ)-catalyzed alkyne activation initiates the reaction (Scheme 2), forming the vinyl cation intermediates A through intramolecular cyclization. For the phenyl substrates, vinyl cations A undergo nucleophilic aryl attack, generating the dearomatized carbocations B that evolve into the Büchner products via copper-carbenoid intermediates C and ring expansion through D to deliver products 2. In contrast, the naphthyl substrates directly form cyclopropane products 3 through analogous carbenoid intermediates C, bypassing ring expansion due to higher energy barriers.
Scheme 2
In summary, Ye and coworkers have disclosed an asymmetric Büchner reaction and the related arene cyclopropanation via copper-catalyzed controllable cyclization of N-propargyl ynamides. By harnessing vinyl cation intermediates, this tunable copper-catalyzed protocol enables divergent synthesis of two pharmacologically relevant scaffolds—cycloheptatrienes and benzonorcaradienes—from alkynes, circumventing traditional diazo limitations. The mechanistic insights into enantiocontrol and pathway selectivity provide a blueprint for future catalysis design. Given the prevalence of these motifs in bioactive molecules, this methodology holds significant promise for natural product synthesis and medicinal chemistry.
Declaration of competing interest
The authors declare that they have no known competing financial interests or personal relationships that could have appeared to influence the work reported in this paper.
CRediT authorship contribution statement
Yi-Kao Xu: Writing – original draft. Guo-Ping Luo: Writing – original draft. Liang-Bin Hu: Writing – review & editing. Wei-Min He: Writing – review & editing.
-
-
[1]
Y.Z. Liu, H. Song, C. Zheng, S.L. You, Nat. Synth. 1 (2022) 203-216. doi: 10.1038/s44160-022-00039-y
-
[2]
C.Y. Shi, G.Y. Zhu, Y. Xu, M.Y. Teng, L.W. Ye, Chin. Chem. Lett. 34 (2023) 108441.
-
[3]
H. Nakayama, S. Harada, M. Kono, T. Nemoto, J. Am. Chem. Soc. 139 (2017) 10188-10191. doi: 10.1021/jacs.7b04813
-
[4]
D. Zhu, T. Cao, K. Chen, S. Zhu, Chem. Sci. 13 (2022) 1992-2000. doi: 10.1039/d1sc05374d
-
[5]
Y.X. Zheng, L.G. Liu, T.Q. Hu, et al., Nat. Commun. 15 (2024) 9227.
-
[1]
-
扫一扫看文章
计量
- PDF下载量: 1
- 文章访问数: 746
- HTML全文浏览量: 30

DownLoad:
下载:
下载: