Cation-disordered Li2FeTiO4 nanoparticles with multiple cation and anion redox for symmetric lithium-ion batteries

Wenjie Ma Yakun Tang Yue Zhang Lang Liu Bin Tang Dianzeng Jia Yuliang Cao

Citation:  Wenjie Ma, Yakun Tang, Yue Zhang, Lang Liu, Bin Tang, Dianzeng Jia, Yuliang Cao. Cation-disordered Li2FeTiO4 nanoparticles with multiple cation and anion redox for symmetric lithium-ion batteries[J]. Chinese Chemical Letters, 2025, 36(9): 110346. doi: 10.1016/j.cclet.2024.110346 shu

Cation-disordered Li2FeTiO4 nanoparticles with multiple cation and anion redox for symmetric lithium-ion batteries

English

  • Lithium-ion batteries (LIBs), the most popular electricity storage technology, have been successfully applied in portable electronics and electric vehicles for more than three decades [1-3]. At present, commercialized LIBs usually use transition metal oxides containing lithium (e.g., LiCoO2, LiFePO4, LiNixMnyCo1–x–yO2) as cathodes, in conjunction with carbon-based or Si-based materials as anodes [4-6]. However, due to some inherent drawbacks of the employed electrodes, more and more intractable problems have been exposed, such as flammability risk, high cost, and complex production processes [7-10]. Symmetric LIBs, which utilize an identical active material as both the electrodes, can effectively alleviate the large volume changes (i.e., avoiding asymmetric volume change of different electrodes) [11]. In addition, using symmetric electrodes can reduce side reactions between the electrolytes and the electrodes, thereby improving the safety and cycle stability of the batteries [12]. Furthermore, it also simplifies the industrial production process and greatly reduces manufacturing costs [13]. Therefore, it is of great significance to search for suitable electrode materials with bipolar characteristics for further development of symmetrical batteries.

    Currently, symmetric electrode materials are mainly focused on layered transition metal oxides and vanadium-based polyanionic materials. However, these are still unsatisfactory with these electrode materials. Vanadium-based polyanionic materials suffer from some intrinsic defects, e.g., low capacity, inherent toxicity and high price, which seem to be less attractive [14-17]. Specifically, layered transition metal oxides usually undergo a phase transition process at high voltage, which affects their cycle stability [18, 19]. Notably, cation-disordered rocksalt (DRX), Li2FeTiO4 is a promising cathode material with a stable structure, high voltage and theoretical capacity (295 mAh/g) [20]. The environmentally friendly transition metal elements (i.e., Fe and Ti) further increase its commercial value. Simultaneously, Li2FeTiO4 could also exhibit excellent electrochemical performance as the anode due to multiple redox reactions of iron [21]. However, the performance of the classical layered rocksalt cathode is highly related to the disorder degree of cations, the initial discovery of Li2FeTiO4 has not attracted much attention [22].

    The transport mechanism of Li+ in DRX depends on its diffusion between the two octahedrons through an intermediate tetrahedron (o-t-o diffusion), which means that the DRX structure will not provide a cross-path for the rapid migration of Li+, ultimately resulting in inferior electrochemical dynamics and cycle stability [23]. The modification of Li2FeTiO4 is mainly focused on constructing nanostructures or compositing with carbon-based materials, while failing to fundamentally improve the diffusion of Li+ [24-26]. In addition, the structure evolution, cation-anion redox mechanism, and the effect factors on the electrochemistry of Li2FeTiO4 during charge and discharge have not been fully clarified. Recently, studies on DRX materials revealed that the materials with Li/transition metal (TM) > 1.09 can obtain superior performance. On this basis, some studies on Li-Fe-Ti oxides have been carried out, and the results show that the reversible capacity and rate capability of the electrode with Li/TM = 1.49 has been significantly improved [27]. Nevertheless, the increased content of Li+ inevitably reduces the redox capacity of transition metals, sometimes leading to irreversible oxygen loss [28]. Therefore, it is meaningful to improve the diffusion channels of Li+ in the Li2FeTiO4 structure and enhance the reversibility of redox.

    Herein, we proposed a modified sol-gel method to synthesize Li2FeTiO4 nanoparticles that were assembled by ultrafine nanocrystals (≤2 nm). Multiple characterization techniques (e.g., XRD and XPS) combined with a series of electrochemical characterizations are employed to study the structural stability, redox reaction behaviors, and Li+ diffusion dynamics of classical DRX Li2FeTiO4. Its high capacity could be attributed to the redox of both cations and anions. Its excellent rate performance benefits from the nanocrystal structure, which can provide diversified diffusion channels and increase the active sites, leading to better kinetic behavior. As the cathode, it exhibits a high discharge capacity of 127.8 mAh/g (capacity retention of 95.4% at 50 mA/g after 200 cycles) and superior rate performance. As the anode, it delivers a reversible capacity of 500.8 mAh/g after 300 cycles at 500 mA/g. More importantly, it also shows a considerable reversible capacity, excellent rate performance and an ultralong lifespan when applied to the asymmetric/symmetric LIBs. These results highlight the potential of Li2FeTiO4 as electrodes for high-performance symmetric cells and verify the practicability of the modified synthetic method for developing hierarchical self-assembled materials.

    Li2FeTiO4 was prepared by the modified sol-gel method. The synthesis procedure of samples is schematically shown in Fig. 1a. Citric acid was used as the complexing agent and carbon source. By varying the molar ratio of citric acid to transition metal (Fe and Ti) at 0:1, 1:1 and 2:1, the three samples were prepared and named LFT0, LFT1, and LFT2, respectively. The morphology and structure of samples were observed by the scanning electron microscope (SEM). LFT0 takes on an irregular bulk structure in the absence of citric acid, composed of cross-linked nanoparticles due to the disorder and rapid mixing of multi-metal ions (Fig. S1a in Supporting information). In contrast, LFT1, synthesized with an appropriate amount of citric acid, displays uniformly distributed nanoparticles due to the optimal complexation reaction between metal ions and citric acid (Fig. S1b in Supporting information). When excessive citric acid was used, nanoparticles agglomeration occurred due to the acceleration of the nucleation rate and rapid directional growth of nanoparticles (Fig. S1c in Supporting information).

    Figure 1

    Figure 1.  (a) Schematic illustration of the fabrication of samples, (b–d) TEM, (e–g) enlarged TEM images, (h–j) SAED patterns of LFT0, LFT1, and LFT2, respectively, and (k) HRTEM image of LFT1.

    The above results were further confirmed by transmission electron microscopy images (TEM). The bulk LFT0 is composed of nanoparticles with approximately 20–50 nm (Fig. 1b and Fig. S1d in Supporting information). LFT1 nanoparticles with about 15–25 nm are dispersed well (Fig. 1c and Fig. S1e in Supporting information). LFT2 is composed of close-packed nanoparticles with 5–10 nm (Fig. 1d and Fig. S1f in Supporting information). To further analyze the structures of samples, their TEM images were enlarged. The distribution of nanoparticles can be distinguished by the intensity of the color. The deep spots could be attributed to nanoparticles whereas the light parts are carbon. Obviously, almost no carbon layer is observed in the sample LFT0 without citric acid (Fig. 1e). The thin carbon layer is evenly coated on the surface of the nanoparticles, which makes the sample LFT1 present good dispersion (Fig. 1f). However, large amounts of carbon are unevenly distributed among the grains of LFT2 (Fig. 1g). Besides, from the high-resolution transmission electron microscopic (HRTEM) image, it can be further observed that LFT1 nanoparticles are assembled from ultrafine nanocrystals (≤2 nm) (Fig. 1k). The lattice fringe of LFT0, LFT1 and LFT2 is 0.209 nm, which matches well with the (200) crystal plane of Li2FeTiO4 (Fig. 1k, Figs. S2a and b in Supporting information). In addition, the uniform distribution of Fe, Ti, and O observed in the energy dispersive spectroscopy (EDS) mappings indicates that the sample LFT1 has good dispersion and a loose structure (Fig. S3 in Supporting information). Additionally, the selected area electron diffraction (SAED) patterns in Figs. 1h–j display concentric rings and diffraction spots, confirming the polycrystalline nature of Li2FeTiO4.

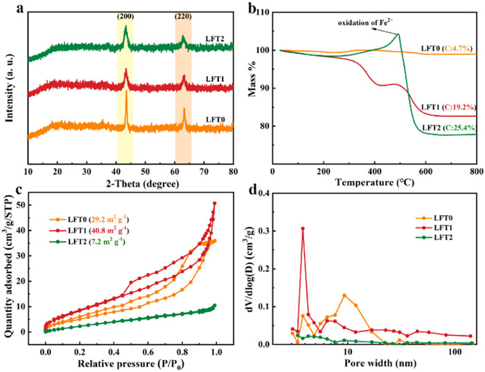
    Fig. 2a shows the XRD patterns of samples. All diffraction peaks can be indexed as the DRX Li2FeTiO4 phase with the space group Fm3m [29]. Two distinct characteristic peaks appear at 43.4° and 63.1°, corresponding to the (200) and (220) crystal planes of Li2FeTiO4, respectively [24]. Compared with LFT1 and LFT2, LFT0 exhibits better crystallinity, which is attributed to its bulk structure. Besides, the diffraction peak intensity of LFT1 is lower than that of LFT2, which is due to the fine particles and good dispersibility. Apparently, no characteristic peaks of carbon are observed, which is ascribed to its amorphous structure. The carbon content in the samples was further analyzed by thermogravimetric analysis (TGA) curves under air atmosphere, showing a weight gain of 4.4% due to the oxidation of Fe2+ to Fe3+ during the thermal decomposition process [22]. For LFT2, the exposed nanoparticles are firstly oxidized, leading to a more significant weight gain. Considering the oxidation of iron, the carbon content in LFT0, LFT1, and LFT2 is 4.7%, 19.2%, and 25.4%, respectively (Fig. 2b).

    Figure 2

    Figure 2.  (a) XRD patterns, (b) TGA curves, (c) N2 adsorption-desorption isotherms and (d) pore size distribution of LFT0, LFT1, and LFT2.

    The XPS survey spectrum of LFT1 indicates the presence of Li, C, Ti, O and Fe (Fig. S4a in Supporting information). The high-resolution Fe 2p XPS spectrum displays two peaks at 710.0 and 723.5 eV corresponding to Fe2+ 2p3/2 and Fe2+ 2p1/2, respectively (Fig. S4b in Supporting information) [30]. Ti 2p spectrum in Fig. S4c (Supporting information) illustrates two peaks at 458.4 and 464.1 eV, which are assigned to Ti4+ 2p3/2 and Ti4+ 2p1/2, respectively [31]. Besides, the C 1s spectrum shows four peaks at 284.8, 286.3, 288.7, and 290.0 eV, corresponding to C—C, C—O, C=O, and O—C = O bonds (Fig. S4d in Supporting information). Based on nitrogen isothermal adsorption curves (Figs. 2c and d), LFT1 possesses a specific surface area of 40.8 m2/g, which is higher than those of LFT0 (29.2 m2/g) and LFT2 (7.2 m2/g). In addition, compared with LFT0 and LFT2, LFT1 exhibits rich mesopores (3–10 nm). The large specific surface area and abundant mesopores for LFT1 can provide sufficient electrode-electrolyte interface and increase the active sites for reversible redox reactions [32].

    The electrochemical performances of LFT0, LFT1 and LFT2 as cathodes were investigated in detail. The charge-discharge profiles of samples at 50 mA/g between 1.5 V and 4.8 V are presented in Figs. 3a–c. The initial charge/discharge capacities of LFT0, LFT1, and LFT2 are 172/124.4, 173.3/133.9, and 138.1/56.8 mAh/g, corresponding to an initial coulombic efficiency (ICE) of 72.3%, 77.3%, and 41.1%, respectively. The initial charge capacity of the three samples can be mostly derived from oxidation reactions (≥4.5 V) related to anions [33, 34]. In addition, the voltage profile curves of LFT0 and LFT1 change to a flat from an initial slope during the charging and discharging process. The significant difference in the first charge-discharge profiles may be related to the absence of Li+ diffusion channels. The capacity of LFT0 decays rapidly with the increasing cycling numbers, due to the lack of conductive carbon network. Noteworthily, LFT1 exhibits a longer voltage platform and a larger capacity contribution during subsequent cycles because fine nanocrystals provide more electrochemical reaction interfaces, leading to homogeneous electrochemical reactions. However, it is difficult for Li+ to diffuse rapidly due to the compact structure of LFT2, resulting in severe polarization and an inconspicuous plat.

    Figure 3

    Figure 3.  (a–c) Charge-discharge voltage profiles, (d–f) corresponding dQ/dV curves during the first 20 cycles, (g) cycling performances at 50 mA/g, (h) rate performances of LFT0, LFT1, and LFT2 cathodes.

    In order to reveal the redox behavior of cations and anions, the corresponding dQ/dV curves of LFT0, LFT1, and LFT2 during the first 20 cycles are shown in Figs. 3d–f. Taking LFT1 as an example, a distinct oxidation peak at 4.7 V corresponds to oxidation from O2− to On− and the decomposition of the electrolyte, resulting in the irreversible capacity during the first charge process [35, 36]. Besides, the oxidation peak at 4.3 V and the reduction peak at 2.9 V are related to the redox of Fe3+/Fe4+ [37]. In the following cycle, two main oxidation peaks are observed at 1.8 V and 2.5 V, which are assigned to the redox pairs of Ti3+/Ti4+ and Fe2+/Fe3+ [27]. During the discharge process, Ti4+ is reduced to Ti3+, increasing the covalence of the Ti-O bond and alleviating the structural distortion of randomly distributed transition metal ions. This more stable skeleton promotes the oxidation of Ti3+ and Fe2+ during the charging process, establishing a favorable oxidation–reduction environment [38]. Moreover, the strength and reversibility of these two redox peaks significantly increase with the cycle number, which is due to the nanocrystals providing more transport channels and active sites for ions and electrons. However, the redox peak of LFT2 is not obvious, which is attributed to the dense accumulation of particles that are not conducive to the progress of the electrochemical reaction. Meanwhile, cyclic voltammetry (CV) analyses are also performed at 0.1 mV/s, and the curve characteristics are consistent with the above analysis (Figs. S5a–c in Supporting information).

    Fig. 3g shows the cycling performances of three samples at 50 mA/g. Compared with LFT0 and LFT2, LFT1 exhibits the highest discharge capacity of 127.8 mAh/g after 200 cycles with a capacity retention of 95.4%. Notably, the specific discharge capacity of the LFT1 electrode undergoes an increasing process during the initial dozens of cycles due to the further activation of the nanocrystals as the electrolyte permeates. The poor capacity (79.5 mAh/g) and cycle stability of LFT0 are attributed to its poor conductivity. Therefore, conductive carbon coating can significantly enhance the cycle stability of materials. Nevertheless, the capacity of LFT2 is limited to 68.1 mAh/g, which is ascribed to the low diffusion rate of Li+ within the dense structure, leading to underutilization of active sites during the cycle. In addition, the structural stability of LFT0, LFT1 and LFT2 electrodes after 100 cycles was also investigated (Fig. S6 in Supporting information). Before cycling, all the electrodes showed similar morphology (Figs. S6a–c). However, the surface morphology of the LFT0 and LFT2 electrodes experienced significant degradation after 100 cycles, which was attributed to the poor dispersion of LFT0 and the dense structure of LFT2, leading to easy aggregation (Figs. S6d and f). The serious adhesion between particles can affect the structural integrity and electrochemical performance of electrode materials, thus limiting the cycle stability and capacity. In contrast, the morphology of the LFT1 electrode shows no obvious change before and after cycling due to the self-assembly structure of nanocrystals can alleviate the volume expansion during the cycle, demonstrating good structural stability (Fig. S6e).

    The rate performances of samples were further investigated with various current densities from 0.1 A/g to 1.0 A/g as shown in Fig. 3h. Compared to LFT0 and LFT2, LFT1 demonstrates the highest capacity, which outputs 80.0, 67.9, 54.6, 50.4 and 48.1 mAh/g with the current rates increasing from 0.1 A/g to 0.2, 0.5, 0.8 and 1.0 A/g, respectively. Surprisingly, when the current density is finally reduced to 0.1 A/g, the specific capacity turns back to the initial capacity, suggesting a good electrochemical reversibility. In sharp contrast, the LFT0 electrode has almost no contribution capacity at high current density due to the lack of a conductive network. Although LFT2 maintains a stable capacity at different current densities, its capacity is relatively low owing to the dense structure. The results fully prove that the nanoparticles assembled by nanocrystals can not only increase the Li+ diffusion interface, but also effectively improve the utilization of the active sites. In addition, the abundant pore structure is conducive to the infiltration of electrolytes, thus increasing the rate performance of the LFT1 electrode.

    To further analyze their redox mechanism, XPS was utilized to examine the samples in different states. Fig. 4a and Figs. S7a and b (Supporting information) present the Fe 2p spectra for all samples. For the pristine state, four peaks at 710.9, 713.5, 724.3, and 727.6 eV are attributed to Fe2+ 2p3/2, Fe3+ 2p3/2, Fe2+ 2p1/2, and Fe3+ 2p1/2, respectively. Upon charging to 4.8 V, the ratio of Fe2+ decreased while the ratio of Fe4+ (717.7 eV) increased to 30.41%, 20.77% and 18.36% for LFT0, LFT1 and LFT2, respectively, which corresponds to the Fe2+ → Fe3+ → Fe4+ process [39]. Furthermore, the proportion of Fe2+ remains the highest, indicating that the oxidation of iron is limited during the first cycle. After discharging to 1.5 V, the Fe 2p spectra shift to lower binding energy, indicating the Fe3+/4+ is reduced to Fe2+/3+. Additionally, Fig. 4b and Figs. S7c and d (Supporting information) show the O 1s spectra evolved during the first cycling. Pristine samples exhibit three peaks at 529.7 (lattice O2–), 531.8 and 533.4 eV (surface oxygen species) [37, 40]. Upon charging to 4.8 V, a new peak appears at 530.6 eV, which is assigned as On– [31, 41, 42]. The ratio of On– for LFT0, LFT1, and LFT2 is 9.25%, 7.99%, and 12.76%, respectively, confirming that anionic oxidation contributes to the capacity. Meanwhile, the peroxo-like On– disappeared after discharge to 1.5 V, which corresponds to oxygen reduction. Therefore, all of these prove that Fe and O are involved in the redox reaction. Notably, the ratio of Fe2+ after discharge for LFT1 is greater than in the pristine state, which is attributed to the charge compensation of iron for oxygen overoxidation activated by nanocrystal self-assembly structure.

    Figure 4

    Figure 4.  XPS spectra of (a) Fe 2p and (b) O 1s for LFT1, (c-e) XRD patterns and Rietveld refinement plots of LFT1 at different charge/discharge states in the first cycle.

    Additionally, an ex-situ XRD was performed to investigate the structural changes. Figs. 4c–e show the XRD patterns and the corresponding Rietveld refinement plots of the pristine LFT1 when it is charged to 4.8 V and discharged to 1.5 V. Obviously, no new phases are formed, indicating that LFT1 maintains the DRX structure during the initial cycle. The cell parameters and cell volume of LFT1 change from 4.16(5) Å/72.260 Å3 (pristine) to 4.17(1) Å/72.562 Å3 (charge endpoint) and 4.16(9) Å/72.471 Å3 (discharge endpoint), respectively. For the fine LFT1 nanoparticles, their cell parameters and cell volume are increased during the cycle, providing diversified diffusion channels that are more conducive to the migration and storage of Li+. However, the dense structure of LFT2 is not conducive to the transport of Li+, which is reflected in the lattice constant and cell volume after charge (4.15(6) Å/71.808 Å3) and discharge (4.16(6) Å/72.326 Å3), both of which are smaller than those of the pristine (4.18(1) Å/73.074 Å3) as shown in Figs. S8a–c (Supporting information).

    In order to further study the dynamic behavior of samples, the galvanostatic intermittent titration technique (GITT) was carried out. The voltage at the minimum values of diffusion rate (DLi+) in three samples is consistent with the voltage platform of charge-discharge curves (Figs. S9a and b in Supporting information). (DLi+) of the LFT1 electrode varies from 3.14 × 10–15 cm2/s to 2.37 × 10–12 cm2/s during the charge process, which is higher than those of LFT0 (1.62 × 10–17–1.09 × 10–13 cm2/s) and LFT2 (5.89 × 10–17–1.53 × 10–13 cm2/s). During the discharge process, (DLi+) of LFT0, LFT1, and LFT2 electrodes is 3.71 × 10–14–9.12 × 10–12 cm2/s, 7.94 × 10–14–4.67 × 10–12 cm2/s, and 4.07 × 10–14–3.09 × 10–11 cm2/s, respectively. The unique structural characteristics of nanocrystals undoubtedly have a positive impact on the diffusion of Li+, which effectively shortens the diffusion path of Li+ and reduces the diffusion barrier.

    From the Nyquist curves of the electrodes in Fig. S10 (Supporting information), LFT1 shows a smaller charge transfer resistance Rct (58 Ω) than those of LFT0 (85 Ω) and LFT2 (94 Ω). Moreover, it also reveals the rapid Li+ diffusion and electron transport, leading to an excellent rate capability and prolonged lifespan. To further discuss the energy-storage behavior of cathodes, CV curves were tested at different scanning rates. It can be seen that CV curves present similar shapes but become broader and higher peaks with the scan rate increases from 0.1 mV/s to 5.0 mV/s (Figs. S11a–c in Supporting information). The degree of the capacitive effect can be quantified using the following equation:

    $ i=a v^b $

    (1)

    where a and b are constants, i is the measured current and ν is the scan rate. From the plot of logi versus logν (Figs. S11d–f in Supporting information), the b values of LFT0, LFT1, and LFT2 cathodes are 0.81, 0.81, and 0.76, respectively, indicating capacitive characteristic. Specifically, the capacitive contribution of LFT1 is 63.0% at 2.0 mV/s (Fig. S11h in Supporting information), which is much larger than those of LFT0 (48.8%, Fig. S11g in Supporting information) and LFT2 (39.5%, Fig. S11i in Supporting information). LFT1 possesses a small grain size and abundant active sites, which enables fast charge storage at high current density. The capacitive contribution of LFT1 increases with the scan rate, it reaches a maximum value of 78.2% at 5.0 mV/s (Fig. S11k in Supporting information).

    The electrochemical performances of LFT0, LFT1, and LFT2 as anodes were also investigated. The first cycle charge-discharge profiles of samples at 0.5 A/g between 0.01 V and 3.0 V are presented in Fig. 5a. It can be observed that the obvious platform is at around 1.4 V on the charging branch and 0.7 V on the discharge branch. Obviously, the discharge voltage platform of LFT1 is flat and long because of the sufficient electrochemical reaction caused by ultrafine nanocrystals. In addition, the initial discharge/charge capacities of LFT0, LFT1, and LFT2 are 552.6/311.7, 616.7/370.0, and 434.3/224.9 mAh/g, with corresponding ICE of 56.4%, 60.0%, and 51.8%, respectively. The lower ICE can be put down to the formation of solid-electrolyte interphase and irreversible electrolyte decomposition. The dQ/dV curves of LFT0, LFT1, and LFT2 during the first 20 cycles are shown in Figs. S12d-f (Supporting information). Taking LFT1 as an example, a distinct reduction peak at 0.78 V and an oxidation peak at 1.49 V are associated with Fe/Fe2+. However, the lack of a conductive carbon network in LFT0 leads to poor reversibility of the redox reaction.

    Figure 5

    Figure 5.  (a) The first cycle charge-discharge profiles, (b) cycling performances at 0.5 A/g, (c) rate performances, (d, e) Li+ diffusion coefficients calculated by GITT, (f) Nyquist curves of LFT0, LFT1, and LFT2 anodes, (g) CV curves at different scan rates, (h) relationship between peak current of logarithm anodic and logarithm scan rate, (i) capacitive contribution and diffusion contribution at 2.0 mV/s of LFT1 anode.

    The cycling performances of samples are shown in Fig. 5b. All samples show excellent cycling stability. Notably, the LFT1 electrode delivers a high discharge capacity of 500.8 mAh/g after 300 cycles at 0.5 A/g. The discharge capacities of LFT0 and LFT2 are 411.5 and 371.9 mAh/g, respectively. The rate performances of samples were further investigated with various current rates from 0.1 A/g to 5.0 A/g (Fig. 5c). With the current rates increasing from 0.1 A/g to 0.5, 1.0, 3.0 and 5.0 A/g, the reversible capacities of LFT1 output 394.1, 334.5, 296.5, 231.8 and 194.3 mAh/g, respectively. When the current density returns to 0.1 A/g, 380.3 mAh/g reversible capacity can be obtained, indicating that LFT1 as the anode also shows excellent rate performance and reversibility. These excellent electrochemical properties further guarantee LFT1 as bipolar electrodes for symmetric LIBs.

    Fig. S13 (Supporting information) shows the CV curves of samples at 0.1 mV/s, all of which present similar shapes. By the above charge-discharge profiles, a couple of redox peaks appear at about 0.7/1.4 V, corresponding to the oxidation of iron. Obviously, the decomposition of the solvent caused irreversible peaks at approximately 1.2 and 0.6 V, which disappeared in the subsequent cycles [17]. Meanwhile, the CV curves show similar shapes after the second scan, implying all three samples show excellent reversibility. GITT and EIS of anodes were also studied. (DLi+) of LFT1 is higher than those of LFT0 and LFT2 during the charge and discharge process, which is attributed to the fact that small grains shorten the transport path of Li+, and the interconnected nanocrystals effectively promote the transport of electrons and ions at the grain boundary (Figs. 5d and e). At the same time, it can be seen that the semicircle diameter of the LFT1 electrode is smaller than those of the LFT0 and LFT2 electrodes, which reveals the rapid Li+ diffusion and electron transport in LFT1 (Fig. 5f). Besides, CV profiles of LFT0, LFT1, and LFT2 anodes are also plotted at different scan rates from 0.1 mV/s to 5.0 mV/s (Fig. 5g, Figs. S14a and b in Supporting information). The calculated b value of LFT1 is 0.83, indicating the dynamics is dominated by capacitive characteristics (Fig. 5h). Moreover, LFT1 could obtain a higher capacitive contribution of 63.4% (Fig. 5i) at 2.0 mV/s than those of LFT0 (42.5%, Fig. S14e in Supporting information) and LFT2 (53.1%, Fig. S14f in Supporting information). Similarly, with the scanning rate increases, the capacitive contribution of LFT1 is expected to increase from 36.9% to 81.1% (Fig. S15 in Supporting information).

    The above excellent electrochemical performance urges us to further explore the potential of the LFT1 electrode in symmetrical LIBs. Fig. 6a illustrates the structure of the symmetric battery with LFT1 as both the cathode and anode materials. The mass ratio of the anode and cathode is set to 1:3.6. The initial charge-discharge capacities of LFT1//LFT1 are 135.8 and 102.9 mAh/g at 0.1 A/g in the voltage of 1.0–4.5 V, corresponding to an ICE of 75.7%. The CE is increased to 90.7% after 5 cycles (Fig. 6b). As shown in Fig. 6c, the LFT1//LFT1 full battery delivers a reversible capacity of 95.4 mAh/g with a capacity retention of 93.1% at 0.1 A/g after 200 cycles. The rate performances of the symmetric battery are further investigated as shown in Fig. 6d. With the current rates increasing from 0.1 A/g to 0.2, 0.5, 0.8, and 1.0 A/g, the reversible capacities of the LFT1//LFT1 battery outputs 122.4, 103.5, 84.1, 73.6, and 66.9 mAh/g, respectively. Moreover, the capacity recovers to 116.9 mAh/g as the current density returns to 0.1 A/g, showing remarkable rate reversibility. The electronic conductivity of the symmetric battery is further evaluated by EIS. The Rs and charge transfer resistance Rct are fitted to be 2.4 and 3.9 Ω, which are a little smaller than those of the SC//LFT full battery (2.7 and 6.0 Ω), revealing a superior ionic and electron conductivity for high-rate application (Fig. 6e). Moreover, this symmetric battery presents satisfactory long-cycle stability even at a high current density of 1.0 A/g, which delivers a reversible capacity of 39.7 mAh/g with a high coulombic efficiency of 98.2% after 1000 cycles (Fig. 6f).

    Figure 6

    Figure 6.  (a) Schematic illustration of the symmetrical LIBs, (b) the discharge-charge curves of a symmetric full battery, (c) cycling performance at 0.1 A/g, (d) rate performance, (e) Nyquist curves with the equivalent circuit, (f) long-term cycling performance at 1.0 A/g. Inset: photograph of the lighted LED bulbs driven by the full battery.

    To investigate the failure mechanism of symmetric lithium-ion batteries, the battery was disassembled after 250 cycles. The cathode and anode were characterized by SEM images. A comparison with the pristine LFT1 cathode and anode (Figs. S16a and b in Supporting information) reveals that a large number of dead Li or SEI species are trapped in the anode, which indicates that the SEI reaction during long-term cycling process leads to the depletion of Li+ from the cathode and its entrapment in the anode (Figs. S16c and d in Supporting information) [43]. In addition, XPS tests were performed on the symmetrical battery after 250 cycles. A comparison of the Li 1s spectra revealed that the signal of Li in the anode is significantly higher than that in the cathode (Fig. S17a in Supporting information). To confirm this result, a new half battery was assembled using the cathode from the disassembled battery and a Li metal anode to provide additional Li, allowing the cathode to continue operating (Fig. S17b in Supporting information). In addition, the electrochemical performances of the asymmetric full battery were studied by using LFT1 as the cathode and semi-coke-based cross-linked carbon nanosheets (SC) [44] as the anode, which displayed excellent rate performance and long cycle stability (Figs. S18a-d in Supporting information). Importantly, two symmetric batteries connected in series can light up 29 LEDs at the same time (insert in Fig. 6f), showing broad potential application.

    In summary, Li2FeTiO4 nanoparticles assembled from ultra-fine nanocrystals were successfully synthesized via a modified sol-gel method. It has proved to be a promising electrode for advanced LIBs. Nanocrystals could provide more abundant active sites and open diffusion channels, leading to enhanced reversibility of multi-ion redox and kinetic behavior. The results show that LFT1 still retains its DRX structure after cycling, and the increase of unit cell parameters is beneficial to the diffusion of Li+. Besides, abundant mesoporous and uniform carbon coating could improve structural stability and support electron transport. As a consequence, LFT1 demonstrates superior rate performance and durable cycle stability as both the cathode and anode. Even when applied to symmetric batteries, the devices composed of the Li2FeTiO4 electrode still exhibit excellent electrochemical performance, demonstrating that Li2FeTiO4 is a feasible and potential bipolar electrode material. Our findings broaden the sight for designing high-performance materials with reversible multiple cation and anion redox by constructing nanocrystals, enriching the family of DRX materials, and providing more possibilities for rechargeable secondary batteries.

    The authors declare that they have no known competing financial interests or personal relationships that could have appeared to influence the work reported in this paper.

    Wenjie Ma: Formal analysis, Investigation, Software, Writing – original draft. Yakun Tang: Conceptualization, Supervision, Writing – review & editing. Yue Zhang: Data curation, Software. Lang Liu: Funding acquisition, Project administration, Resources, Supervision, Writing – review & editing. Bin Tang: Formal analysis, Software, Writing – review & editing. Dianzeng Jia: Resources, Supervision, Visualization. Yuliang Cao: Conceptualization, Formal analysis, Writing – review & editing.

    This work was supported by the National Natural Science Foundation of China (No. 22278347), the Excellent Doctoral Student Research Innovation Project of Xinjiang University of China (No. XJU2022BS048), and the Postgraduate Innovation Project of Xinjiang Uygur Autonomous Region of China (No. XJ2023G027).

    Supplementary material associated with this article can be found, in the online version, at doi:10.1016/j.cclet.2024.110346.


    1. [1]

      W.D. Dou, M.T. Zheng, W. Zhang, et al., Adv. Funct. Mater. 33 (2023) 2305161. doi: 10.1002/adfm.202305161

    2. [2]

      Q.M. Gan, N. Qin, H.M. Yuan, et al., Energy Chem. 5 (2023) 100103. doi: 10.1016/j.enchem.2023.100103

    3. [3]

      J.K. Hu, Y.C. Cao, S.J. Yang, et al., Adv. Funct. Mater. 34 (2024) 2311633. doi: 10.1002/adfm.202311633

    4. [4]

      C.D. Quilty, D. Wu, W.Z. Li, et al., Chem. Rev. 123 (2023) 1327–1363. doi: 10.1021/acs.chemrev.2c00214

    5. [5]

      S.Q. Li, K. Wang, G.F. Zhang, et al., Adv. Funct. Mater. 32 (2022) 2200796. doi: 10.1002/adfm.202200796

    6. [6]

      H. Adenusi, G.A. Chass, S. Passerini, K.V. Tian, G.H. Chen, Adv. Energy Mater. 13 (2023) 2203307. doi: 10.1002/aenm.202203307

    7. [7]

      S.J. Yang, J.K. Hu, F.N. Jiang, et al., InfoMat. 6 (2024) e12512. doi: 10.1002/inf2.12512

    8. [8]

      Y.X. Yang, R.G. Dong, H. Cheng, et al., Small 19 (2023) 2301574. doi: 10.1002/smll.202301574

    9. [9]

      Y.L. Liao, J.K. Hu, Z.H. Fu, et al., J. Energy Chem. 80 (2023) 458–465. doi: 10.1016/j.jechem.2023.02.012

    10. [10]

      S. Li, S.J. Yang, G.X. Liu, et al., Adv. Mater. 36 (2024) 2307768. doi: 10.1002/adma.202307768

    11. [11]

      L. Zhang, Y.H. Dou, M. Al-Mamun, G.W. Meng, J. Mater. Chem. A 9 (2021) 19705–19709. doi: 10.1039/d1ta02368c

    12. [12]

      C.R. Wang, L. Zhang, M. Al-Mamun, et al., Adv. Energy Mater. 9 (2019) 1900909. doi: 10.1002/aenm.201900909

    13. [13]

      G.D. Zou, B.C. Ge, H. Zhang, et al., J. Mater. Chem. A 7 (2019) 7516–7525. doi: 10.1039/c9ta00744j

    14. [14]

      C.C. Chen, T.J. Li, H. Tian, Y.B. Zou, J.C. Sun, J. Mater. Chem. A 7 (2019) 18451–18457. doi: 10.1039/c9ta05396d

    15. [15]

      Y. Zhou, X.J. Shao, K. Lam, et al., ACS Appl. Mater. Interfaces 12 (2020) 30328–30335. doi: 10.1021/acsami.0c05784

    16. [16]

      L. Zhang, B.W. Zhang, C.R. Wang, et al., Nano Energy 60 (2019) 432–439. doi: 10.2112/si94-086.1

    17. [17]

      L.B. Tang, J.H. Zhang, Z. Li, et al., J. Power Sources 451 (2020) 227734. doi: 10.1016/j.jpowsour.2020.227734

    18. [18]

      Y.L. Jin, W.W. He, F. Ren, P.G. Ren, Y.L. Xu, Electrochim. Acta 325 (2019) 134932. doi: 10.1016/j.electacta.2019.134932

    19. [19]

      Y.S. Wang, Z.M. Feng, S.Z. Yang, et al., J. Power Sources 378 (2018) 516–521. doi: 10.1016/j.jpowsour.2017.12.043

    20. [20]

      L. Yang, S.H. Luo, Y.F. Wang, et al., Chin. Chem. Lett. 31 (2020) 3200–3204. doi: 10.1016/j.cclet.2020.05.036

    21. [21]

      Y.K. Tang, L. Liu, H.Y. Zhao, et al., ACS Appl. Mater. Interfaces 10 (2018) 20225–20230. doi: 10.1021/acsami.8b04418

    22. [22]

      L. Sebastian, J. Gopalakrishnan, J. Solid State Chem. 172 (2003) 171–177. doi: 10.1016/S0022-4596(03)00010-0

    23. [23]

      Y. Yue, Y. Ha, T.Y. Huang, et al., ACS Nano 15 (2021) 13360–13369. doi: 10.1021/acsnano.1c03289

    24. [24]

      M. Küzma, R. Dominko, A. Meden, et al., J. Power Sources 189 (2009) 81–88. doi: 10.1016/j.jpowsour.2008.11.015

    25. [25]

      P.Q. Hou, L. Yang, Y.F. Wang, et al., Ionics (Kiel) 26 (2020) 1657–1662. doi: 10.1007/s11581-019-03381-y

    26. [26]

      M. Yang, X.Y. Zhao, C. Yao, et al., Mater. Technol. 31 (2016) 537–543. doi: 10.1080/10667857.2016.1192372

    27. [27]

      M. Yang, J.Y. Jin, Y.L. Shen, et al., ACS Appl. Mater. Interfaces 11 (2019) 44144–44152. doi: 10.1021/acsami.9b14137

    28. [28]

      M.X. Wang, X.C. Chen, H.R. Yao, et al., Energy Environ. Mater. 5 (2022) 1139–1154. doi: 10.1002/eem2.12413

    29. [29]

      M. Kuezma, R. Dominko, D. Hanžel, et al., J. Electrochem. Soc. 156 (2009) A809–A816. doi: 10.1149/1.3205458

    30. [30]

      M. Du, J.Z. Guo, S.H. Zheng, et al., Chin. Chem. Lett. 34 (2023) 107706. doi: 10.1016/j.cclet.2022.07.049

    31. [31]

      F. Wu, J.Y. Dong, J.Y. Zhao, et al., J. Energy Chem. 82 (2023) 158–169. doi: 10.1016/j.jechem.2023.03.048

    32. [32]

      J. Liu, X.W. Mei, F. Peng, Chin. Chem. Lett. 34 (2023) 108187. doi: 10.1016/j.cclet.2023.108187

    33. [33]

      W.J. Tang, A.F. Li, G.J. Zhou, et al., ACS Appl. Mater. Interfaces 14 (2022) 38865–38874. doi: 10.1021/acsami.2c10652

    34. [34]

      M.Z. Luo, S.Y. Zheng, J. Wu, et al., J. Mater. Chem. A 8 (2020) 5115–5127. doi: 10.1039/c9ta11739c

    35. [35]

      K. Zhou, S.Y. Zheng, F.C. Ren, et al., Energy Storage Mater. 32 (2020) 234–243. doi: 10.1016/j.ensm.2020.07.012

    36. [36]

      Z.N. Taylor, A.J. Perez, J.A. Coca-Clemente, et al., J. Am. Chem. Soc. 141 (2019) 7333–7346. doi: 10.1021/jacs.8b13633

    37. [37]

      Y.Y. He, W. Xiang, G.P. Lv, et al., Chem. Eng. J. 417 (2021) 128189. doi: 10.1016/j.cej.2020.128189

    38. [38]

      Z.L. Yu, X.Y. Qu, A.C. Dou, et al., ACS Appl. Mater. Interfaces 11 (2019) 35777–35787. doi: 10.1021/acsami.9b12822

    39. [39]

      R. Fong, N. Mubarak, S.W. Park, et al., Adv. Energy Mater. 14 (2024) 2400402. doi: 10.1002/aenm.202400402

    40. [40]

      W.J. Tang, G.J. Zhou, C.Z. Hu, et al., ACS Appl. Mater. Interfaces 15 (2023) 17938–17946. doi: 10.1021/acsami.3c01280

    41. [41]

      K. Zhou, S.Y. Zheng, H.D. Liu, et al., ACS Appl. Mater. Interfaces 11 (2019) 45674–45682. doi: 10.1021/acsami.9b16011

    42. [42]

      Y.Y. He, S. Wang, H.Y. Zhang, et al., J. Colloid Interface Sci. 607 (2022) 1333–1342. doi: 10.1016/j.jcis.2021.09.101

    43. [43]

      Y. Liu, X.Y. Wu, A. Moeez, et al., Adv. Energy Mater. 13 (2023) 2203283. doi: 10.1002/aenm.202203283

    44. [44]

      Y.H. Gu, Y.K. Tang, L. Liu, et al., New J. Chem. 47 (2023) 2907–2913. doi: 10.1039/d2nj04719e

  • Figure 1  (a) Schematic illustration of the fabrication of samples, (b–d) TEM, (e–g) enlarged TEM images, (h–j) SAED patterns of LFT0, LFT1, and LFT2, respectively, and (k) HRTEM image of LFT1.

    Figure 2  (a) XRD patterns, (b) TGA curves, (c) N2 adsorption-desorption isotherms and (d) pore size distribution of LFT0, LFT1, and LFT2.

    Figure 3  (a–c) Charge-discharge voltage profiles, (d–f) corresponding dQ/dV curves during the first 20 cycles, (g) cycling performances at 50 mA/g, (h) rate performances of LFT0, LFT1, and LFT2 cathodes.

    Figure 4  XPS spectra of (a) Fe 2p and (b) O 1s for LFT1, (c-e) XRD patterns and Rietveld refinement plots of LFT1 at different charge/discharge states in the first cycle.

    Figure 5  (a) The first cycle charge-discharge profiles, (b) cycling performances at 0.5 A/g, (c) rate performances, (d, e) Li+ diffusion coefficients calculated by GITT, (f) Nyquist curves of LFT0, LFT1, and LFT2 anodes, (g) CV curves at different scan rates, (h) relationship between peak current of logarithm anodic and logarithm scan rate, (i) capacitive contribution and diffusion contribution at 2.0 mV/s of LFT1 anode.

    Figure 6  (a) Schematic illustration of the symmetrical LIBs, (b) the discharge-charge curves of a symmetric full battery, (c) cycling performance at 0.1 A/g, (d) rate performance, (e) Nyquist curves with the equivalent circuit, (f) long-term cycling performance at 1.0 A/g. Inset: photograph of the lighted LED bulbs driven by the full battery.

  • 加载中
计量
  • PDF下载量:  0
  • 文章访问数:  1991
  • HTML全文浏览量:  48
文章相关
  • 发布日期:  2025-09-15
  • 收稿日期:  2024-07-08
  • 接受日期:  2024-08-16
  • 网络出版日期:  2024-08-17
通讯作者: 陈斌, bchen63@163.com
  • 1. 

    沈阳化工大学材料科学与工程学院 沈阳 110142

  1. 本站搜索
  2. 百度学术搜索
  3. 万方数据库搜索
  4. CNKI搜索

/

返回文章